Inverse Problem for the Moisture Transfer Equation: Development of a Method for Finding the Unknown Parameter and Proof of the Convergence of the Iterative Process
Abstract
1. Introduction
Basic Approaches to Mathematical Modeling of Moisture Transfer
2. Inverse Problem
2.1. Experimental Setup and Mathematical Modeling of the Problem
2.2. Discrete Problem
3. Method for Solving the Inverse Problem
3.1. Conjugate Problem
3.2. Algorithm for Solving the Conjugate Problem
3.3. Solution of the Inverse Problem
3.3.1. Calculation of the Allaire Parameter A
| Algorithm 1 Computational algorithm for finding parameter A |
|
3.3.2. Calculation of Moisture Flow
| Algorithm 2 Computational Algorithm for Finding Parameter |
|
3.3.3. Calculation of Moisture Conductivity
| Algorithm 3 Computational algorithm for finding coefficient |
|
3.3.4. Structural Algorithm for Solving the Inverse Problem
- 1-step.
- Initial approximations of are specified.
- 2-step.
- In the area , the algorithm is launched and is determined.
- 3-step.
- In the region the algorithm is launched and is determined.
- 4-step.
- In the regions and the algorithm is launched and is determined.
- 5-step.
- With new parametersthe direct difference problem is calculated and is determined.
- 6-step.
- The values of the functional are calculatedor
- 7-step.
- If there is inequality orthen the problem is solved with an accuracy of or and continue to step 8.And if or , then set and go to step 2.
- 8-step.
- Save and output values:
4. Convergence of Iterative Processes
4.1. A Priori Estimates
4.2. Convergence of the Sequence
4.3. Convergence on Sequence
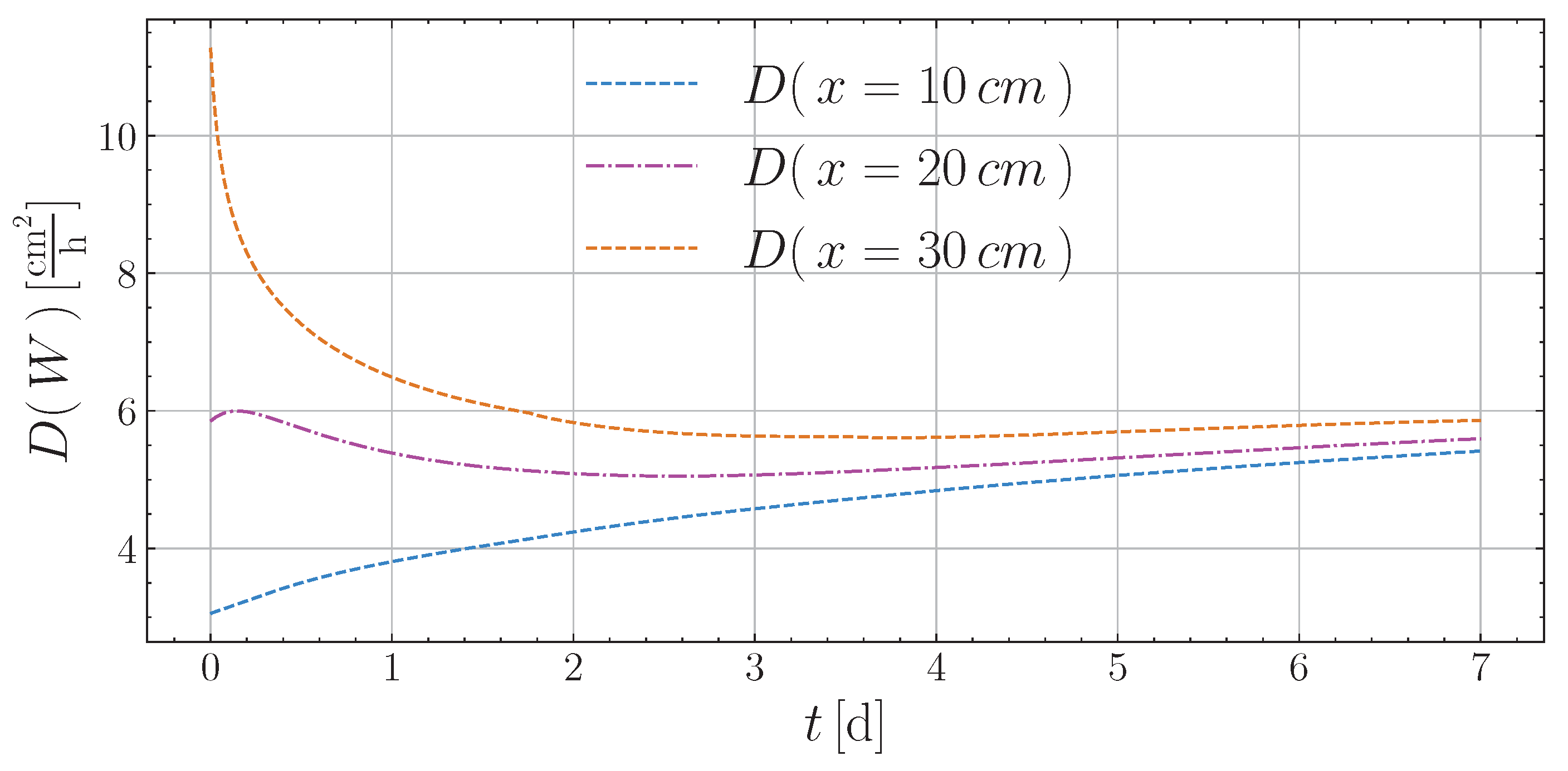
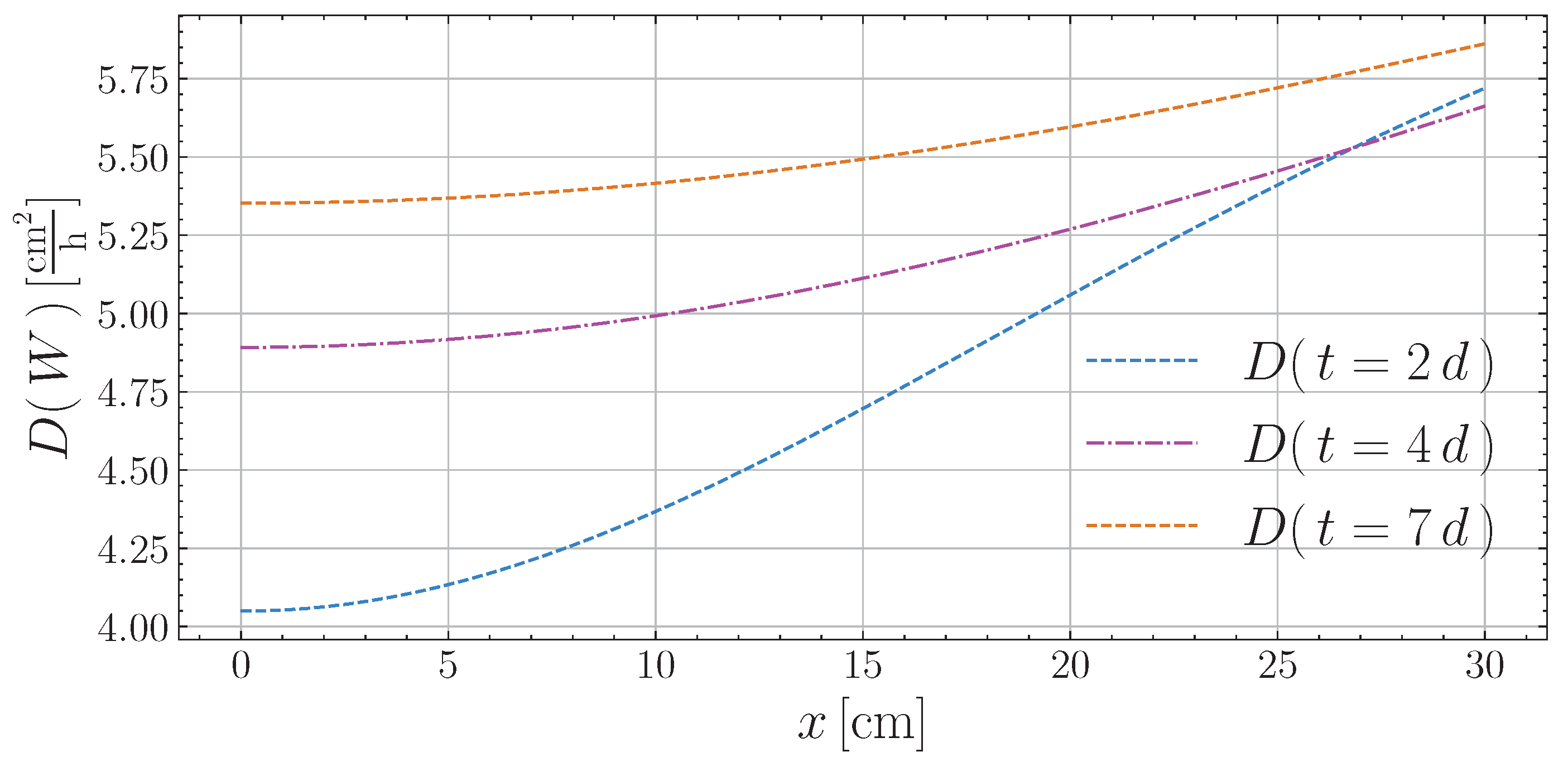
5. Results
6. Conclusions
Author Contributions
Funding
Data Availability Statement
Conflicts of Interest
Appendix A. Thomas’ Method for Discrete Problem
Appendix B. Conjugate Problem Derivation
References
- Innocenti, A.; Pazzi, V.; Napoli, M.; Ciampalini, R.; Orlandini, S.; Fanti, R. Electrical resistivity tomography: A reliable tool to monitor the efficiency of different irrigation systems in horticulture field. J. Appl. Geophys. 2024, 230, 105527. [Google Scholar] [CrossRef]
- Marcinkowski, P.; Szporak-Wasilewska, S. Assessing monthly dynamics of agricultural soil erosion risk in Poland. Geoderma Reg. 2024, 39, e00864. [Google Scholar] [CrossRef]
- El Assaad, M.; Plantec, Y.; Colinart, T.; Lecompte, T. Influence of moisture transfer on thermal conductivity measurement by HFM: Measurement accuracy on insulation materials and consequences on building energy assessments. Energy Build. 2024, 320, 114635. [Google Scholar] [CrossRef]
- Rahmat, M.N.; Ismail, N. Effect of optimum compaction moisture content formulations on the strength and durability of sustainable stabilised materials. Appl. Clay Sci. 2018, 157, 257–266. [Google Scholar] [CrossRef]
- Wu, H.; Yue, Q.; Guo, P.; Xu, X. Exploiting the potential of carbon emission reduction in cropping-livestock systems: Managing water-energy-food nexus for sustainable development. Appl. Energy 2025, 377, 124443. [Google Scholar] [CrossRef]
- Wang, W.; Ma, C.; Wang, X.; Feng, J.; Dong, L.; Kang, J.; Jin, R.; Li, X. A soil moisture experiment for validating high-resolution satellite products and monitoring irrigation at agricultural field scale. Agric. Water Manag. 2024, 304, 109071. [Google Scholar] [CrossRef]
- Vecherin, S.; Joyner, M.; Smith, M.; Linkov, I. Risk assessment of mold growth across the US due to weather variations. Build. Environ. 2024, 256, 111498. [Google Scholar] [CrossRef]
- Hu, A.; Zhou, H.; Guo, F.; Wang, Q.; Zhang, J. Three-dimensional porous fibrous structural morphology changes of high-moisture extruded soy protein under the effect of moisture content. Food Hydrocoll. 2025, 159, 110600. [Google Scholar] [CrossRef]
- Gurtin, M.; Drugan, W. An Introduction to Continuum Mechanics. J. Appl. Mech. 1984, 51, 949. [Google Scholar] [CrossRef]
- Alpar, S.; Faizulin, R.; Tokmukhamedova, F.; Daineko, Y. Applications of Symmetry-Enhanced Physics-Informed Neural Networks in High-Pressure Gas Flow Simulations in Pipelines. Symmetry 2024, 16, 538. [Google Scholar] [CrossRef]
- Leong, K.; Liu, Y. Numerical study of a combined heat and mass recovery adsorption cooling cycle. Int. J. Heat Mass Transf. 2004, 47, 4761–4770. [Google Scholar] [CrossRef]
- Gardner, D. Computer age reaches California vineyards. Irrig. Age 1983, 17, 26T–26U, 26X, 33. [Google Scholar]
- Hallaire, M.; Baldy, C. Potentiel matriciel de l’eau dans les matériaux poreux et tension superficielle de l’eau. Journées L’hydraulique 1963, 7-2, 452–458. [Google Scholar]
- Nadeem, M.; Islam, A.; Karim, S.; Mureşan, S.; Iambor, L.F. Numerical Analysis of Time-Fractional Porous Media and Heat Transfer Equations Using a Semi-Analytical Approach. Symmetry 2023, 15, 1374. [Google Scholar] [CrossRef]
- Nurtas, M.; Baishemirov, Z.; Alpar, S.; Tokmukhamedova, F. Numerical simulation of wave propagation in mixed porous media using finite element method. J. Theor. Appl. Inf. Technol. 2021, 99, 4163–4172. [Google Scholar]
- Jäger, W.; Woukeng, J.L. Homogenization of Richards’ equations in multiscale porous media with soft inclusions. J. Differ. Equ. 2021, 281, 503–549. [Google Scholar] [CrossRef]
- Foth, H. Fundamentals of Soil Science; John Wiley and Sons: New York, NY, USA, 1991. [Google Scholar]
- Chakraborty, A.; Saharia, M.; Chakma, S.; Kumar Pandey, D.; Niranjan Kumar, K.; Thakur, P.K.; Kumar, S.; Getirana, A. Improved soil moisture estimation and detection of irrigation signal by incorporating SMAP soil moisture into the Indian Land Data Assimilation System (ILDAS). J. Hydrol. 2024, 638, 131581. [Google Scholar] [CrossRef]
- Lu, Z.; Wei, J.; Yang, X. Effects of hydraulic conductivity on simulating groundwater–land surface interactions over a typical endorheic river basin. J. Hydrol. 2024, 638, 131542. [Google Scholar] [CrossRef]
- Lal, R.; Shukla, M. Principles of Soil Physics. Vadose Zone J. 2005, 4, 448. [Google Scholar]
- Nikitina, L.M. Handbook of Tables of Thermodynamic Parameters and Mass Transfer Coefficients of Wet Materials; Begell House Inc. Publishers: New York, NY, USA, 2007. [Google Scholar]
- Jones, J. Using expert systems in agricultural models. Agric. Eng. 1985, 37, 21–22. [Google Scholar]
- Alpar, S.; Rysbaiuly, B. Determination of thermophysical characteristics in a nonlinear inverse heat transfer problem. Appl. Math. Comput. 2023, 440, 127656. [Google Scholar] [CrossRef]
- Fontana, E.; Donca, R.; Mancusi, E.; de Souza, A.A.U.; de Souza, S.M.G.U. Mathematical modeling and numerical simulation of heat and moisture transfer in a porous textile medium. J. Text. Inst. 2016, 107, 672–682. [Google Scholar] [CrossRef]
- Kang, M.Z.; Cournede, P.H.; Mathieu, A.; Letort, V.; Qi, R. A Functional-Structural Plant Model-Theory and Applications in Agronomy. In Proceedings of the International Symposium on Crop Modeling and Decision Support: ISCMDS 2008, Nanjing, China, 19–22 April 2008. [Google Scholar]
- Berger, J.; Dutykh, D.; Mendes, N.; Rysbaiuly, B. A new model for simulating heat, air and moisture transport in porous building materials. Int. J. Heat Mass Transf. 2019, 134, 1041–1060. [Google Scholar] [CrossRef]
- Egusa, M.; Matsukawa, S.; Miura, C.; Nakatani, S.; Yamada, J.; Endo, T.; Ifuku, S.; Kaminaka, H. Improving nitrogen uptake efficiency by chitin nanofiber promotes growth in tomato. Int. J. Biol. Macromol. 2020, 151, 1322–1331. [Google Scholar] [CrossRef]
- Arraes, F.; Miranda, J.; Duarte, S. Modeling soil water redistribution under surface drip irrigation. Eng. Agrícola 2019, 39, 55–64. [Google Scholar] [CrossRef]
- Soares, P.R.; Pato, R.L.; Dias, S.; Santos, D. Effects of Grazing Indigenous Laying Hens on Soil Properties: Benefits and Challenges to Achieving Soil Fertility. Sustainability 2022, 14, 3407. [Google Scholar] [CrossRef]
- Chen, Y.; Ma, J.; Wu, X.; Weng, L.; Li, Y. Sedimentation and Transport of Different Soil Colloids: Effects of Goethite and Humic Acid. Water 2020, 12, 980. [Google Scholar] [CrossRef]
- Teferi, E.T.; Assefa, T.T.; Tilahun, S.A.; Wassie, S.B.; Thi Minh, T.; Béné, C. Bridging the gap: Analysis of systemic barriers to irrigation technology supply businesses in Ethiopia. Agric. Water Manag. 2024, 303, 109004. [Google Scholar] [CrossRef]
- Gomes, A.H.S.; Chaves, L.H.G.; Guerra, H.O.C. Drip irrigated sunflower Inter-cropping. Am. J. Plant Sci. 2015, 6, 1816–1821. [Google Scholar] [CrossRef][Green Version]
- Allen, R.G.; Pereira, L.S. Estimating crop coefficients from fraction of ground over and height. Irrig. Sci. 2009, 28, 17–34. [Google Scholar] [CrossRef]
- Gregory, R.H. The Handbook of Technical Irrigation Information. 2015. Available online: https://www.hunterindustries.com/sites/default/files/tech_handbook_of_technical_irrigation_information.pdf (accessed on 15 April 2024).
- Altaji, M.; Eslamian, A. Handbook of Irrigation System Selection for Semi-Arid Region; CRC Press: Boca Raton, FL, USA, 2020. [Google Scholar] [CrossRef]
- Perrier, E.; Bird, N.; Rieu, M. Generalizing the fractal model of soil structure: The pore–solid fractal approach. Geoderma 1999, 88, 137–164. [Google Scholar] [CrossRef]
- Braat, L.C.; Van Lierop, W.F. Economic-ecological modeling: An introduction to methods and applications. Ecol. Model. 1986, 31, 33–44. [Google Scholar] [CrossRef]
- Hasanov, A.; Romanov, V. Introduction to Inverse Problems for Differential Equations; Springer: Cham, Switzerland, 2017. [Google Scholar] [CrossRef]
- Hussein, S.; Lesnic, D. Determination of forcing functions in the wave equation. Part I: The space-dependent case. J. Eng. Math. 2015, 96, 115–133. [Google Scholar] [CrossRef][Green Version]
- Klibanov, M.V. Inverse problems and Carleman estimates. Inverse Probl. 1992, 8, 575. [Google Scholar] [CrossRef]
- Zhenhai, L.; Szántó, I. Inverse coefficient problems for parabolic hemivariational inequalities. Acta Math. Sci. 2011, 31, 1318–1326. [Google Scholar] [CrossRef]
- Alpar, S.; Berger, J.; Rysbaiuly, B.; Belarbi, R. Estimation of soils thermophysical characteristics in a nonlinear inverse heat transfer problem. Int. J. Heat Mass Transf. 2024, 218, 124727. [Google Scholar] [CrossRef]
- Chen, Y.; Zhang, J.H.; Chen, M.X.; Zhu, F.Y.; Song, T. Optimizing water conservation and utilization with a regulated deficit irrigation strategy in woody crops: A review. Agric. Water Manag. 2023, 289, 108523. [Google Scholar] [CrossRef]
- Rysbaiuly, B.; Ryskeldi, M.; Kul’zhanov, A.; Kalimullin, A. Sistema Nerazrushayushchego Kontrolya Harakteristik Pochvy. Technical Report, Patent na Izobretenie No2022/0596.2.2022. 2022. Available online: https://gosreestr.kazpatent.kz/Utilitymodel/Details?docNumber=359967 (accessed on 25 January 2024).
- Sánchez-Pérez, J.F.; Marín-García, F.; Castro, E.; García-Ros, G.; Conesa, M.; Solano-Ramírez, J. Methodology for Solving Engineering Problems of Burgers–Huxley Coupled with Symmetric Boundary Conditions by Means of the Network Simulation Method. Symmetry 2023, 15, 1740. [Google Scholar] [CrossRef]
- Rysbajuly, B. Obratnye Zadachi Vnelineynoy Teploprovodnosti; Kazak Universiteti: Almaty, Kazakhstan, 2022; p. 369. [Google Scholar]
- Fedotov, G. Fraktal’nye Kolloidnye Struktury v Pochvah Razlichnoii Zonal’nosti. Doklady Academii Nauk RF 2005, 405, 351–354. [Google Scholar]







Disclaimer/Publisher’s Note: The statements, opinions and data contained in all publications are solely those of the individual author(s) and contributor(s) and not of MDPI and/or the editor(s). MDPI and/or the editor(s) disclaim responsibility for any injury to people or property resulting from any ideas, methods, instructions or products referred to in the content. |
© 2024 by the authors. Licensee MDPI, Basel, Switzerland. This article is an open access article distributed under the terms and conditions of the Creative Commons Attribution (CC BY) license (https://creativecommons.org/licenses/by/4.0/).
Share and Cite
Rysbayeva, N.; Alpar, S.; Rysbaiuly, B. Inverse Problem for the Moisture Transfer Equation: Development of a Method for Finding the Unknown Parameter and Proof of the Convergence of the Iterative Process. Symmetry 2024, 16, 1444. https://doi.org/10.3390/sym16111444
Rysbayeva N, Alpar S, Rysbaiuly B. Inverse Problem for the Moisture Transfer Equation: Development of a Method for Finding the Unknown Parameter and Proof of the Convergence of the Iterative Process. Symmetry. 2024; 16(11):1444. https://doi.org/10.3390/sym16111444
Chicago/Turabian StyleRysbayeva, Nazerke, Sultan Alpar, and Bolatbek Rysbaiuly. 2024. "Inverse Problem for the Moisture Transfer Equation: Development of a Method for Finding the Unknown Parameter and Proof of the Convergence of the Iterative Process" Symmetry 16, no. 11: 1444. https://doi.org/10.3390/sym16111444
APA StyleRysbayeva, N., Alpar, S., & Rysbaiuly, B. (2024). Inverse Problem for the Moisture Transfer Equation: Development of a Method for Finding the Unknown Parameter and Proof of the Convergence of the Iterative Process. Symmetry, 16(11), 1444. https://doi.org/10.3390/sym16111444

