Next Article in Journal
Determination of Initial Data in the Time-Fractional Pseudo-Hyperbolic Equation
Next Article in Special Issue
Analyzing the Chiral Purity of Pharmaceuticals: The Application of Cyclodextrin-Based Chiral Selectors in Capillary Electrophoresis
Previous Article in Journal
A Three-Dimensional Model of a Spherically Symmetric, Compressible Micropolar Fluid Flow with a Real Gas Equation of State
Previous Article in Special Issue
Enumeration of n-Dimensional Hypercubes, Icosahedra, Rubik’s Cube Dice, Colorings, Chirality, and Encryptions Based on Their Symmetries
 
 
Font Type:
Arial Georgia Verdana
Font Size:
Aa Aa Aa
Line Spacing:
Column Width:
Background:
Review

Medicinally Significant Enantiopure Compounds from Garcinia Acid Isolated from Garcinia gummi-gutta

by
Simimole Haleema
1,*,
Chithra Gopinath
1,†,
Zabeera Kallingathodi
2,†,
Grace Thomas
3,† and
Prasad L. Polavarapu
4,*
1
T. K. M. College of Arts and Science, Kollam 691005, Kerala, India
2
M. E. S Mampad College, Mampad 676542, Kerala, India
3
Sacred Heart College (Autonomous), Thevara, Kochi 682013, Kerala, India
4
Department of Chemistry, Vanderbilt University, Nashville, TN 37235, USA
*
Authors to whom correspondence should be addressed.
These authors contributed equally to this work.
Symmetry 2024, 16(10), 1331; https://doi.org/10.3390/sym16101331
Submission received: 6 September 2024 / Revised: 29 September 2024 / Accepted: 3 October 2024 / Published: 9 October 2024
(This article belongs to the Special Issue Chemistry: Symmetry/Asymmetry—Feature Papers and Reviews)

Abstract

Garcinia gummi-gutta, commonly known as Garcinia cambogia (syn.), is a popular traditional herbal medicine known for its role in treating obesity, and has been incorporated into several nutraceuticals globally for this purpose. The fruit rind is also used as a food preservative and a condiment because of its high content of hydroxycitric acid, which imparts a sharp, sour flavour. This review highlights the major bioactive compounds present in the tree Garcinia gummi-gutta, with particular emphasis on (2S, 3S)-tetrahydro-3-hydroxy-5-oxo-2,3-furan dicarboxylic acid, commonly referred to as garcinia acid. This acid can be isolated in large amounts through a simple procedure. Additionally, it explores the synthetic transformations of garcinia acid into biologically potent and functionally useful enantiopure compounds, a relatively under-documented area in the literature. This acid, with its six-carbon skeleton, a γ-butyrolactone moiety, and two chiral centres bearing chemically amenable functional groups, offers a versatile framework as a chiron for the construction of diverse molecules of both natural and synthetic origin. The synthesis of chiral 3-substituted and 3,4-disubstituted pyrrolidine-2,5-diones, analogues of the Quararibea metabolite—a chiral enolic-γ-lactone; the concave bislactone skeletons of fungal metabolites (+)-avenaciolide and (−)-canadensolide; the structural skeletons of the furo[2,3-b]furanol part of the anti-HIV drug Darunavir; (−)-tetrahydropyrrolo[2,1-a]isoquinolinones, an analogue of (−)-crispine A; (−)-hexahydroindolizino[8,7-b]indolones, an analogue of the naturally occurring (−)-harmicine; and furo[2,3-b]pyrroles are presented here.

1. Introduction

Natural products comprise secondary metabolites produced by both terrestrial and marine organisms, including plants, animals, fungi, and bacteria [1,2,3]. From a medical perspective, the majority of these natural products provide a rich source of bioactive agents including anti-tumour, immunosuppressive, anti-insecticidal, anti-bacterial, as well as various clinically significant activities. This traditional knowledge about the biological and pharmacological activities of these compounds has significantly influenced modern scientific endeavours in both synthetic and semi-synthetic drug discovery and development efforts. Plant-derived molecules continue to be indispensable in healthcare; with their utilization across diverse cultures were extensively documented [4,5]. According to the World Health Organization (WHO), approximately 65% of the global population relies predominantly on plant-derived traditional medicines for primary healthcare. These plant products also play a significant, albeit more indirect, role in healthcare systems in developed countries [6]. These secondary metabolites can also serve as starting materials for synthesizing structurally and stereochemically related molecules that are beneficial to humanity.
Garcinia gummi-gutta (synonym of Garcinia cambogia Desr.), is a member of the Clusiaceae family and is closely related to several other Garcinia species [7]. More commonly known as Malabar tamarind, it is an economically significant spice tree valued for its sun-dried, smoked rind, which imparts a tart flavour. This spice is widely used as a flavouring condiment in various dishes. The small fruit resembles a pumpkin and is heavily marketed as a weight loss supplement.

2. Traditional Uses of Garcinia gummi-gutta Extracts

Ancient Indian tribes utilized various parts of the Garcinia gummi-gutta plant for diverse medicinal purposes, as documented in Sanskrit texts foundational to Indian traditional medicine. Charaka samhita, a key text in Ayurveda, mentions the dried fruit of the tree combined with curd as a remedy for piles and haemorrhoids. Vagbhata’s Ashtanga Hridaya, which frequently references the earlier classical work Charakasamhitha, further discusses the medicinal properties of the fruit, highlighting it as an excellent remedy for gastrointestinal problems. Vaidyamanorama, another classical text of Ayurveda also discusses the medicinal properties of the fruit as the remedy for gulma disease. The text presents an ayurvedic formulation in which the dried fruit is mixed with rock salt as a decoction to treat this condition. Traditional tribes from Kerala use the fruit extract as a remedy for uterus related issues. Typically, after 60 days of delivery, women in the tribe consume the fruit extract once a day as part of their traditional healing practices [6]. Additionally, the plant extract is considered an antidote for venomous bites, including cobra bites and scorpion stings, and is known for its wound-healing properties. It can also be included in the diet of patients undergoing treatment for skin conditions. In this respect, it contrasts with conventional tamarind, which is typically avoided in the dietary regimen of sick patients. Various formulations derived from the plant have been traditionally used in many Asian countries to treat a range of ailments, including constipation, rheumatism, oedema, irregular menstruation, and intestinal parasites. These remedies reflect the plant’s long-standing role in traditional medicine across the region [8,9,10,11]. It was also used in veterinary medicine to address mouth diseases in cattle [7], and served as a tonic for heart-related issues [7,10].
The fruit of the tree is renowned for its acidic flavour and has been extensively used in preparing a wide range of dishes. The fruit is also used in curing fish, a practice famously known as Colombo fish curing. Extensive culinary research and experimentation have demonstrated that the fruit rind and its extracts play a significant role as a curry condiment in India, adding a tangy element to various traditional recipes.

3. Plant Constituents of Garcinia gummi-gutta

The sour taste of the fruit is attributed to the presence of high amount of (−)-hydroxycitric acid [(−)-HCA, 1a]. Earlier reports suggested that the fruit contains additional organic acids such as tartaric and citric acids. However, modern analytical research established that 1a and its lactone form garcinia acid (1) are the major organic acids present in the fruit [12].
The major chemical constituents isolated from different parts of the plant includes, the organic acids such as 1a, the lactone 1, benzophenones and polyisoprenylated benzophenones, such as garcinol (2), isogarcinol (3), and guttiferones (4–6), [7,8,10,11], as well as xanthone-type compounds like garbogiol (7), rheediaxanthone A (8), oxy-guttiferone I (9), oxy-guttiferone K (10), oxy-guttiferone M (11), and oxy-guttiferone K2 (12) [12,13,14]. The major compounds, 1 to 12, isolated from different parts of the plant are presented in Table 1.

4. Medicinal Properties

Various extracts and pure compounds isolated from the plant possess a wide range of biological activities, including anti-obesity, anti-inflammatory, anti-diabetic, anti-oxidant, anti-cancer, and others. Extensive studies are being conducted regarding the anti-obesity activity of the phytochemical constituents. Numerous nutraceuticals are being marketed as anti-obesity agents based on the various extracts of Garcinia gummi-gutta [6,7,9].
Acids 1a and 1 are recognised for potential anti-obesity or weight-reducing properties due to their ability to inhibit the enzyme ATP citrate lyase. This enzyme is responsible for catalysing the extra-mitochondrial cleavage of citrate to oxaloacetate and acetyl coenzyme A (acetyl-CoA). Acetyl-CoA is the key precursor in the synthesis of fatty acids. Consequently, the energy that would be used for fatty acid synthesis is diverted to the production of muscle and liver glycogen [15,16,17].
While there have been promising findings regarding the effectiveness of the acid 1a, concerns about its dosage and administration exist. It is generally advised that individuals diagnosed with diabetes mellitus, pregnant women, and lactating women should avoid taking the plant extract due to potential risks. This caution stems from the inhibition of acetyl-CoA, which subsequently affects the production of malonyl-CoA. Malonyl-CoA plays a crucial role in insulin signalling, potentially impacting insulin sensitivity.
The derivatives of 1a such as calcium, potassium, and sodium salts, along with other ingredients, have been incorporated into various pharmaceutical combinations aimed at enhancing weight loss and correcting lipid abnormalities. These formulations are designed to leverage the potential benefits of acid 1a while addressing safety concerns and optimizing therapeutic outcomes.

5. Toxicity Studies

Although compounds isolated from Garcinia gummi-gutta and its extracts have found various applications in the medicinal and food additives industry, concerns about the safety of Garcinia gummi-gutta extracts have been raised in some reports [14,18,19,20,21,22].
The majority of these reports indicate that Garcinia gummi-gutta extracts or its active principle 1a itself may not have significant toxic effects. However, a few clinical toxicity reports have raised concerns about formulations that include Garcinia gummi-gutta extracts or 1a as active ingredients, showing potential toxicity toward spermatogenesis [23]. Despite these concerns, studies examining the effects of 1a on human sex hormones have found no significant changes in serum hormone levels. Other reports have also indicated that both 1a and 1, are safe based on biochemical and histopathological analyses [22]. A majority of adverse reports have been associated with multi-ingredient formulations, making it challenging to attribute negative effects to a specific component. Some reports suggest a potential interaction between medications that increase serotonin levels, such as Selective Serotonin Reuptake Inhibitors, and 1a, which is known to also elevate serotonin levels. This underscores the importance of pre-marketing safety assessments [23].

6. Hydroxycitric Acids

HCA, also known as 1,2-dihydroxypropane-1,2,3-tricarboxylic acid, is a six-carbon organic acid featuring two adjacent chiral centres. (−)-HCA is widely utilised as a significant component in pharmaceuticals and food additives, highlighting its versatile applications in both medicinal and culinary industries. However, the natural occurrence of these chiral organic acids is limited. In 1833, Lippmann first reported the natural existence of HCA [24]. Of the four isomers of HCA, 1, 13, 14, and 15 (Figure 1), garcinia acid (1), or (2S,3S)-3-hydroxy-5-oxo-tetrahydrofuran-2,3-dicarboxylic acid, and hibiscus acid (13), or (2S,3R)-3-hydroxy-5-oxo-tetrahydrofuran-2,3-dicarboxylic acid, are naturally available. The natural existence of the other two stereoisomers has not yet been reported. However, all these isomers have been synthesised from trans-aconitic acid by Martius [25]. The presence of hydroxycitric acid in the fruit of Garcinia gummi-gutta was first reported by Lewis and Neelakantan in 1965 [26]. Since then, various attempts have been made to isolate 1 in its enantiopure form.
In 1969, Boll et al. determined the absolute configurations of the two asymmetric centres of the acid. The same group also reported the pKa values of both carboxylic acids as 1.82 and 3.75 from a potentiometric titration method [27]. In 1971, Gluskar et al. published the X-ray crystal structure of the dicalcium salt of 1 and determined its absolute configuration [28]. Additionally, Jayaprakash and coworkers reported the HPLC profile of organic acids present in the fruit extract and estimated the (-)-HCA content to be between 16% and 30% in the fruit [29].
Various attempts have been made to determine whether (−)-HCA exists in the fruit as an open chain or in a lactone form. This is due to the presence of a hydroxyl group at the gamma position, which is prone to lactonization and forms a cyclic γ-butyrolactone moiety (Figure 2). The systematic study conducted by Ibnusaud et al. using capillary electrophoresis confirmed the presence of both open-chain and lactonized forms of the acid in the plant [30].

7. Garcinia Acid as Chiral Building Block: A Value Addition to India’s Natural Resources

It is interesting to note that mineral and biological resources of India, including its flora and fauna, have not been extensively explored for value addition. According to a report by the Department of Science and Technology, Government of India, Indian researchers have not yet fully tapped into the potential of the country’s rich biodiversity. Only a small fraction, around 5%, of India’s plant materials have undergone systematic investigation. This highlights a significant opportunity for further research and development to unlock the potential benefits and applications of these resources.
There is a growing interest in identifying, isolating, and utilising natural products for semi-synthetic approaches to produce desired chiral compounds. This approach not only aims to streamline synthetic processes but also leverages natural resources more sustainably, aligning with global trends towards eco-friendly and efficient chemical synthetic methods. Hence, considerable effort and creativity have focused on using enantiopure and inexpensive compounds, such as terpenes, carbohydrates, hydroxy acids, and amino acids obtained directly from the chiral pool for target-oriented syntheses [31,32].
Among these compounds, naturally occurring α-hydroxy acids, 1, 13, 16 to 27 (Figure 3) have been extensively used as a renewable source of enantiomerically pure compounds for various aspects of chirality. However, there has been little exploration into the synthetic potential of the closely related but lesser-known acid 1, which is abundantly distributed in nature.
The research group led by Ibnusaud et al. identified the potential of 1 as a chiron to synthesise both natural and unnatural organic compounds in an enantiomerically pure form. They also developed a procedure for the large-scale isolation of 1 from the dried fruit rinds of Garcinia gummi-gutta [33,34,35,36,37,38,39].
The acid 1, with a six-carbon skeleton, has been explored for developing molecules possessing chiral centres in a six-carbon framework. These include several biologically/functionally important enantiopure molecules such as potential chiral pyrrolidinediones, analogues of the Quararibea metabolite—a chiral enolic-γ-lactone, concave bislactone skeletons of fungal metabolites like (+)-avenaciolide and (−)-canadensolide, as well as the structural skeletons of furo[2,3-b]furanol (part of the anti-HIV drug Darunavir), (−)-tetrahydropyrrolo[2,1-a]isoquinolinone, (−)-hexahydroindolizino[8,7-b]indole, and furo[2,3-b]pyrrole (Table 2).
All of the reported compounds have found wide implementations in pharmaceutical industries. Table 2 lists some of the significant compounds (28 to 48), prepared from 1, and Table 3 presents a collection of significant synthons and natural products (49 to 72), which have matching structure and stereochemistry with that of 1 and can be synthesised from 1. The enantio-purity of the target molecules is guaranteed during the synthesis as the chirality is transferred from the enantiomerically pure starting molecules to target molecules.

7.1. Synthesis of Bislactones

Several enantiomerically pure lactones and related bislatones have been the focus of recent research to develop a variety of compounds with biological significance. Compounds like paraconic acids, mescaline isocitrimide lactone, avenaciolide, whisky lactones, cinatrins, methylenolactocins etc. have distinct structural frameworks that do not align with tartaric acid. Additionally, the known methods for synthesising certain concave bislactones such as (+)-avenaciolide (73), (+)-isoavenaciolide (74), ethisolide (75), (−)-canadensolide (76), xylobovide (77), sporothriolide (78), and dihydrocandensolide (79) are often described as tedious and time-consuming [58,59,60,61,62,63,64,65,66,67,68]. Interestingly, 1 appears to be the most suitable chiron for minimising synthetic steps and maximising the synthetic efficiency of these lactones/bislactones (Figure 4) [35].
In this respect, a quick semi-synthetic method for constructing these challenging and fascinating bislactones (81 and 85) has been developed by Ibnusaud et al. from readily available acid 1 [35]. This method can be further tuned for a variety of natural molecules. After protecting the geminal hydroxyl and carboxylic acid group at the C-3 position of acid 1 with trichloroacetaldehyde (Scheme 1), the selective reduction of the carboxylic group at the C-2 position was conducted using borane dimethyl sulphide in tetrahydrofuran (BMS/THF) [69]. The chromatographic purification over silica gel furnished the bis-lactone 81, a derivative of the fungal metabolite (−)-candensolide. The structure of 81 was confirmed based on IR, 1H and 13C NMR spectroscopy, X-ray diffraction studies (CCDC 667543), and mass spectrum. Additionally, an alternative route was reported for the synthesis of bislactone 81 by employing borane dimethyl sulphide in tetrahydrofuran (BMS/THF) for the selective reduction of anhydride 82 (Scheme 1).
The tertiary hydroxyl group at C-3 position of 83a, the dimethyl ester of 1, was utilised to facilitate a regio-selective reduction using borane dimethyl sulfide (BMS) in tetrahydrofuran and catalytic NaBH4 [70]. This reduction furnished the bislactone 85, the core skeleton of the fungal metabolite (+)-avenaciolide, as a sharp melting solid upon chromatographic purification over silica gel (Scheme 2) [35,71]. The structure of 85 was confirmed based on IR, 1H and 13C NMR spectroscopy, X-ray diffraction studies (CCDC 667542), and mass spectrum.
Vicinal diol 84a was isomerised to hydroxy ester 86, a lactone motif present in many natural products [56,57] via acid-catalysed trans-lactonization. A plausible mechanism for the transformation is depicted in Scheme 3 [72].
The subsequent hydrolysis of 86 in an alkaline medium furnished the acid 87 (Scheme 4). Treatment of 86 with benzylamine in methanol under reflux resulted in the formation of amide 88 [72], a valuable intermediate for the synthesis of iminosugars [73].

7.2. Synthesis of Analogues of the Quararibea Metabolite Chiral Enolic-γ-Lactones

Chiral butenolide sub-structures are estimated to serve as building blocks for the synthesis of approximately 13,000 natural products, including molecules like (-) funebrine (89) and angelica lactone (90), with 2(5H)-furanone subunits (Figure 5). These structural motifs are found in various compounds such as pheromones, the antibiotic strobilin, penicillanic acid, pulvinones, and several secondary metabolites of fungal and marine origin, as well as sesquiterpenoid lactones. Often, chiral butenolides are obtained from sources like carbohydrates, α-keto acids, glutamic acid, or acyclic systems such as acetylenic compounds, pyruvic acid derivatives, and cyanohydrins of conjugated aldehydes, typically involving multi-step procedures [51,74,75].
It was reported that minor functional group modification on the acid 1 yields the chiral enolic lactone [36]. The dialkylesters of acid 1 were used to synthesize analogues of the Quararibea metabolite chiral enolic-γ-lactones. Methyl ethers of chiral enolic -γ-lactone (91) were isolated by reacting dimethyl or diethyl esters of 1 with POCl3 in pyridine and then reacting the mixture with diazomethane (Scheme 5). However, when the reaction was conducted using 83b, the diisopropyl ester of 1, a simple dehydration product (92), was obtained. Irrespective of the substitution, when methane sulfonyl chloride in triethyl amine reacted with the dialkylesters of acid 1, aromatic dialkyl-5-[(methyl-sulfonyl)oxy]-2,3-furandicarboxylates 93a and 93b were isolated.
A plausible mechanism for the formation of compounds 91a–b and 93a–b is proposed (Figure 6 and Figure 7).

7.3. Synthesis of 3-Substituted and 3,4-Disubstituted Pyrrolidine-2-5-Diones

Syntheses of pyrrolidines, pyrrolizidine alkaloids, amino acids, and other compounds have been achieved starting from hydroxy acids such as tartaric or malic acids, which involve intermediates like pyrrolidine-2,5-diones. Hence, a great deal of research has been focused on the synthesis of 2,5-disubstituted pyrrolidines [32]. Ibnusaud et al. have reported the synthesis of 3 and 3,4-disubstituted chiral pyrrolidines by the judicious conversion of 1 since various natural compounds include pyrrolidine skeletons with 3 and 3,4-disubstitution.
They have developed two distinct strategies to synthesize chiral pyrrolidine-2,5-diones. By using acetyl chloride, the acid 1 is converted to the corresponding anhydride 82 in the first approach. Several primary amines were refluxed with the resulting acetylated anhydride to produce the appropriate bicyclic pyrrolidine-2,5-diones (33a–g). Subsequently, the acetylated anhydride was deacetylated to obtain the final compounds (34a–f) (Scheme 6) [34,38,39,53,76].
The anhydride-based pyrrolidine-2,5-diones are limited to the HCA variants (2S,3S) and (2R,3R) because the cis orientation of carboxylic acid groups is necessary to achieve five-membered ring fusion. However, pyrrolidine-2,5-diones derived from the (2S,3S) isomer of HCA are the only compounds known, as the (2R,3R) isomer of HCA has not yet been reported in natural sources.
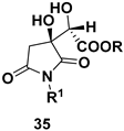
In the second strategy, diesters of 1 were employed as starting compounds. These diesters were refluxed with one equivalent of a primary amine in toluene leading to the formation of cyclic imides for the subsequent conversion of pyrrolidine-2,5-diones (Scheme 7). Thus, a novel class of 3-substituted pyrrolidine-2,5-diones (35a–l) with yields varying from 71% to 90% was obtained by utilizing a variety of primary amines. The diversity in substituents bonded to the imide nitrogen contributed to the inherent diversity of this library of 3-substituted pyrrolidine-2,5-diones.
Furthermore, these pyrrolidine-2,5-diones possess an improved coupling motif that enables the one-pot generation of a wide range of skeletally diverse and bio-relevant compounds [53]. By considering the imide carbonyl as a shared coupling point in the pairing phase, it has been reported that monocyclic precursors can be folded to form two distinct types of polycyclic ring systems.

7.4. Synthesis of Tetrahydropyrrolo[2,1-a] Isoquinolinone, Hexahydroindolizino[8,7-b] Indolones and Furo[2,3-b]pyrroles

N-heterocyclic scaffolds based on pyrrolo[2,1-a]isoquinoline are the fundamental structural component of many synthetic and biologically active compounds. It is well known that there are several natural compounds containing a pyrrolo[2,1-a]isoquinoline structure (Table 3, Nos. 60–67). Although naturally occurring simple, tricyclic, non-annulated pyrrolo[2,1-a]isoquinolines have existed since 1963, their significance has recently increased. There is ample documentation on the synthesis and characteristics of pyrrolo[2,1-a] isoquinolines [37,76].
Many compounds with the ring structures of pyrroloisoquinolin [53,77,78,79] and indolizinoindolone [77,80,81,82] are commonly found in tropical and sub-tropical folk medicines [76,81]. The most promising technique for synthesizing these fused heterocyclic complexes is N-acyliminium ion cyclization [80,83,84]. This synthetic strategy involves the reduction of chiral unsymmetrical pyrrolidine-2,5-diones (94). These intermediates then undergo diastereoselective N-acyliminium cyclization leading to the formation of tetrahydropyrrolo[2,1-a]isoquinoline (95), and hexahydroindolizino[8,7-b]indolone ring systems. The reduction of chiral pyrrolidine-2,5-diones exhibits regioselectivity at the more substituted carbonyl group [85]. The nucleophilic aryl ring on the least hindered side of the acyliminium ion is known to be attacked in a diastereospecific manner during the N-acyliminium cyclization process, yielding only one diastereomer and therefore 96 is not formed (Scheme 8) [79].
In this background, tetrahydropyrrolo[2,1-a]isoquinone derivatives (36) were prepared in an enantiomerically pure form from chiral 3-substituted pyrrolidine-2,5-diones (35), in good yield (Scheme 9). The proximal hydroxy groups facilitated the regioselective reductions. The reduction products from 35 could be folded to obtain either five- or six-membered polycyclic ring systems, depending on the workup conditions and electronic status of the aromatic ring (Scheme 9 and Scheme 10). The scope of this work has been extended to include pyrrolidine-2,5-diones with different electronic characteristics.
After reducing the pyrrolidine-2,5-diones 35i or 35k with three equivalents of NaBH4, followed by workup under acidic conditions (5M HCl) (Path A), tetrahydropyrrolo[2,1-a]isoquinone (36) were obtained, through a 6-endo-trig cyclization process that involved the aromatic ring as the nucleophilic entity (Scheme 9) [53]. Similarly, reduction of pyrrolidine-2,5-dione 35l led to the formation of hexahydroindolizino[8,7-b]indolone (37) (Scheme 10).
When the reduction of 35i, or 35k and 35l was performed with an excess of NaBH4 (ten equivalents) followed by quenching with excess methanol (Path B), the furo[2,3-b]pyrroles (38a,b,j) were obtained diastereospecifically. This transformation proceeded via a 5-exo-trig cyclization involving the hydroxyl group of the reduced ester as the nucleophilic entity. The alkaline reaction mixture generated by the excess NaBH4 allowed the isolation of furo[2,3-b]pyrroles as O-N acetals, which were stable under the isolation conditions (Scheme 9 and Scheme 10).
Accordingly, compounds 36, an analogue of naturally occurring (−)-crispine A (Scheme 9) and 37, an analogue of naturally occurring (−)-harmicine (Scheme 10), were synthesized from 35k and 35l respectively as single diastereomers. The structure and stereochemistry of these molecules were established with all spectroscopic data including the single crystal XRD (for 36, CCDC 1852021, and for 37, CCDC 1852024) as well as chiroptical spectroscopy. The absolute configurations of the final molecules were determined by relating them to the known absolute configurations of the starting compound. The diastereoselective outcome can be explained based on the favoured conformation of the intermediate so that intramolecular cyclisation of 35k’ leads to 36 via a re-face attack of the aryl group. Further, the diastereoselective attack of the nucleophilic aryl ring occurs at the least hindered side of the acyliminium ion [53].
When the pyrrolidine-2,5-dione 35i or 35k was used, a 5-exo-trig cyclisation was triggered in the acyliminium ion, using ten equivalent NaBH4 in ethanol, followed by quenching with excess methanol, resulting in the exclusive formation of furo[2,3-b]pyrrole 38 [29,52]. However, when the aryl ring bears electron-donating groups, it competes with the hydroxyl group acting as the nucleophile for the acyliminium cyclisation. Thus, the pyrrolidine-2,5-dione 35 furnished tetrahydropyrrolo[2,1-a]isoquinolinones (36) via a 6-endo-trig Pictet-Spengler cyclisation with excellent yield. By judiciously tuning the electron density on aryl ring of the pyrrolidinediones, cyclisation can be switched to either furopyrroles or pyrroloisoquinolines [53].

7.4.1. Synthesis of Furopyrroles

Enantiopure furo[2,3-b]pyrroles, a rare class of concave cis-fused bicyclic nitrogen and oxygen heterocycles, are found as subunits in complex natural products like millingtonine A (Figure 8), madindoline (Table 3, No. 69), as well as in several synthetic drugs [86]. A practical approach to the synthesis of this rare class of nitrogen–oxygen heterocycles was disclosed by Ibnusaud et al. (Scheme 11) [52,53].

7.4.2. Synthesis of Pyrroloisoquinolinone from Bicyclic Anhydride

The reaction of compound 34e with excess NaBH4 (ten equivalents), followed by acidic workup, led to the formation of 2,3-disubstituted pyrrolo[2,1-a]isoquinolinone 39 (Scheme 12). Similar to the case with pyrrolidine-2,5-diones, the proximal hydroxy group of 34e directs the reducing agent to selectively reduce the C-2 carbonyl group. The resulting N-acyliminium ion undergoes Pictet-Spengler cyclisation to furnish compound 39 instead of the anticipated 98. A plausible mechanistic pathway for the formation of 39 involves the formation of epoxide 39b via an intra-molecular substitution of the tertiary hydroxyl group of 39a, followed by an intramolecular hydride transfer in an SN2 fashion through a six-membered borohydride intermediate 39c (Scheme 13). The structure and configuration of 39 were established with spectroscopic data and X-ray crystallography (CCDC 1852026).

7.4.3. Synthesis of Furo[2,3-b]furanol Skeletons

The bis-tetrahydrofuran (bis-THF) alcohol moiety plays a crucial role in the structure of HIV protease inhibitors (PIs) like Darunavir, Brecanavir, GS-9005, and SPI-256 [55,87,88,89,90]. This moiety constitutes a substantial portion of the manufacturing cost of the active pharmaceutical ingredient. Various synthetic routes for preparing the bis-THF moiety, particularly for compounds like Darunavir, often start with the synthesis of the racemic form of bis-THF. This racemic mixture is then subjected to enzymatic resolution methods to obtain the desired enantiomerically pure form [91].
The strategic conversion of anhydride 82 into the monoester (41) through a regioselective ring-opening reaction with ethanol followed by condensation with N,O-dimethylhydroxylamine yields monoamide 42 in one pot. Subsequent reduction of the monoamide 42 with LiAlH4 (four equivalent), followed by the cyclisation of the hemiaminal (42a) using 2M sulfuric acid, results in the formation of the bis-THF diol 43 as a single stereoisomer, which was isolated as a viscous liquid (Scheme 14). The absolute configuration of 43 was assigned relatively, with the chiral integrity of the tertiary carbon atom bearing hydroxyl group maintained throughout the reaction process. The formation of the concave bis-furan structure is achieved only in the cis fashion, highlighting the stereochemical constraints and preferences in the synthesis of such ring systems.

8. Conclusions

This review highlights the traditional uses and medicinally important chemical compounds isolated from Garcinia gummi-gutta, a valuable spice tree known for its sun-dried, smoked fruit rind that imparts a distinctive tart flavour. The biological properties of extracts from various parts of the plant are mediated by several phytochemicals, with the majority of the effects attributed to its hydroxycitric acid content. Despite being synthetically underutilized, this naturally occurring acid, or its lactone form, has demonstrated the ability to facilitate the construction of a wide range of enantiomerically pure molecules with promising biological and functional applications. This includes the synthesis of concave bislactone skeletons present in naturally occurring secondary metabolites, such as (+)-avenaciolide and (−)-canadensolide, both recognized for their potent biological activities, including antifungal properties. Additionally, the synthesis of analogues of the quararibea metabolite—a chiral enolic-γ-lactone, serve as key building blocks for the synthesis of natural products including pheromones, the antibiotic strobilin, pencillianic acid, pulvinones, are described. Furthermore, the structure and stereochemistry of garcinia acid make it an ideal precursor for preparing chiral 3-substituted and 3,4-disubstituted pyrrolidine-2,5-diones, which are common structural subunits found in a variety of natural and synthetic bioactive products. The acid also enables the synthesis of the structural skeletons of the furo[2,3-b]furanol moiety, found in the anti-HIV drug Darunavir, as well as (−)-tetrahydropyrrolo[2,1-a]isoquinolinones, an analogue of the anti-tumour alkaloid (−)-crispine A, and (−)-hexahydroindolizino[8,7-b]indolones, an analogue of the naturally occurring (−)-harmicine, known for its antileishmanial and antinociceptive activities. Moreover, the syntheses of furo[2,3-b]pyrroles are also demonstrated. These syntheses are promising and pave the way for utilizing garcinia acid as a chiral building block for synthesising biologically significant compounds, with the potential to develop new drugs. This approach also encourages more sustainable and environmentally friendly synthetic methods.

Author Contributions

Conceptualization, P.L.P. and S.H.; writing-original draft preparation, P.L.P. and S.H.; writing—review and editing, P.L.P., S.H., C.G., Z.K. and G.T. All authors have read and agreed to the published version of the manuscript.

Funding

This research received no external funding.

Data Availability Statement

Data is contained within the article.

Acknowledgments

This review is dedicated to celebrating the extraordinary life and contributions of the late Ibrahim Ibnusaud, the founding Director of the Institute for Intensive Research in Basic Sciences at Mahatma Gandhi University, Kottayam, Kerala, India, in the fields of science, arts, and literature. SH and CG acknowledge Sumalekshmy S., Assistant Professor, and Swathy U. S., Research Scholar, TKM College of Arts and Science, Kollam, Kerala for the timely support and valuable advice during the preparation of this manuscript.

Conflicts of Interest

The authors declare no conflicts of interest.

Abbreviations

Acetyl-CoAAcetyl coenzyme A
BnNH2Benzyl amine
bis-THFbis-tetrahydrofuran
BMSBorane dimethyl sulphide
CH3COClAcetyl chloride
CH2N2Diazomethane
(COCl)2Oxalyl chloride
DCM Dichloromethane
DMFN,N-Dimethylformamide
EtOHEthanol
HCAHydroxycitric acid
HClHydrochloric acid
HIVHuman immunodeficiency virus
HPLCHigh-performance liquid chromatography
H3PO3Orthophosphorous acid
H2SO4Sulphuric acid
LiAlH4Lithium aluminum hydride
MeOHMethanol
MsClMethane sulfonyl chloride
NaBH4Sodium borohydride
NaOHSodium hydroxide
ORTEPOak Ridge Thermal-Ellipsoid Plot Program
POCl3Phosphorus oxychloride
THFTetrahydrofuran
TEATriethyl amine
p-TSAp-Toluene sulfonic acid

References

  1. Finefield, J.M.; Sherman, D.H.; Kreitman, M.; Williams, R.M. Enantiomeric Natural Products: Occurrence and Biogenesis. Angew. Chem. Int. Ed. 2012, 51, 4802–4836. [Google Scholar] [CrossRef] [PubMed]
  2. König, G.M.; Kehraus, S.; Seibert, S.F.; Abdel-Lateff, A.; Müller, D. Natural Products from Marine Organisms and Their Associated Microbes. ChemBioChem 2006, 7, 229–238. [Google Scholar] [CrossRef] [PubMed]
  3. Yu, J.-H.; Yu, Z.-P.; Capon, R.J.; Zhang, H. Natural Enantiomers: Occurrence, Biogenesis and Biological Properties. Molecules 2022, 27, 1279. [Google Scholar] [CrossRef] [PubMed]
  4. Kunnumakkara, A.B.; Koca, C.; Dey, S.; Gehlot, P.; Yodkeeree, S.; Danda, D.; Sung, B.; Aggarwal, B.B. Traditional Uses of Spices: An Overview. In Molecular Targets and Therapeutic Uses of Spices; World Scientific Publishing Co. Pte. Ltd.: Singapore, 2009; pp. 1–24. [Google Scholar] [CrossRef]
  5. Howes, M.-J.R.; Quave, C.L.; Collemare, J.; Tatsis, E.C.; Twilley, D.; Lulekal, E.; Farlow, A.; Li, L.; Cazar, M.-E.; Leaman, D.J.; et al. Molecules from nature: Reconciling biodiversity conservation and global healthcare imperatives for sustainable use of medicinal plants and fungi. Plants People Planet 2020, 2, 463–481. [Google Scholar] [CrossRef]
  6. Cragg, G.M.; Newman, D.J. Natural products: A continuing source of novel drug leads. Biochim. Biophys. Acta (BBA) Gen. Subj. 2013, 1830, 3670–3695. [Google Scholar] [CrossRef]
  7. Semwal, R.B.; Semwal, D.K.; Vermaak, I.; Viljoen, A. A comprehensive scientific overview of Garcinia cambogia. Fitoterapia 2015, 102, 134–148. [Google Scholar] [CrossRef]
  8. H. Baky, M.; Fahmy, H.; Farag, M.A. Recent Advances in Garcinia cambogia Nutraceuticals in Relation to Its Hydroxy Citric Acid Level. A Comprehensive Review of Its Bioactive Production, Formulation, and Analysis with Future Perspectives. ACS Omega 2022, 7, 25948–25957. [Google Scholar] [CrossRef]
  9. Choppa, T.; Selvaraj, C.I.; Zachariah, A. Evaluation and Characterization of Malabar Tamarind [Garcinia cambogia (Gaertn.) Desr.] Seed Oil. J. Food Sci. Technol. 2015, 52, 5906–5913. [Google Scholar] [CrossRef]
  10. Pandey, M.M.; Rastogi, S.; Rawat, A.K.S. Indian Traditional Ayurvedic System of Medicine and Nutritional Supplementation. Evid.-Based Complement. Altern. Med. 2013, 2013, 376327. [Google Scholar] [CrossRef]
  11. Espirito Santo, B.L.S.d.; Santana, L.F.; Kato Junior, W.H.; de Araújo, F.d.O.; Bogo, D.; Freitas, K.d.C.; Guimarães, R.d.C.A.; Hiane, P.A.; Pott, A.; Filiú, W.F.d.O.; et al. Medicinal Potential of Garcinia Species and Their Compounds. Molecules 2020, 25, 4513. [Google Scholar] [CrossRef]
  12. Jena, B.S.; Jayaprakasha, G.K.; Sakariah, K.K. Organic Acids from Leaves, Fruits, and Rinds of Garcinia cowa. J. Agric. Food Chem. 2002, 50, 3431–3434. [Google Scholar] [CrossRef] [PubMed]
  13. Masullo, M.; Bassarello, C.; Bifulco, G.; Piacente, S. Polyisoprenylated benzophenone derivatives from the fruits of Garcinia cambogia and their absolute configuration by quantum chemical circular dichroism calculations. Tetrahedron 2010, 66, 139–145. [Google Scholar] [CrossRef]
  14. Krishnamurthy, N.; Lewis, Y.S.; Ravindranath, B. On the structures of garcinol, isogarcinol and camboginol. Tetrahedron Lett. 1981, 22, 793–796. [Google Scholar] [CrossRef]
  15. Sullivan, C.; Triscari, J. Metabolic regulation as a control for lipid disorders. I. Influence of (—)-hydroxycitrate on experimentally induced obesity in the rodent. Am. J. Clin. Nutr. 1977, 30, 767–776. [Google Scholar] [CrossRef] [PubMed]
  16. Watson, J.A.; Fang, M.; Lowenstein, J.M. Tricarballylate and hydroxycitrate: Substrate and inhibitor of ATP: Citrate oxaloacetate lyase. Arch. Biochem. Biophys. 1969, 135, 209–217. [Google Scholar] [CrossRef] [PubMed]
  17. Chuah, L.O.; Ho, W.Y.; Beh, B.K.; Yeap, S.K. Updates on Antiobesity Effect of Garcinia Origin (-)-HCA. Evid.-Based Complement. Altern. Med. eCam 2013, 2013, 751658. [Google Scholar] [CrossRef]
  18. Hayamizu, K.; Tomi, H.; Kaneko, I.; Shen, M.; Soni, M.G.; Yoshino, G. Effects of Garcinia cambogia extract on serum sex hormones in overweight subjects. Fitoterapia 2008, 79, 255–261. [Google Scholar] [CrossRef]
  19. Iinuma, M.; Ito, T.; Miyake, R.; Tosa, H.; Tanaka, T.; Chelladurai, V. A xanthone from Garcinia cambogia. Phytochemistry 1998, 47, 1169–1170. [Google Scholar] [CrossRef]
  20. Pittler, M.H.; Schmidt, K.; Ernst, E. Adverse events of herbal food supplements for body weight reduction: Systematic review. Obes. Rev. 2005, 6, 93–111. [Google Scholar] [CrossRef]
  21. Saito, M.; Ueno, M.; Ogino, S.; Kubo, K.; Nagata, J.; Takeuchi, M. High dose of Garcinia cambogia is effective in suppressing fat accumulation in developing male Zucker obese rats, but highly toxic to the testis. Food Chem. Toxicol. 2005, 43, 411–419. [Google Scholar] [CrossRef]
  22. Ranjith, D.; Prakash, S.S.; Karunakara, A.C.; Diwakar, L.; Reddy, G.C. Issue of testicular toxicity of hydroxycitric acid lactone. Curr. Sci. 2011, 100, 24–27. [Google Scholar]
  23. Chuah, L.O.; Yeap, S.K.; Ho, W.Y.; Beh, B.K.; Alitheen, N.B. In vitro and in vivo toxicity of garcinia or hydroxycitric Acid: A review. Evid.-Based Complement. Altern. Med. Ecam 2012, 2012, 197920. [Google Scholar] [CrossRef] [PubMed]
  24. von Lippmann, E.O. Uber eine neue, im Ruben-saft vorkommende Saure. Ber. Dtsch Chem. Ges. 1883, 16, 1078–1081. [Google Scholar] [CrossRef]
  25. Martius, C.; Maué, R. Darstellung, physiologisches Verhalten und Bedeutung der (+)-Oxycitronensäure und ihrer Isomeren. Biol. Chem. 1941, 269, 33–40. [Google Scholar] [CrossRef]
  26. Lewis, Y.S.; Neelakantan, S. (−)-Hydroxycitric acid—The principal acid in the fruits of Garcinia cambogia desr. Phytochemistry 1965, 4, 619–625. [Google Scholar] [CrossRef]
  27. Boll, P.M.S.; SØrensen, E.; Balieu, E.; Theander, O.; Jansen, G.; Lamm, B.; Samuelsson, B. Naturally Occurring Lactones and Lactames. III. The Absolute Configuration of the Hydroxycitric Acid Lactones: Hibiscus Acid and Garcinia Acid. Acta Chem. Scand. 1969, 23, 286–293. [Google Scholar] [CrossRef][Green Version]
  28. Glusker, J.P.; Minkin, J.A.; Casciato, C.A. The structure and absolute configuration of the calcium salt of garcinia acid, the lactone of (-)-hydroxycitric acid. Acta Cryst. 1971, 27, 1284–1293. [Google Scholar] [CrossRef]
  29. Jayaprakasha, G.K.; Sakariah, K.K. Determination of organic acids in Garcinia cambogia (Desr.) by high-performance liquid chromatography. J. Chromatogr. A 1998, 806, 337–339. [Google Scholar] [CrossRef]
  30. Abhijith, B.L.; Mohan, M.; Joseph, D.; Haleema, S.; Aboul-Enein, H.Y.; Ibnusaud, I. Capillary zone electrophorsis for the analysis of naturally occurring 2-hydroxycitric acids and their lactones. J. Sep. Sci. 2017, 40, 3351–3357. [Google Scholar] [CrossRef]
  31. Juaristi, E.; Soloshonok, V.A. (Eds.) Enantioselective Synthesis of Beta-Amino Acids, 2nd ed.; Wiley-VCH: Hoboken, NJ, USA, 2005; p. 656. [Google Scholar]
  32. Gary, M. Coppola., H.F.S. α-Hydroxy Acids in Enantioselective Syntheses. In α-Hydroxy Acids in Enantioselective Syntheses, 1st ed.; Wiley-VCH: Weinheim, Germany, 1997; Volume 524. [Google Scholar]
  33. Ibnusaud, I.; Thomas, P.T.; Rani, R.N.; Sasi, P.V.; Beena, T.; Hisham, A. Chiral γ-butyrolactones related to optically active 2-hydroxycitric acids. Tetrahedron 2002, 58, 4887–4892. [Google Scholar] [CrossRef]
  34. Ibnusaud, I.; Thomas, G. Biologically interesting chiral 3,4-disubstituted pyrrolidines from optically active hydroxycitric acid lactones. Tetrahedron Lett. 2003, 44, 1247–1249. [Google Scholar] [CrossRef]
  35. Varugese, S.; Thomas, S.; Haleema, S.; Puthiaparambil, T.; Ibnusaud, I. Synthesis of enantiopure concave (+)-avenaciolide and (−)-canadensolide skeletons. Tetrahedron Lett. 2007, 48, 8209–8212. [Google Scholar] [CrossRef]
  36. Gopinath, C.; Thomas, S.; Nair, M.S.; Ibnusaud, I. Analogues of the Quararibea metabolite chiral enolic-γ-lactone from (2S,3S)- and (2S,3R)-tetrahydro-3-hydroxy-5-oxo-2,3-furandicarboxylic acids. Tetrahedron Lett. 2006, 47, 7957–7960. [Google Scholar] [CrossRef]
  37. CP, P.; Joseph, E.; DS, N.; Ibnusaud, I.; Raskatov, J.; Singaram, B. Stabilization of NaBH4 in Methanol Using a Catalytic Amount of NaOMe. Reduction of Esters and Lactones at Room Temperature without Solvent-Induced Loss of Hydride. J. Org. Chem. 2018, 83, 1431–1440. [Google Scholar] [CrossRef]
  38. Polavarapu, P.L.; Donahue, E.A.; Shanmugam, G.; Scalmani, G.; Hawkins, E.K.; Rizzo, C.; Ibnusaud, I.; Thomas, G.; Habel, D.; Sebastian, D. A Single Chiroptical Spectroscopic Method May Not Be Able To Establish the Absolute Configurations of Diastereomers: Dimethylesters of Hibiscus and Garcinia Acids. J. Phys. Chem. A 2011, 115, 5665–5673. [Google Scholar] [CrossRef]
  39. Haleema, S.; Sasi, P.V.; Ibnusaud, I.; Polavarapu, P.L.; Kagan, H.B. Enantiomerically pure compounds related to chiral hydroxy acids derived from renewable resources. RSC Adv. 2012, 2, 9257–9285. [Google Scholar] [CrossRef]
  40. Skarżewski, J.; Gupta, A. Synthesis of C2 symmetric primary vicinal diamines. Double stereospecific mitsunobu reaction on the heterocyclic diols derived from tartaric acid. Tetrahedron Asymmetry 1997, 8, 1861–1867. [Google Scholar] [CrossRef]
  41. Jenkinson, S.F.; Best, D.; Saville, A.W.; Mui, J.; Martínez, R.F.; Nakagawa, S.; Kunimatsu, T.; Alonzi, D.S.; Butters, T.D.; Norez, C.; et al. C-Branched Iminosugars: α-Glucosidase Inhibition by Enantiomers of isoDMDP, isoDGDP, and isoDAB–l-isoDMDP Compared to Miglitol and Miglustat. J. Org. Chem. 2013, 78, 7380–7397. [Google Scholar] [CrossRef]
  42. Heretsch, P.; Thomas, F.; Aurich, A.; Krautscheid, H.; Sicker, D.; Giannis, A. Syntheses with a Chiral Building Block from the Citric Acid Cycle: (2R,3S)-Isocitric Acid by Fermentation of Sunflower Oil. Angew. Chem. Int. Ed. 2008, 47, 1958–1960. [Google Scholar] [CrossRef]
  43. Zheng, X.; Huang, P.-Q.; Ruan, Y.-P.; Lee, A.; Chan, W.H. A New Approach for Asymmetric Synthesis of (R)-3-Methylpyrrolidine Alkaloids from (S)-Malic Acid. Nat. Prod. Lett. 2002, 16, 53–56. [Google Scholar] [CrossRef]
  44. Shibuguchi, T.; Fukuta, Y.; Akachi, Y.; Sekine, A.; Ohshima, T.; Shibasaki, M. Development of new asymmetric two-center catalysts in phase-transfer reactions. Tetrahedron Lett. 2002, 43, 9539–9543. [Google Scholar] [CrossRef]
  45. Dang, T.P.; Kagan, H.B. The asymmetric synthesis of hydratropic acid and amino-acids by homogeneous catalytic hydrogenation. J. Chem. Soc. D Chem. Commun. 1971, 10, 481. [Google Scholar] [CrossRef]
  46. Kagan, H.B.; Dang, T.-P. Asymmetric catalytic reduction with transition metal complexes. I. Catalytic system of rhodium(I) with (-)-2,3-0-isopropylidene-2,3-dihydroxy-1,4-bis(diphenylphosphino)butane, a new chiral diphosphine. J. Am. Chem. Soc. 1972, 94, 6429–6433. [Google Scholar] [CrossRef]
  47. Sinou, D.; Kagan, H.B. Catalyse asymetrique par le complexe cationique [Rh(COD)(+)Diop]+ClO4−. J. Organomet. Chem. 1976, 114, 325–337. [Google Scholar] [CrossRef]
  48. Galeazzi, R.; Martelli, G.; Orena, M.; Rinaldi, S.; Sabatino, P. Conformationally restricted analogues of both (S)-β-homoserine and (S)-aspartic acid from chiral 3-acylamino pyrrolidin-2-ones. Tetrahedron 2005, 61, 5465–5473. [Google Scholar] [CrossRef]
  49. Brandi, A.; Cardona, F.; Cicchi, S.; Cordero, F.M.; Goti, A. Stereocontrolled Cyclic Nitrone Cycloaddition Strategy for the Synthesis of Pyrrolizidine and Indolizidine Alkaloids. Chem.—A Eur. J. 2009, 15, 7808–7821. [Google Scholar] [CrossRef]
  50. Asano, N.; Nishida, M.; Miyauchi, M.; Ikeda, K.; Yamamoto, M.; Kizu, H.; Kameda, Y.; Watson, A.A.; Nash, R.J.; Fleet, G.W.J. Polyhydroxylated pyrrolidine and piperidine alkaloids from Adenophora triphylla var. japonica (Campanulaceae). Phytochemistry 2000, 53, 379–382. [Google Scholar] [CrossRef]
  51. Mao, B.; Fañanás-Mastral, M.; Feringa, B.L. Catalytic Asymmetric Synthesis of Butenolides and Butyrolactones. Chem. Rev. 2017, 117, 10502–10566. [Google Scholar] [CrossRef]
  52. Nair, D.S.; Ibnusaud, I. Synthesis of enantiopure furo[2,3-b]pyrroles. Tetrahedron Lett. 2014, 55, 5822–5824. [Google Scholar] [CrossRef]
  53. Habel, D.; Nair, D.S.; Kallingathodi, Z.; Mohan, C.; Pillai, S.M.; Nair, R.R.; Thomas, G.; Haleema, S.; Gopinath, C.; Abdul, R.V.; et al. Natural Product-Derived Chiral Pyrrolidine-2,5-diones, Their Molecular Structures and Conversion to Pharmacologically Important Skeletons. J. Nat. Prod. 2020, 83, 2178–2190. [Google Scholar] [CrossRef]
  54. Pässler, U.; Knölker, H.-J. Chapter 2—The Pyrrolo[2,1-a]isoquinoline Alkaloids. In The Alkaloids: Chemistry and Biology; Knölker, H.-J., Ed.; Academic Press: Cambridge, MA, USA, 2011; Volume 70, pp. 79–151. [Google Scholar]
  55. Black, D.M.; Davis, R.; Doan, B.D.; Lovelace, T.C.; Millar, A.; Toczko, J.F.; Xie, S. Highly diastereo- and enantioselective catalytic synthesis of the bis-tetrahydrofuran alcohol of Brecanavir and Darunavir. Tetrahedron Asymmetry 2008, 19, 2015–2019. [Google Scholar] [CrossRef]
  56. Hodgson, D.M.; Talbot, E.P.A.; Clark, B.P. Catalytic Asymmetric Synthesis of (+)-Anthecotulide Using Enyne and Meyer–Schuster Rearrangements. Org. Lett. 2011, 13, 5751–5753. [Google Scholar] [CrossRef] [PubMed]
  57. Hodgson, D.M.; Talbot, E.P.A.; Clark, B.P. Stereoselective Synthesis of β-(Hydroxymethylaryl/alkyl)-α-methylene-γ-butyrolactones. Org. Lett. 2011, 13, 2594–2597. [Google Scholar] [CrossRef] [PubMed]
  58. Brookes, D.; Tidd, B.K.; Turner, W.B. 1028. Avenaciolide, an antifungal lactone from Aspergillus avenaceus. J. Chem. Soc. (Resumed) 1963, 5385–5391. [Google Scholar] [CrossRef]
  59. Nubbemeyer, U. Diastereoselective Zwitterionic Aza-Claisen Rearrangement:  The Synthesis of Bicyclic Tetrahydrofurans and a Total Synthesis of (+)-Dihydrocanadensolide. J. Org. Chem. 1996, 61, 3677–3686. [Google Scholar] [CrossRef]
  60. Lertvorachon, J.; Thebtaranonth, Y.; Thongpanchang, T.; Thongyoo, P. Stereoselective Synthesis of Naturally Occurring α-Methylenebis-γ-butyrolactones:  An Application of Novel Oxiranyl “Remote” Anions. J. Org. Chem. 2001, 66, 4692–4694. [Google Scholar] [CrossRef]
  61. Rodríguez, C.M.; Martín, T.; Martín, V.S. A New Stereoselective Synthesis of (−)-Isoavenaciolide and (−)-Avenaciolide. J. Org. Chem. 1996, 61, 8448–8452. [Google Scholar] [CrossRef]
  62. Aggarwal, V.K.; Davies, P.W.; Schmidt, A.T. Asymmetric synthesis of avenaciolide via cascade palladium catalysed cyclisation–carbonylation of bromodienes. Chem. Commun. 2004, 10, 1232–1233. [Google Scholar] [CrossRef]
  63. Labeeuw, O.; Blanc, D.; Phansavath, P.; Ratovelomanana-Vidal, V.; Genêt, J.-P. An Efficient Ruthenium-Catalyzed Formal Synthesis of (−)-Isoavenaciolide. European J. Org. Chem. 2004, 2004, 2352–2358. [Google Scholar] [CrossRef]
  64. Alcázar, E.; Kassou, M.; Matheu, I.; Castillón, S. The Enantioselective Formal Synthesis of (+)-Avenaciolide and (+)-Isoavenaciolide from Tri-O-acetyl-D-glucal Using a Ring Contraction Reaction as the Key Step. Eur. J. Org. Chem. 2000, 2000, 2285–2289. [Google Scholar] [CrossRef]
  65. Yu, M.; Lynch, V.; Pagenkopf, B.L. Intramolecular Cyclopropanation of Glycals:  Studies toward the Synthesis of Canadensolide, Sporothriolide, and Xylobovide. Org. Lett. 2001, 3, 2563–2566. [Google Scholar] [CrossRef] [PubMed]
  66. Herrmann, J.L.; Berger, M.H.; Schlessinger, R.H. A total synthesis of racemic avenaciolide. J. Am. Chem. Soc. 1979, 101, 1544–1549. [Google Scholar] [CrossRef]
  67. Kallmerten, J.; Gould, T.J. A short, stereocontrolled synthesis of avenaciolide. J. Org. Chem. 1985, 50, 1128–1131. [Google Scholar] [CrossRef]
  68. Burke, S.D.; Pacofsky, G.J.; Piscopio, A.D. Synthesis of ethisolide, isoavenaciolide, and avenaciolide. J. Org. Chem. 1992, 57, 2228–2235. [Google Scholar] [CrossRef]
  69. Buser, H.P.; Pugin, B.; Spindler, F.; Sutter, M. Two enantioselective syntheses of a precursor of the biologically most active isomer of CGA 80000 (clozylacon). Tetrahedron 1991, 47, 5709–5716. [Google Scholar] [CrossRef]
  70. Saito, S.; Ishikawa, T.; Kuroda, A.; Koga, K.; Moriwake, T. A revised mechanism for chemoselective reduction of esters with borane-dimethyl sulfide complex and catalytic sodium tetrahydroborate directed by adjacent hydroxyl group. Tetrahedron 1992, 48, 4067–4086. [Google Scholar] [CrossRef]
  71. K. Banerjee, A.; Laya Mimo, M.S.; Vera Vegas, W.J. Silica gel in organic synthesis. Russ. Chem. Rev. 2001, 70, 971–990. [Google Scholar] [CrossRef]
  72. Simimole, H. Chiral Pool Approach Towards the Synthesis of a Few Optically Active Γ-Butyrolactone Based Natural Products. Ph.D. Thesis, Mahatma Gandhi University, Kottayam, India, 2015. [Google Scholar]
  73. Cren, S.; Gurcha, S.S.; Blake, A.J.; Besra, G.S.; Thomas, N.R. Synthesis and biological evaluation of new inhibitors of UDP-Galf transferase—A key enzyme in M. tuberculosis cell wall biosynthesis. Org. Biomol. Chem. 2004, 2, 2418–2420. [Google Scholar] [CrossRef]
  74. Flourat, A.L.; Haudrechy, A.; Allais, F.; Renault, J.-H. (S)-γ-Hydroxymethyl-α,β-butenolide, a Valuable Chiral Synthon: Syntheses, Reactivity, and Applications. Org. Process Res. Dev. 2020, 24, 615–636. [Google Scholar] [CrossRef]
  75. Tan, Z.; Yihuo, A.; Wu, Z.; Wang, F.; Dong, S.; Feng, X. Concise synthesis of chiral γ-butenolides via an allylation/lactonization cascade reaction. Chem. Commun. 2024, 60, 7926–7929. [Google Scholar] [CrossRef]
  76. Johnson, J.L.; Nair, D.S.; Pillai, S.M.; Johnson, D.; Kallingathodi, Z.; Ibnusaud, I.; Polavarapu, P.L. Dissymmetry Factor Spectral Analysis Can Provide Useful Diastereomer Discrimination: Chiral Molecular Structure of an Analogue of (−)-Crispine A. ACS Omega 2019, 4, 6154–6164. [Google Scholar] [CrossRef] [PubMed]
  77. Moreno, L.; Párraga, J.; Galán, A.; Cabedo, N.; Primo, J.; Cortes, D. Synthesis of new antimicrobial pyrrolo[2,1-a]isoquinolin-3-ones. Bioorganic Med. Chem. 2012, 20, 6589–6597. [Google Scholar] [CrossRef] [PubMed]
  78. Nanjappa, C.; Hanumanthappa, S.K.T.; Nagendrappa, G.; Ganapathy, P.S.S.; Shruthi, S.D.; More, S.S.; Jose, G.; Sowmya, H.B.V.; Kulkarni, R.S. Synthesis, ABTS-Radical Scavenging Activity, and Antiproliferative and Molecular Docking Studies of Novel Pyrrolo[1,2-a]quinoline Derivatives. Synth. Commun. 2015, 45, 2529–2545. [Google Scholar] [CrossRef]
  79. Lee, Y.S.; Kang, D.W.; Lee, S.J.; Park, H. Asymmetric Synthesis of Both Enantiomers of Pyrrolidinoisoquinoline Derivatives from L-Malic Acid and L-Tartaric Acid. J. Org. Chem. 1995, 60, 7149–7152. [Google Scholar] [CrossRef]
  80. Allin, S.M.; Northfield, C.J.; Page, M.I.; Slawin, A.M.Z. A facile and highly stereoselective approach to a polycyclic isoindolinone ring system via an N-acyliminium ion cyclization reaction. Tetrahedron Lett. 1998, 39, 4905–4908. [Google Scholar] [CrossRef]
  81. Molina, A.; Pascual-Escudero, A.; Adrio, J.; Carretero, J.C. Catalytic Asymmetric 1,3-Dipolar Cycloaddition/Hydroamination Sequence: Expeditious Access to Enantioenriched Pyrroloisoquinoline Derivatives. J. Org. Chem. 2017, 82, 11238–11246. [Google Scholar] [CrossRef]
  82. Kawai, N.; Matsuda, M.; Uenishi, J.I. Stereoselective synthesis of tetrahydroisoquinoline alkaloids: (−)-trolline, (+)-crispin A, (+)-oleracein E. Tetrahedron 2011, 67, 8648–8653. [Google Scholar] [CrossRef]
  83. Allin, S.M.; Gaskell, S.N.; Towler, J.M.R.; Page, P.C.B.; Saha, B.; McKenzie, M.J.; Martin, W.P. A New Asymmetric Synthesis of the Anti-Tumor Alkaloid (R)-(+)-Crispine A. J. Org. Chem. 2007, 72, 8972–8975. [Google Scholar] [CrossRef]
  84. Maryanoff, B.E.; Zhang, H.-C.; Cohen, J.H.; Turchi, I.J.; Maryanoff, C.A. Cyclizations of N-Acyliminium Ions. Chem. Rev. 2004, 104, 1431–1628. [Google Scholar] [CrossRef]
  85. Wijnberg, J.B.P.A.; Schoemaker, H.E.; Speckamp, W.N. A regioselective reduction of gem-disubstituted succinimides. Tetrahedron 1978, 34, 179–187. [Google Scholar] [CrossRef]
  86. Sunazuka, T.; Hirose, T.; Shirahata, T.; Harigaya, Y.; Hayashi, M.; Komiyama, K.; Ōmura, S.; Smith, A.B. Total Synthesis of (+)-Madindoline A and (−)-Madindoline B, Potent, Selective Inhibitors of Interleukin 6. Determination of the Relative and Absolute Configurations. J. Am. Chem. Soc. 2000, 122, 2122–2123. [Google Scholar] [CrossRef]
  87. Polavarapu, P.L.; Santoro, E.; Covington, C.L.; Johnson, J.L.; Puente, A.R.; Schley, N.D.; Kallingathodi, Z.; Prakasan, P.C.; Haleema, S.; Thomas, A.A.; et al. How important are the intermolecular hydrogen bonding interactions in methanol solvent for interpreting the chiroptical properties? Spectrochim. Acta Part A Mol. Biomol. Spectrosc. 2021, 247, 119094. [Google Scholar] [CrossRef] [PubMed]
  88. Khmelnitsky, Y.L.; Michels, P.C.; Cotterill, I.C.; Eissenstat, M.; Sunku, V.; Veeramaneni, V.R.; Cittineni, H.; Kotha, G.R.; Talasani, S.R.; Ramanathan, K.K.; et al. Biocatalytic Resolution of Bis-tetrahydrofuran Alcohol. Org. Process Res. Dev. 2011, 15, 279–283. [Google Scholar] [CrossRef]
  89. Quaedflieg, P.J.; Kesteleyn, B.R.; Wigerinck, P.B.; Goyvaerts, N.M.; Vijn, R.J.; Liebregts, C.S.; Kooistra, J.H.; Cusan, C. Stereoselective and Efficient Synthesis of (3R,3aS,6aR)-Hexahydrofuro[2,3-b]furan-3-ol. Org. Lett. 2005, 7, 5917–5920. [Google Scholar] [CrossRef] [PubMed]
  90. Canoy, W.L.; Cooley, B.E.; Corona, J.A.; Lovelace, T.C.; Millar, A.; Weber, A.M.; Xie, S.; Zhang, Y. Efficient Synthesis of (3R,3aS,6aR)- Hexahydrofuro[2,3-b]furan-3-ol from Glycolaldehyde. Org. Lett. 2008, 10, 1103–1106. [Google Scholar] [CrossRef]
  91. Ghosh, A.K.; Shin, D.; Swanson, L.; Krishnan, K.; Cho, H.; Hussain, K.A.; Walters, D.E.; Holland, L.; Buthod, J. Structure-based design of non-peptide HIV protease inhibitors. Il Farm. 2001, 56, 29–32. [Google Scholar] [CrossRef]
Figure 1. Optical isomers of HCA.
Figure 1. Optical isomers of HCA.
Symmetry 16 01331 g001
Figure 2. The lactonisation of (−)-HCA.
Figure 2. The lactonisation of (−)-HCA.
Symmetry 16 01331 g002
Figure 3. Important chiral hydroxy acids.
Figure 3. Important chiral hydroxy acids.
Symmetry 16 01331 g003
Figure 4. Naturally occurring compounds having bislactone moiety.
Figure 4. Naturally occurring compounds having bislactone moiety.
Symmetry 16 01331 g004
Scheme 1. Synthesis of chiral bislactone 81, an analogue of (−)-candensolide [35].
Scheme 1. Synthesis of chiral bislactone 81, an analogue of (−)-candensolide [35].
Symmetry 16 01331 sch001
Scheme 2. Synthesis of chiral bislactone 85, an analogue of (+)-avenaciolide [35].
Scheme 2. Synthesis of chiral bislactone 85, an analogue of (+)-avenaciolide [35].
Symmetry 16 01331 sch002
Scheme 3. A plausible mechanism for the formation of 86.
Scheme 3. A plausible mechanism for the formation of 86.
Symmetry 16 01331 sch003
Scheme 4. Conversion of diol 86 to iminosugar intermediate 88.
Scheme 4. Conversion of diol 86 to iminosugar intermediate 88.
Symmetry 16 01331 sch004
Figure 5. Naturally occurring Quararibea metabolite chiral enolic-γ-lactones.
Figure 5. Naturally occurring Quararibea metabolite chiral enolic-γ-lactones.
Symmetry 16 01331 g005
Scheme 5. Synthesis of chiral enolic-γ-lactones [36].
Scheme 5. Synthesis of chiral enolic-γ-lactones [36].
Symmetry 16 01331 sch005
Figure 6. Plausible mechanism for the formation of 91a–b [36].
Figure 6. Plausible mechanism for the formation of 91a–b [36].
Symmetry 16 01331 g006
Figure 7. Plausible mechanism for the formation of 93a–b [36].
Figure 7. Plausible mechanism for the formation of 93a–b [36].
Symmetry 16 01331 g007
Scheme 6. Synthesis of 3,4-disubstituted pyrrolidine-2,5-diones from bicyclic anhydride 82 [53].
Scheme 6. Synthesis of 3,4-disubstituted pyrrolidine-2,5-diones from bicyclic anhydride 82 [53].
Symmetry 16 01331 sch006
Scheme 7. Synthesis of 3-substituted pyrrolidine-2,5-diones from ester derivatives of 1 [53].
Scheme 7. Synthesis of 3-substituted pyrrolidine-2,5-diones from ester derivatives of 1 [53].
Symmetry 16 01331 sch007
Scheme 8. N-acyliminium cyclization involving unsymmetrical pyrrolidine-2,5-dione [53].
Scheme 8. N-acyliminium cyclization involving unsymmetrical pyrrolidine-2,5-dione [53].
Symmetry 16 01331 sch008
Scheme 9. Synthesis of tetrahydropyrrolo[2,1-a]isoquinones and furo[2,3-b]pyrroles [53].
Scheme 9. Synthesis of tetrahydropyrrolo[2,1-a]isoquinones and furo[2,3-b]pyrroles [53].
Symmetry 16 01331 sch009
Scheme 10. Synthesis of hexahydroindolizino[8,7-b]indolone and furo[2,3-b]pyrroles [53].
Scheme 10. Synthesis of hexahydroindolizino[8,7-b]indolone and furo[2,3-b]pyrroles [53].
Symmetry 16 01331 sch010
Figure 8. Natural product associated with furopyrrole structure.
Figure 8. Natural product associated with furopyrrole structure.
Symmetry 16 01331 g008
Scheme 11. List of furopyrroles synthesized from 1 [52].
Scheme 11. List of furopyrroles synthesized from 1 [52].
Symmetry 16 01331 sch011
Scheme 12. Synthesis of pyrroloisoquinolinone 39 from bicyclic anhydride 82 [53].
Scheme 12. Synthesis of pyrroloisoquinolinone 39 from bicyclic anhydride 82 [53].
Symmetry 16 01331 sch012
Scheme 13. Proposed mechanism for stereospecific deoxygenation [53].
Scheme 13. Proposed mechanism for stereospecific deoxygenation [53].
Symmetry 16 01331 sch013
Scheme 14. Synthesis of furo[2,3-b]furanol 43 [87].
Scheme 14. Synthesis of furo[2,3-b]furanol 43 [87].
Symmetry 16 01331 sch014
Table 1. Chemical compounds isolated from different parts of the plant Garcinia gummi-gutta.
Table 1. Chemical compounds isolated from different parts of the plant Garcinia gummi-gutta.
Structure & NamePlant PartBiological Activity
Major organic acids
Symmetry 16 01331 i001Isolated from the fruit [7,11]Inhibit the enzyme ATP citrate lyase
Polyisoprenylated Benzophenones
Symmetry 16 01331 i002Isolated from the peel [7,11]Anti-inflammatory, antioxidant, anticancer, antiparasitic, action in nervous system
Symmetry 16 01331 i003Isolated from the peel [7,11]Anti-inflammatory, antioxidant, anticancer, antiparasitic, action in nervous system
Symmetry 16 01331 i004Isolated from the fruit [7,11]Unknown
Symmetry 16 01331 i005Isolated from the fruit [7,11]Inhibitor of topoisomerase II
Symmetry 16 01331 i006Isolated from the fruit [7,11]Inhibitor of topoisomerase II
Xanthones
Symmetry 16 01331 i007Isolated from the root [7,11]Inhibition of α-glucosidase
Symmetry 16 01331 i008Isolated from the peel [7,11]Unknown
Symmetry 16 01331 i009Isolated from the fruit [7,11]Unknown
Symmetry 16 01331 i010Isolated from the fruit [7,11]Unknown
Symmetry 16 01331 i011 Isolated from the fruit [7,11] Unknown
Symmetry 16 01331 i012 Isolated from the fruit [7,11] Unknown
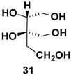
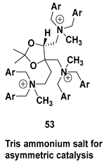
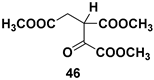
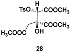
Table 2. Select significant compounds prepared from 1 and their relevant applications.
Table 2. Select significant compounds prepared from 1 and their relevant applications.
Structure of the CompoundApplications
(Relevant Properties of the Derived Compounds)
Symmetry 16 01331 i013Chiral synthon, building block used for the synthesis of pharmacologically important natural products like substituted indolizines and other heterocyclic scaffolds
Symmetry 16 01331 i014Chiral synthon, building block used for the synthesis of pharmacologically important natural products like substituted indolizines and other heterocyclic scaffolds
Symmetry 16 01331 i015Chiral intermediate for the synthesis of trisammonium salt for asymmetric catalysis
Symmetry 16 01331 i016Chiral intermediate for the synthesis of iminosugars
Symmetry 16 01331 i017Chiral intermediate for the synthesis of chiral catalysts
Symmetry 16 01331 i018Chiral pyrrolidine diones, a common structural subunit found in a variety of natural and unnatural bioactive compounds
Symmetry 16 01331 i019Chiral pyrrolidine diones, a common structural subunit found in a variety of natural and unnatural bioactive compounds
Symmetry 16 01331 i020Chiral building blocks used for the syntheses of compounds having potent inhibitory activities against purine nucleoside phosphorylases, aldose reductase inhibitors, antibacterial activity etc.
Symmetry 16 01331 i021Pyrrolo[2,1-a]isoquinoline alkaloid, an analogue of naturally occurring anti-tumor agent (−)-crispine A
Symmetry 16 01331 i022Indolizino[8,7-b]indole alkaloid, an analogue of naturally occurring (−)-harmicine, known for its antileishmanial and antinociceptive activities
Symmetry 16 01331 i023Furo[2,3-b]pyrrolo skeleton, a rare class of concave cis-fused bicyclic nitrogen and oxygen heterocycles, subunit in complex natural products like millingtonine A, madindoline, as well as in several synthetic drugs
Symmetry 16 01331 i024Pyrrolo[2,1-a]isoquinoline alkaloid, fundamental structural component of many synthetic and biologically active compounds
Symmetry 16 01331 i025Chiral intermediate
Symmetry 16 01331 i026Chiral intermediate for the synthesis of bis-tetrahydrofuran (bis-THF) alcohol moiety found in the structure of HIV protease inhibitors (PIs) like Darunavir, Brecanavir, GS-9005, and SPI-256
Symmetry 16 01331 i027Weinreb amide derivative, Chiral intermediate for the synthesis of bis-tetrahydrofuran (bis-THF) alcohol moiety found in the structure of HIV protease inhibitors (PIs) like Darunavir, Brecanavir, GS-9005, and SPI-256
Symmetry 16 01331 i028Furo[2,3-b]furanol, part of anti-HIV drug Darunavir, Brecanavir, GS-9005, and SPI-256
Symmetry 16 01331 i029Chiral synthon
Symmetry 16 01331 i030Weinreb amide derivative, chiral intermediate
Symmetry 16 01331 i031Chiral intermediate
Symmetry 16 01331 i032Chiral intermediate
Symmetry 16 01331 i033Biologically and functionally important substituted indolizine
Table 3. Significant synthons and natural products that can be synthesised from 1.
Table 3. Significant synthons and natural products that can be synthesised from 1.
Symmetry 16 01331 i034
[40]
Symmetry 16 01331 i035
[40,41]
Symmetry 16 01331 i036
[42]
Symmetry 16 01331 i037
[43]
Symmetry 16 01331 i038
[44]
Symmetry 16 01331 i039
[45,46,47]
Symmetry 16 01331 i040
[48]
Symmetry 16 01331 i041
[49,50]
Symmetry 16 01331 i042
[51]
Symmetry 16 01331 i043
[51]
Symmetry 16 01331 i044
[52]
Symmetry 16 01331 i045
[53]
Symmetry 16 01331 i046
[53]
Symmetry 16 01331 i047
[53]
Symmetry 16 01331 i048
[53]
Symmetry 16 01331 i049
[53]
Symmetry 16 01331 i050
[53]
Symmetry 16 01331 i051
[54]
Symmetry 16 01331 i052
[54]
Symmetry 16 01331 i053
[53,55]
Symmetry 16 01331 i054
[53]
Symmetry 16 01331 i055
[51]
Symmetry 16 01331 i056
[51]
Symmetry 16 01331 i057
[51,56,57]
Disclaimer/Publisher’s Note: The statements, opinions and data contained in all publications are solely those of the individual author(s) and contributor(s) and not of MDPI and/or the editor(s). MDPI and/or the editor(s) disclaim responsibility for any injury to people or property resulting from any ideas, methods, instructions or products referred to in the content.

Share and Cite

MDPI and ACS Style

Haleema, S.; Gopinath, C.; Kallingathodi, Z.; Thomas, G.; Polavarapu, P.L. Medicinally Significant Enantiopure Compounds from Garcinia Acid Isolated from Garcinia gummi-gutta. Symmetry 2024, 16, 1331. https://doi.org/10.3390/sym16101331

AMA Style

Haleema S, Gopinath C, Kallingathodi Z, Thomas G, Polavarapu PL. Medicinally Significant Enantiopure Compounds from Garcinia Acid Isolated from Garcinia gummi-gutta. Symmetry. 2024; 16(10):1331. https://doi.org/10.3390/sym16101331

Chicago/Turabian Style

Haleema, Simimole, Chithra Gopinath, Zabeera Kallingathodi, Grace Thomas, and Prasad L. Polavarapu. 2024. "Medicinally Significant Enantiopure Compounds from Garcinia Acid Isolated from Garcinia gummi-gutta" Symmetry 16, no. 10: 1331. https://doi.org/10.3390/sym16101331

APA Style

Haleema, S., Gopinath, C., Kallingathodi, Z., Thomas, G., & Polavarapu, P. L. (2024). Medicinally Significant Enantiopure Compounds from Garcinia Acid Isolated from Garcinia gummi-gutta. Symmetry, 16(10), 1331. https://doi.org/10.3390/sym16101331

Note that from the first issue of 2016, this journal uses article numbers instead of page numbers. See further details here.

Article Metrics

Back to TopTop