Langmuir Forcing and Collapsing Subsonic Density Cavitons via Random Modulations
Abstract
1. Introduction
- (i)
- is a continuous function of t, denotes the time and .
- (ii)
- and are independent for .
- (iii)
- has a normal distribution with a mean and variance of zero and , respectively, i.e., , is a standard normal distribution.
2. Description of the Method
- Family 1:
- Family 2:
- Family 3:
3. Subsonic Limit Description
4. Closed-Form Solutions
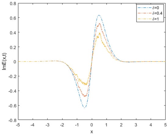
5. Discussion of Results
6. Conclusions
Author Contributions
Funding
Data Availability Statement
Conflicts of Interest
References
- Musher, S.L.; Rubenchik, A.M.; Zakharov, V.E. Weak Langmuir turbulence. Phys. Rep. 1995, 252, 178–274. [Google Scholar]
- Briand, C. Langmuir waves across the heliosphere. J. Plasma Phys. 2015, 81, 325810204. [Google Scholar]
- Thejappa, G.; MacDowall, R.J. STEREO observations of non-linear plasma processes in solar type III radio bursts. In Journal of Physics: Conference Series; IOP Publishing: Bristol, UK, 2018; Volume 1100, p. 012026. [Google Scholar]
- Alharbi, A.; Almatrafi, M.B.; Abdelrahman, M.A.E. Analytical and numerical investigation for Kadomtsev–Petviashvili equation arising in plasma physics. Phys. Scr. 2020, 95, 045215. [Google Scholar]
- Baskonus, H.M.; Bulut, H. New wave behaviors of the system of equations for the ion sound and Langmuir Waves. Waves Random Complex Media 2016, 26, 613–625. [Google Scholar]
- Shakeel, M.; Iqbal, M.A.; Din, Q.; Hassan, Q.M.; Ayub, K. New exact solutions for coupled nonlinear system of ion sound and Langmuir waves. Indian J. Phys. 2020, 94, 885–894. [Google Scholar]
- Fedorov, V.E.; Du, W.S.; Turov, M.M. On the unique solvability of incomplete Cauchy type problems for a class of multi-term equations with the Riemann-Liouville derivatives. Symmetry 2022, 14, 75. [Google Scholar]
- Yamaguchi, R. Analysis of electro-optical behavior in liquid crystal cells with asymmetric anchoring strength. Symmetry 2022, 14, 85. [Google Scholar]
- Alharbi, A.; Almatrafi, M.B. New exact and numerical solutions with their stability for Ito integro-differential equation via Riccati–Bernoulli sub-ODE method. J. Taibah Univ. Sci. 2020, 14, 1447–1456. [Google Scholar]
- Paul, A.; Bandyopadhyay, A. Ion acoustic solitons, double layers and supersolitons in a collisionless unmagnetized plasma consisting of nonthermal electrons and isothermal positrons. Indian J. Phys. 2018, 92, 1187–1198. [Google Scholar]
- Abdelrahman, M.A.E.; Sohaly, M.A. The development of the deterministic nonlinear PDEs in particle physics to stochastic case. Results Phys. 2018, 9, 344–350. [Google Scholar]
- Alharbi, Y.F.; Abdelrahman, M.A.E.; Sohaly, M.A.; Ammar, S.I. Disturbance solutions for the long-short-ave interaction system using bi-random Riccati-Bernoulli sub-ODE method. J. Taibah Univ. Sci. 2020, 14, 500–506. [Google Scholar] [CrossRef]
- Alharbi, Y.F.; Sohaly, M.A.; Abdelrahman, M.A.E. New stochastic solutions for a new extension of nonlinear Schrödinger equation. Pramana. J. Phys. 2021, 95, 157. [Google Scholar]
- Alharbi, Y.F.; Sohaly, M.A.; Abdelrahman, M.A.E. Fundamental solutions to the stochastic perturbed nonlinear Schrödinger’s equation via gamma distribution. Results Phys. 2021, 25, 104249. [Google Scholar]
- Liu, Y.; Xu, K.; Li, J.; Guo, Y.; Zhang, A.; Chen, Q. Millimeter-Wave E-Plane Waveguide Bandpass Filters Based on Spoof Surface Plasmon Polaritons. IEEE Trans. Microw. Theory Tech. 2022, 70, 4399–4409. [Google Scholar]
- Xu, K.; Guo, Y.; Liu, Y.; Deng, X.; Chen, Q.; Ma, Z. 60-GHz Compact Dual-Mode On-Chip Bandpass Filter Using GaAs Technology. IEEE Electron Device Lett. 2021, 42, 1120–1123. [Google Scholar]
- Iqbal, M.; Seadawy, A.R.; Lu, D. Construction of solitary wave solutions to the nonlinear modified Kortewege-de Vries dynamical equation in unmagnetized plasma via mathematical methods. Mod. Phys. Lett. A 2018, 33, 1850183. [Google Scholar]
- Lu, D.; Seadawy, A.R.; Iqbal, M. Mathematical methods via construction of traveling and solitary wave solutions of three coupled system of nonlinear partial differential equations and their applications. Results Phys. 2018, 11, 1161–1171. [Google Scholar]
- Iqbal, M.; Seadawy, A.R.; Lu, D. Dispersive solitary wave solutions of nonlinear further modified Korteweg–de Vries dynamical equation in an unmagnetized dusty plasma. Mod. Phys. Lett. A 2018, 33, 1850217. [Google Scholar]
- Iqbal, M.; Seadawy, A.R.; Althobaiti, S. Mixed soliton solutions for the (2+1)-dimensional generalized breaking soliton system via new analytical mathematical method. Results Phys. 2022, 32, 105030. [Google Scholar]
- Alharbi, A.; Almatrafi, M.B. Exact solitary wave and numerical solutions for geophysical KdV equation. J. King Saud Univ.-Sci. 2022, 34, 102087. [Google Scholar]
- Almatrafi, M.B.; Alharbi, A.; Tunç, C. Constructions of the soliton solutions to the good Boussinesq equation. Adv. Differ. Equ. 2020, 2020, 629. [Google Scholar] [CrossRef]
- Tass, P.A. Phase Resetting in Medicine and Biology: Stochastic Modelling and Data Analysis; Springer: Berlin, Germany, 1999. [Google Scholar]
- Ribeiro, M.S.; Nobre, F.D.; Curado, E.M.F. Overdamped motion of interacting particles in general confining potentials: Time-dependent and stationary-state analysis. Eur. Phys. J. B 2012, 85, 399. [Google Scholar] [CrossRef]
- Stroock, D.W. Markov Processes from K. Itô’s Perspective; Princeton University Press: Princeton, NJ, USA, 2003; Volume 155. [Google Scholar]
- Ali, K.K.; Yilmazer, R.; Baskonus, H.M.; Bulut, H. Modulation instability analysis and analytical solutions to the system of equations for the ion sound and Langmuir waves. Phys. Scr. 2020, 95, 065602. [Google Scholar] [CrossRef]
- Alkhidhr, H.A.; Abdelwahed, H.G.; Abdelrahman, M.A.E.; Alghanimb, S. Some solutions for a stochastic NLSE in the unstable and higher order dispersive environments. Results Phys. 2022, 34, 105242. [Google Scholar] [CrossRef]
- Eliasson, B.; Shukla, P.K. Trapping of Langmuir waves in ion holes. Phys. Scr. 2004, T107, 192–199. [Google Scholar] [CrossRef]
- Lundin, R.; Haerendel, G.; Grahn, S. The freja project. Geophys. Res. Lett. 1994, 21, 1823–1826. [Google Scholar] [CrossRef]
- Dombrowski, M.P.; LaBelle, J.; Kletzing, C.A.; Bounds, S.R.; Cairns, I.H.; Kaeppler, S.R. Statistical study of electron bunching in auroral Langmuir waves. J. Geophys. Res. Space Phys. 2019, 124, 5956–5975. [Google Scholar] [CrossRef]
- Hess, S.L.G.; Malaspina, D.M.; Ergun, R.E. Growth of the Langmuir cavity eigenmodes in the solar wind. J. Geophys. Res. 2010, 115, A10103. [Google Scholar] [CrossRef]
- Hess, S.L.G.; Malaspina, D.M.; Ergun, R.E. Size and amplitude of Langmuir waves in the solar wind. J. Geophys. Res. 2011, 116, A07104. [Google Scholar] [CrossRef]
- Karatzas, I.; Shreve, S.E. Brownian Motion and Stochastic Calculus, 2nd ed.; Springer: Berlin, Germany, 1991. [Google Scholar]
- Caraballo, T.; Ngoc, T.B.; Thach, T.N.; Tuan, N.H. On a stochastic nonclassical diffusion equation with standard and fractional Brownian motion. Stoch. Dyn. 2022, 22, 2140011. [Google Scholar] [CrossRef]
- Pandey, B.P.; Vranješ, J.; Parhi, S. Thermal condensation mode in a dusty plasma. Pramana-J. Phys. 2003, 60, 491–498. [Google Scholar] [CrossRef]
- Pandey, B.P.; Krishan, V.; Roy, M. Effect of radiative cooling on collapsing charged grains. Pramana-J. Phys. 2001, 56, 95–105. [Google Scholar] [CrossRef]
- Mokhtari, R.; Fakouriyan, S.; Ghasempour, R. Investigating the effect of cloud cover on radiative cooling potential with artificial neural network. Front. Energy Res. 2021, 9, 658338. [Google Scholar] [CrossRef]
- Shukla, P.K.; Sandberg, I. Radiation-condensation instability in a self-gravitating dusty astrophysical plasma. Phys. Rev. E 2003, 67, 036401. [Google Scholar] [CrossRef] [PubMed]
- Wen, S.; Mao, X.; Liu, C.; Greif, R.; Russo, R. Expansion and radiative cooling of the laser induced plasma. J. Phys. Conf. Ser. 2007, 59, 343–347. [Google Scholar] [CrossRef]
- Zeldovich, Y.B.; Raizer, Y.P. Physics of Shock Waves and High-Temperature Hydrodynamic Phenomena; Hayes, W.D., Probstein, R.F., Eds.; Academic Press: London, UK, 1966. [Google Scholar]
- Tian, B.; Ramanathan, V. A Simple Moist Tropical Atmosphere Model: The Role of Cloud Radiative Forcing. J. Clim. 2003, 16, 2086. [Google Scholar] [CrossRef]
- Prajapati, R.P.; Bhakta, S. Radiative-condensation instability in gravitating strongly coupled dusty plasma with polarization force. Astrophys. Space Sci. 2015, 357, 101. [Google Scholar] [CrossRef]
- Prajapati, R.P.; Chhajlani, R.K. Effect of dust temperature on radiative condensation instability of self-gravitating magnetized dusty plasma. Phys. Scr. 2010, 81, 045501. [Google Scholar] [CrossRef]
- Bruintjes, R.T. A review of cloud seeding experiments to enhance precipitation and some new prospects. Bull. Am. Meteorol. Soc. 1999, 5, 805–820. [Google Scholar] [CrossRef]
- Orville, H.D. A review of cloud modeling in weather modification. Bull. Am. Meteorol. Soc. 1996, 77, 1535–1555. [Google Scholar] [CrossRef]
- Zheng, W.; Xue, F.; Zhang, M.; Wu, Q.; Yang, Z.; Ma, S.; Liang, H.; Wang, C.; Wang, Y.; Ai, X.; et al. Charged Particle (Negative Ion)-Based Cloud Seeding and Rain Enhancement Trial Design and Implementation. Water 2020, 12, 1644. [Google Scholar] [CrossRef]
- El-Shewy, E.K.; Alharbi, Y.F.; Abdelrahman, M.A.E. On the dynamical stochastic electrostatic noise fluctuations in Zakharov model. Chaos Solitons Fractals 2023, 170, 113324. [Google Scholar] [CrossRef]
- Abdelwahed, H.G.; Alsarhana, A.F.; El-Shewy, E.K.; Abdelrahman, M.A.E. Dynamical energy effects in subsonic collapsing electrostatic Langmuir soliton. Phys. Fluids 2023, 35, 037129. [Google Scholar] [CrossRef]
- Manafian, J. Application of the ITEM for the system of equations for the ion sound and Langmuir waves. Opt. Quantum Electron. 2017, 49, 17. [Google Scholar] [CrossRef]
- Kumar, A.; Pankaj, R.D. Tanh-coth scheme for traveling wave solutions for nonlinear wave interaction model. J. Egypt. Math. Soc. 2015, 23, 282–285. [Google Scholar] [CrossRef]
- Tripathy, A.; Sahoo, S. Exact solutions for the ion sound Langmuir wave model by using two novel analytical methods. Results Phys. 2020, 19, 103494. [Google Scholar] [CrossRef]
- Alomair, R.A.; Hassan, S.Z.; Abdelrahman, M.A.E. A new structure of solutions to the coupled nonlinear Maccari’s systems in plasma physics. AIMS Math. 2022, 7, 8588–8606. [Google Scholar] [CrossRef]












Disclaimer/Publisher’s Note: The statements, opinions and data contained in all publications are solely those of the individual author(s) and contributor(s) and not of MDPI and/or the editor(s). MDPI and/or the editor(s) disclaim responsibility for any injury to people or property resulting from any ideas, methods, instructions or products referred to in the content. |
© 2023 by the authors. Licensee MDPI, Basel, Switzerland. This article is an open access article distributed under the terms and conditions of the Creative Commons Attribution (CC BY) license (https://creativecommons.org/licenses/by/4.0/).
Share and Cite
Azzam, M.A.; Abdelwahed, H.G.; El-Shewy, E.K.; Abdelrahman, M.A.E. Langmuir Forcing and Collapsing Subsonic Density Cavitons via Random Modulations. Symmetry 2023, 15, 1558. https://doi.org/10.3390/sym15081558
Azzam MA, Abdelwahed HG, El-Shewy EK, Abdelrahman MAE. Langmuir Forcing and Collapsing Subsonic Density Cavitons via Random Modulations. Symmetry. 2023; 15(8):1558. https://doi.org/10.3390/sym15081558
Chicago/Turabian StyleAzzam, Maged A., H. G. Abdelwahed, Emad K. El-Shewy, and Mahmoud A. E. Abdelrahman. 2023. "Langmuir Forcing and Collapsing Subsonic Density Cavitons via Random Modulations" Symmetry 15, no. 8: 1558. https://doi.org/10.3390/sym15081558
APA StyleAzzam, M. A., Abdelwahed, H. G., El-Shewy, E. K., & Abdelrahman, M. A. E. (2023). Langmuir Forcing and Collapsing Subsonic Density Cavitons via Random Modulations. Symmetry, 15(8), 1558. https://doi.org/10.3390/sym15081558

