Cheaper, Wide-Band, Ultra-Thin, and Multi-Purpose Single-Layer Metasurface Polarization Converter Design for C-, X-, and Ku-Band Applications
Abstract
:1. Introduction
2. Design, Theory, and Analysis
2.1. Design Parameters and Theory
2.2. Geometrical Analysis
3. Simulation Results
3.1. Dimensional Analysis
3.2. Surface Current Analysis
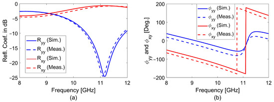
4. Experimental Results
5. Comparison
6. Conclusions
Funding
Institutional Review Board Statement
Informed Consent Statement
Data Availability Statement
Conflicts of Interest
References
- Khan, M.I.; Khalid, Z.; Tahir, F.A. Linear and circular-polarization conversion in X-band using anisotropic metasurface. Sci. Rep. 2019, 9, 4552. [Google Scholar] [CrossRef] [PubMed]
- Ozturk, G. Ultra-thin, wide-angle and bandwidth-enhanced linear and circular metasurface-based reflection-type polarization converter at X-band microwave frequency. J. Electromagn. Waves Appl. 2022, 36, 1423–1435. [Google Scholar] [CrossRef]
- Nguyen, T.K.T.; Nguyen, T.M.; Nguyen, H.Q.; Cao, T.N.; Le, D.T.; Bui, X.K.; Bui, S.T.; Truong, C.L.; Vu, D.L.; Nguyen, T.Q.H. Simple design of efficient broadband multifunctional polarization converter for X-band applications. Sci. Rep. 2021, 11, 2032. [Google Scholar] [CrossRef] [PubMed]
- Huang, X.J.; Yang, H.L.; Zhang, D.H.; Luo, Y. Ultrathin dual-band metasurface polarization converter. IEEE Trans. Antennas Propag. 2019, 67, 4636–4641. [Google Scholar] [CrossRef]
- Rotshild, D.; Abramovich, A. Ultra-wideband reconfigurable X-band and Ku-band metasurface beam-steerable reflector for satellite communications. Electronics 2021, 10, 2165. [Google Scholar] [CrossRef]
- Dong, J.; Ding, C.; Mo, J.J. A low-profile wideband linear-to-circular polarization conversion slot antenna using metasurface. Materials 2020, 13, 1164. [Google Scholar] [CrossRef]
- Martinez-de-Rioja, E.; Martinez-de-Rioja, D.; López-Sáez, R.; Linares, I.; Encinar, J.A. High-efficiency polarizer reflectarray antennas for data transmission links from a CubeSat. Electronics 2021, 10, 1802. [Google Scholar] [CrossRef]
- Shukoor, M.A.; Dey, S. Broadband linear-cross reflective type polarization converter for X and Ku-band applications. In Proceedings of the 2020 International Symposium on Antennas & Propagation (APSYM), Cochin, India, 14–16 December 2020; p. 20466548. [Google Scholar]
- Dutta, R.; Ghosh, J.; Yang, Z.B.; Zhang, X.Q. Multi-band multi-functional metasurface-based reflective polarization converter for linear and circular polarizations. IEEE Access 2021, 9, 152738–152748. [Google Scholar] [CrossRef]
- Mutlu, M.; Ozbay, E. A transparent 90∘ polarization rotator by combining chirality and electromagnetic wave tunneling. Appl. Phys. Lett. 2012, 100, 051909. [Google Scholar] [CrossRef]
- Pouyanfar, N.; Nourinia, J.; Ghobadi, C. Multiband and multifunctional polarization converter using an asymmetric metasurface. Sci. Rep. 2021, 11, 9306. [Google Scholar] [CrossRef]
- Baghel, A.K.; Kulkarni, S.S.; Nayak, S.K. Linear-to-cross-polarization transmission converter using ultrathin and smaller periodicity metasurface. IEEE Antennas Wirel. Propag. Lett. 2019, 18, 1433–1437. [Google Scholar] [CrossRef]
- Xu, J.; Li, R.Q.; Wang, S.Y.; Han, T.C. Ultra-broadband linear polarization converter based on anisotropic metasurface. Opt. Express 2018, 26, 26235–26241. [Google Scholar] [CrossRef]
- Yang, W.C.; Meng, Q.; Che, W.Q.; Gu, L.Z.; Xue, Q. Low-profile wideband dual-circularly polarized metasurface antenna array with large beamwidth. IEEE Antennas Wirel. Propag. Lett. 2018, 17, 1613–1616. [Google Scholar] [CrossRef]
- Baena, J.D.; Glybovski, S.B.; del Risco, J.P.; Slobozhanyuk, A.P.; Belov, P.A. Broadband and thin linear-to-circular polarizers based on self-complementary zigzag metasurfaces. IEEE Trans. Antennas Propag. 2017, 65, 4124–4133. [Google Scholar] [CrossRef]
- Karamirad, M.; Ghobadi, C.; Nourinia, J. Metasurfaces for wideband and efficient polarization rotation. IEEE Trans. Antennas Propag. 2021, 69, 1799–1804. [Google Scholar] [CrossRef]
- Lin, B.Q.; Huang, W.Z.; Yang, Y.S.; Guo, J.X.; Lv, L.T.; Zhang, J.T. An ultra-wideband polarization conversion metasurface for RCS reduction. J. Electromagn. Waves Appl. 2022, 36, 597–606. [Google Scholar] [CrossRef]
- Loncǎr, J.; Grbic, A.; Hrabar, S. A reflective polarization converting metasurface at X-band frequencies. IEEE Trans. Antennas Propag. 2018, 66, 3213–3218. [Google Scholar] [CrossRef]
- Wang, M.J.; Zhai, Z.Z. Wide-angle circular polarization converter based on a metasurface of Z-shaped unit cells. Front. Phys. 2020, 8, 527394. [Google Scholar] [CrossRef]
- Jiang, Y.N.; Zhao, H.P.; Wang, L.; Wang, J.; Cao, W.P.; Wang, Y.Y. Broadband linear-to-circular polarization converter based on phosphorene metamaterial. Opt. Mater. Express 2019, 9, 2088–2097. [Google Scholar] [CrossRef]
- Lin, B.Q.; Da, X.Y.; Wu, J.L.; Li, W.; Fang, Y.W.; Zhu, Z.H. Ultra-wideband and high-efficiency cross polarization converter based on anisotropic metasurface. Microwaves Opt. Technol. Lett. (MOP) 2016, 58, 2402–2405. [Google Scholar] [CrossRef]
- Ran, Y.Z.; Shi, L.H.; Wang, J.B.; Wang, S.B.; Wang, G.M.; Liang, J.G. Ultra-wideband linear-to-circular polarization with ellipse-shaped metasurfaces. Opt. Commun. 2019, 451, 124–128. [Google Scholar] [CrossRef]
- Jiang, Y.N.; Wang, L.; Wang, J.; Akwuruoha, C.N.; Cao, W.P. Ultra-wideband high-efficiency reflective linear-to-circular polarization converter based on metasurface at terahertz frequencies. Opt. Express 2017, 25, 27616–27623. [Google Scholar] [CrossRef] [PubMed]
- Khan, B.; Kamal, B.; Ullah, S.; Abdullah; Ali, H.; Ullah, R. Asymmetric polarization converting metasurface for microwave applications. Opt. Mater. Express 2022, 12, 3403–3415. [Google Scholar] [CrossRef]
- Ozturk, G.; Hasar, U.C.; Bute, M.; Ertugrul, M. Determination of constitutive parameters of strong-coupled bianisotropic metamaterials using oblique incidence scattering parameters. IEEE Trans. Antennas Propag. 2021, 69, 918–927. [Google Scholar] [CrossRef]
- Khan, B.; Kamal, B.; Ullah, S.; Khan, I.; Shah, J.A.; Chen, J.D. Design and experimental analysis of dual-band polarization converting metasurface for microwave applications. Sci. Rep. 2020, 10, 15393. [Google Scholar] [CrossRef]
- Hasar, U.C.; Kaya, Y.; Ozturk, H.; Izginli, M.; Ertugrul, M.; Barroso, J.J.; Ramahi, O.M. Improved method for permittivity determination of dielectric samples by free-space measurements. IEEE Trans. Instrum. Meas. 2022, 71, 6002108. [Google Scholar] [CrossRef]
- Engen, G.F.; Hoer, C.A. Thru-reflect-line: An improved technique for calibrating the dual six-port automatic network analyzer. IEEE Trans. Microw. Theory Tech. 1979, 27, 987–993. [Google Scholar] [CrossRef]
- Hasar, U.C.; Ozturk, G.; Kaya, Y.; Ertugrul, M. Calibration-free time-domain free-space permittivity extraction technique. IEEE Trans. Antennas Propag. 2022, 70, 1565–1568. [Google Scholar] [CrossRef]
- Hasar, U.C.; Kaya, Y.; Ozturk, H.; Izginli, M.; Barroso, J.J.; Ramahi, O.M.; Ertugrul, M. Complex permittivity and thickness evaluation of low-loss dielectrics from uncalibrated free-space time-domain measurements. IEEE Trans. Geosci. Remote Sens. 2022, 60, 4702410. [Google Scholar] [CrossRef]
- Umari, M.H.; Ghodgaonkar, D.K.; Varadan, V.V.; Varadan, V.K. A free-space bistatic calibration technique for the measurement of parallel and perpendicular reflection coefficients of planar samples. IEEE Trans. Instrum. Meas. 1991, 40, 19–24. [Google Scholar] [CrossRef]
- Hasar, U.C.; Muratoglu, A.; Bute, M.; Barroso, J.J.; Ertugrul, M. Effective constitutive parameters retrieval method for bianisotropic metamaterials using waveguide measurements. IEEE Trans. Microw. Theory Tech. 2017, 65, 1488–1497. [Google Scholar] [CrossRef]
- Nguyen, T.Q.H.; Nguyen, T.K.T.; Nguyen, T.Q.M.; Cao, T.N.; Phan, H.L.; Luong, N.M.; Le, D.T.; Bui, X.K.; Truong, C.L.; Vu, D.L. Simple design of a wideband and wide-angle reflective linear polarization converter based on crescent-shaped metamaterial for Ku-band applications. Opt. Commun. 2021, 486, 126773. [Google Scholar] [CrossRef]
- Yang, X.K.; Ding, Z.; Zhang, Z.P. Broadband linear polarization conversion across complete Ku band based on ultrathin metasurface. AEU Int. J. Electron. Commun. 2021, 138, 153884. [Google Scholar] [CrossRef]
- Zheng, Q.; Guo, C.J.; Li, H.X.; Ding, J. Broadband radar cross-section reduction using polarization conversion metasurface. Int. J. Microw. Wirel. Technol. 2018, 10, 197–206. [Google Scholar] [CrossRef]
- Kamal, B.; Chen, J.D.; Yin, Y.Z.; Ren, J.; Ullah, S.; Ali, U. Design and experimental analysis of dual-band polarization converting metasurface. IEEE Antennas Wirel. Propag. Lett. 2021, 20, 1409–1413. [Google Scholar] [CrossRef]
- Zheng, Q.; Guo, C.J.; Vandenbosch, G.A.E.; Yuan, P.L.; Ding, J. Dual-broadband highly efficient reflective multi-polarisation converter based on multi-order plasmon resonant metasurface. IET Microwaves Antennas Propag. 2020, 14, 967–972. [Google Scholar] [CrossRef]
- Zheng, Q.; Guo, C.J.; Ding, J. Wideband metasurface-based reflective polarization converter for linear-to-linear and linear-to-circular polarization conversion. IEEE Antennas Wirel. Propag. Lett. 2018, 17, 1459–1463. [Google Scholar] [CrossRef]











| L | r | a | g | d | t |
|---|---|---|---|---|---|
| 8 | 3.85 | 2 | 0.4 | 1.6 | 0.035 |
| Study | Operation Bandwidth [GHz] | Conversion | Angle | Substrate Thickness | Substrate Type | PCR Efficiency |
|---|---|---|---|---|---|---|
| [33] | 12–18 | LP-LP | 45 | 1.6 mm (0.064) | FR-4 | 90% |
| [34] | 11.90–18.05 | LP-LP | 45 | 1.5 mm (0.059) | F4-B | 90% |
| [35] | 9.24–17.64 | LP-LP | 30 | 2 mm (0.061) | FR-4 | 90% |
| [36] | 5.4–9.0 14.6–16.1 | LP-LP | NA | 3.2 mm (0.057) | RO4003 | 93% |
| [37] | 7.74–14.44 14.95–17.35 | LP-LP LP-CP | 30 | 3 mm (0.077) | FR-4 | 90% |
| [38] | 6.53–12.07 13.7–15.6 | LP-LP LP-CP | 45 | 3.1 mm (0.067) | FR-4 | 88% |
| The Suggested Study | 6.46–6.78 7.28–9.40 10.52–11.85 13.38–15.19 16.49–17.37 | LP-LP LP-CP LP-LP LP-CP LP-LP | 45 | 1.6 mm (0.034) | FR-4 | 90% |
Disclaimer/Publisher’s Note: The statements, opinions and data contained in all publications are solely those of the individual author(s) and contributor(s) and not of MDPI and/or the editor(s). MDPI and/or the editor(s) disclaim responsibility for any injury to people or property resulting from any ideas, methods, instructions or products referred to in the content. |
© 2023 by the author. Licensee MDPI, Basel, Switzerland. This article is an open access article distributed under the terms and conditions of the Creative Commons Attribution (CC BY) license (https://creativecommons.org/licenses/by/4.0/).
Share and Cite
Kaya, Y. Cheaper, Wide-Band, Ultra-Thin, and Multi-Purpose Single-Layer Metasurface Polarization Converter Design for C-, X-, and Ku-Band Applications. Symmetry 2023, 15, 442. https://doi.org/10.3390/sym15020442
Kaya Y. Cheaper, Wide-Band, Ultra-Thin, and Multi-Purpose Single-Layer Metasurface Polarization Converter Design for C-, X-, and Ku-Band Applications. Symmetry. 2023; 15(2):442. https://doi.org/10.3390/sym15020442
Chicago/Turabian StyleKaya, Yunus. 2023. "Cheaper, Wide-Band, Ultra-Thin, and Multi-Purpose Single-Layer Metasurface Polarization Converter Design for C-, X-, and Ku-Band Applications" Symmetry 15, no. 2: 442. https://doi.org/10.3390/sym15020442
APA StyleKaya, Y. (2023). Cheaper, Wide-Band, Ultra-Thin, and Multi-Purpose Single-Layer Metasurface Polarization Converter Design for C-, X-, and Ku-Band Applications. Symmetry, 15(2), 442. https://doi.org/10.3390/sym15020442

