K2CdGe3S8: A New Infrared Nonlinear Optical Sulfide
Abstract
1. Introduction
2. Experiment Section
2.1. Synthesis
2.2. Single-Crystal X-ray Diffraction (XRD) Analysis
2.3. Powder XRD Analysis
2.4. Energy-Dispersive X-ray Spectroscopy (EDS) Analysis
2.5. IR and UV-Vis-NIR Diffuse-Reflectance Spectroscopy
2.6. Powder SHG and LIDT Measurements
2.7. Computational Methods
3. Results and Discussion
3.1. Crystal Structure
3.2. Optical Properties
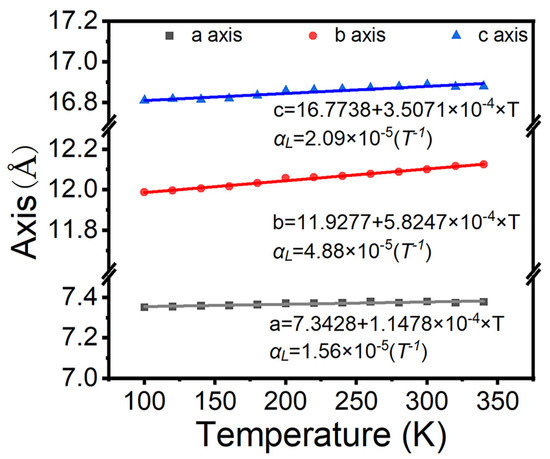
3.3. SHG and LIDT Properties
3.4. Electronic Structure and NLO Coefficient Calculations
4. Conclusions
Author Contributions
Funding
Data Availability Statement
Conflicts of Interest
References
- Liang, F.; Kang, L.; Lin, Z.; Wu, Y. Mid-Infrared Nonlinear Optical Materials Based on Metal Chalcogenides: Structure–Property Relationship. Cryst. Growth Des. 2017, 17, 2254–2289. [Google Scholar] [CrossRef]
- Julià-López, A.; Hernando, J.; Ruiz-Molina, D.; González-Monje, P.; Sedó, J.; Roscini, C. Temperature-Controlled Switchable Photochromism in Solid Materials. Angew. Chem. Int. Ed. 2016, 55, 15044–15048. [Google Scholar] [CrossRef]
- Zhang, W.; Ye, H.Y.; Graf, R.; Spiess, H.W.; Yao, Y.F.; Zhu, R.Q.; Xiong, R.G. Tunable and switchable dielectric constant in an amphidynamic crystal. J. Am. Chem. Soc. 2013, 135, 5230–5233. [Google Scholar] [CrossRef] [PubMed]
- Jiang, X.M.; Guo, S.P.; Zeng, H.Y.; Zhang, M.J.; Guo, G.C. Large Crystal Growth and New Crystal Exploration of Mid-Infrared Second-Order Nonlinear Optical Materials; Springer: Berlin/Heidelberg, Germany, 2012; Volume 145, pp. 1–44. [Google Scholar]
- Ok, K.-M. Toward the rational design of novel noncentrosymmetric materials: Factors influencing the framework structures. Acc. Chem. Res. 2016, 49, 2774–2785. [Google Scholar] [CrossRef]
- Guo, S.P.; Chi, Y.; Guo, G.C. Recent achievements on middleand far-infrared second-order nonlinear optical materials. Coord. Chem. Rev. 2017, 335, 44–57. [Google Scholar] [CrossRef]
- Lin, H.; Wei, W.-B.; Chen, H.; Wu, X.-T.; Zhu, Q.-L. Rational design of infrared nonlinear optical chalcogenides by chemical substitution. Coord. Chem. Rev. 2020, 406, 213150. [Google Scholar] [CrossRef]
- Jiang, X.-M.; Deng, S.; Whangbo, M.-H.; Guo, G.-C. Material research from the viewpoint of functional motifs. Natl. Sci. Rev. 2022, 9, nwac017. [Google Scholar] [CrossRef]
- Guo, G.-C.; Yao, Y.-G.; Wu, K.-C.; Wu, L.; Huang, J.-S. Studies on the Structure-Sensitive Functional Materials. Prog. Chem. 2001, 13, 151–155. (In Chinese) [Google Scholar]
- Wang, Y.L.; Li, X.Y.; Han, S.D.; Pan, J.; Xue, Z.Z. A Cu2I2-Based Coordination Framework as the Selective Sensor for Ag+ and the Effective Adsorbent for I2. Cryst. Growth Des. 2022, 22, 3719–3726. [Google Scholar] [CrossRef]
- Xue, Z.Z.; Meng, X.D.; Li, X.Y.; Han, S.D.; Pan, J.; Wang, G.M. Luminescent Thermochromism and White-Light Emission of a 3D [Ag4Br6] Cluster-Based Coordination Framework with Both Adamantane-like Node and Linker. Inorg. Chem. 2021, 60, 4375–4379. [Google Scholar] [CrossRef]
- Kang, L.; Zhou, M.; Yao, J.; Lin, Z.; Wu, Y.; Chen, C. Metal Thiophosphates with Good Mid-infrared Nonlinear Optical Performances: A First-Principles Prediction and Analysis. J. Am. Chem. Soc. 2015, 137, 13049–13059. [Google Scholar] [CrossRef] [PubMed]
- Bera, T.K.; Jang, J.I.; Song, J.-H.; Malliakas, C.D.; Freeman, A.J.; Ketterson, J.B.; Kanatzidis, M.G. Soluble Semiconductors AAsSe2 (A = Li, Na) with a Direct-Band-Gap and Strong Second Harmonic Generation: A Combined Experimental and Theoretical Study. J. Am. Chem. Soc. 2010, 132, 3484–3495. [Google Scholar] [CrossRef] [PubMed]
- Yang, C.; Liu, X.; Teng, C.; Cheng, X.; Liang, F.; Wu, Q. Hierarchical molecular design of high-performance infrared nonlinear Ag2HgI4 material by defect engineering strategy. Mater. Today Phys. 2021, 19, 100432. [Google Scholar] [CrossRef]
- Akiko Harasaki, A.H.; Kiyoshi Kato, K.K. New Data on the Nonlinear Optical Constant, Phase-Matching, and Optical Damage of AgGaS2. Jpn. J. Appl. Phys. 1997, 36, 700. [Google Scholar] [CrossRef]
- Catella, G.C.; Shiozawa, L.R.; Hietanen, J.R.; Eckardt, R.C.; Route, R.K.; Feigelson, R.S.; Cooper, D.G.; Marquardt, C.L. Mid-IR absorption in AgGaSe(2) optical parametric oscillator crystals. Appl. Opt. 1993, 32, 3948–3951. [Google Scholar] [CrossRef] [PubMed]
- Boyd, G.D.; Buehler, E.; Storz, F.G. Linear and Nonlinear Optical Properties Of ZnGeP2 AND CdSe. Appl. Phys. Lett. 1971, 18, 301–304. [Google Scholar] [CrossRef]
- Heine, J.; Dehnen, S. From Simple Chalcogenidotetrelate Precursors to Complex Structures and Functional Compounds. Z. Anorg. Allg. Chem. 2012, 638, 2425–2440. [Google Scholar] [CrossRef]
- Morris, C.D.; Li, H.; Jin, H.; Malliakas, C.D.; Peters, J.A.; Trikalitis, P.N.; Freeman, A.J.; Wessels, B.W.; Kanatzidis, M.G. Cs2MIIMIV3Q8 (Q = S, Se, Te): An Extensive Family of Layered Semiconductors with Diverse Band Gaps. Chem. Mater. 2013, 25, 3344–3356. [Google Scholar] [CrossRef]
- Trikalitis, P.N.; Rangan, K.K.; Kanatzidis, M.G. Platinum Chalcogenido MCM-41 Analogues. High Hexagonal Order in Mesostructured Semiconductors Based on Pt2+ and [Ge4Q10]4− (Q = S, Se) and [Sn4Se10]4− Adamantane Clusters. J. Am. Chem. Soc. 2002, 124, 2604–2613. [Google Scholar] [CrossRef]
- Liao, J.H.; Varotsis, C.; Kanatzidis, M.G. Syntheses, structures, and properties of six novel alkali metal tin sulfides: K2Sn2S8, alpha-Rb2Sn2S8, beta-Rb2Sn2S8, K2Sn2S5, Cs2Sn2S6, and Cs2SnS14. Inorg. Chem. 1993, 32, 2453–2462. [Google Scholar] [CrossRef]
- Rangan, K.K.; Trikalitis, P.N.; Canlas, C.; Bakas, T.; Weliky, D.P.; Kanatzidis, M.G. Hexagonal Pore Organization in Mesostructured Metal Tin Sulfides Built with [Sn2S6]4− Cluster. Nano Lett. 2002, 2, 513–517. [Google Scholar] [CrossRef]
- Li, H.; Li, G.M.; Wu, K.; Zhang, B.B.; Yang, Z.H.; Pan, S.L. BaB2S4: An Efficient and Air-Stable Thioborate as Infrared Nonlinear Optical Material with High Laser Damage Threshold. Chem. Mater. 2018, 30, 7428–7432. [Google Scholar] [CrossRef]
- Liu, B.W.; Jiang, X.M.; Zeng, H.Y.; Guo, G.C. [ABa2Cl][Ga4S8] (A = Rb, Cs): Wide-Spectrum Nonlinear Optical Materials Obtainedby Polycation-Substitution-Induced Nonlinear Optical (NLO)-Functional Motif Ordering. J. Am. Chem. Soc. 2020, 142, 10641–10645. [Google Scholar] [CrossRef] [PubMed]
- Feng, K.; Kang, L.; Lin, Z.; Yao, J.; Wu, Y. Noncentrosymmetric Chalcohalide NaBa4Ge3S10Cl with Large Band Gap and IR NLO Response. J. Mater. Chem. C 2014, 2, 4590–4596. [Google Scholar] [CrossRef]
- Liu, B.W.; Jiang, X.M.; Li, B.X.; Zeng, H.Y.; Guo, G.C. Li[LiCs2Cl][Ga3S6]: ANanoporous Framework of GaS4 Tetrahedra with Excellent Nonlinear Optical Performance. Angew. Chem. Int. Ed. 2020, 59, 4856–4859. [Google Scholar] [CrossRef] [PubMed]
- Chu, Y.; Wu, K.; Su, X.; Han, J.; Yang, Z.H.; Pan, S.L. Intriguing Structural Transition Inducing Variable Birefringences in ABa2MS4Cl (A = Rb, Cs; M = Ge, Sn). Inorg. Chem. 2018, 57, 11310–11313. [Google Scholar] [CrossRef] [PubMed]
- Liu, B.W.; Zeng, H.Y.; Jiang, X.M.; Guo, G.C. Phase Matching Achieved by Bandgap Widening in Infrared Nonlinear Optical Materials [ABa3Cl2][Ga5S10] (A= K, Rb, and Cs). CCS Chem. 2021, 3, 964–973. [Google Scholar] [CrossRef]
- Zhou, J.Z.; Chu, Y.; Li, J.J.; Pan, S.L. Ba2BS3Cl and Ba5B2S8Cl2: First Alkaline-Earth Metal Thioborate Halides with [BS3] Units. Chem. Commun. 2021, 57, 6440–6443. [Google Scholar] [CrossRef]
- Berseneva, A.A.; Aziziha, M.; Schorne-Pinto, J.; Besmann, T.M.; zur Loye, H.-C. All-Inorganic Open-Framework Chalcogenides, A3Ga5S9·xH2O (A = Rb and Cs), Exhibiting Ultrafast Uranyl Remediation and Illustrating a Novel Post-Synthetic Preparation of Open-Framework Oxychalcogenides. Chem. Mater. 2022, 34, 8366–8378. [Google Scholar] [CrossRef]
- Li, G.; Wu, K.; Liu, Q.; Yang, Z.; Pan, S. Na2ZnGe2S6: A New Infrared Nonlinear Optical Material with Good Balance between Large Second-Harmonic Generation Response and High Laser Damage Threshold. J. Am. Chem. Soc. 2016, 138, 7422–7428. [Google Scholar] [CrossRef]
- Chen, M.M.; Zhou, S.; Wei, W.; Wu, X.; Lin, H.; Zhu, Q.L. AZn4Ga5Se12 (a = K, Rb, or Cs): Infrared Nonlinear Optical Materials with Simultaneous Large Second Harmonic Generation Responses and High Laser-Induced Damage Thresholds. Inorg. Chem. 2022, 60, 10038–10046. [Google Scholar] [CrossRef] [PubMed]
- Rigaku Oxford Diffraction. CrysAlisPro Software System, Version v40.67a; Rigaku Corporation: Oxford, UK, 2019. [Google Scholar]
- Sheldrick, G. SHELXS-97: Program for X-ray Crystal Structure Solution; University of Gottingen: Gottingen, Germany, 1997. [Google Scholar]
- Spek, A. PLATON, A Multipurpose Crystallographic Tool; Utrecht University: Utrecht, The Netherlands, 2005. [Google Scholar]
- Gustav, K. Reflectance Spectroscopy; Springer: Berlin/Heidelberg, Germany, 1969; pp. 1–366. [Google Scholar]
- Kurtz, S.K.; Perry, T.T. A Powder Technique for the Evaluation of Nonlinear Optical Materials. J. Appl. Phys. 1968, 39, 3798–3813. [Google Scholar] [CrossRef]
- Zhang, M.-J.; Jiang, X.-M.; Zhou, L.-J.; Guo, G.-C. Two phases of Ga2S3: Promising infrared second-order nonlinear optical materials with very high laser induced damage thresholds. J. Mater. Chem. C 2013, 1, 4754–4760. [Google Scholar] [CrossRef]
- Gonze, X. Perturbation expansion of variational principles at arbitrary order. Phys. Rev. A 1995, 52, 1086–1095. [Google Scholar] [CrossRef] [PubMed]
- Gonze, X. Adiabatic density-functional perturbation theory. Phys. Rev. A 1995, 52, 1096–1114. [Google Scholar] [CrossRef] [PubMed]
- Baroni, S.; de Gironcoli, S.; Dal Corso, A.; Giannozzi, P. Phonons and related crystal properties from density-functional perturbation theory. Rev. Mod. Phys. 2001, 73, 515–562. [Google Scholar] [CrossRef]
- Ghosez, P.; Gonze, X.; Godby, R.W. Long-wavelength behavior of the exchange-correlation kernel in the Kohn-Sham theory of periodic systems. Phys. Rev. B 1997, 56, 12811–12817. [Google Scholar] [CrossRef]
- Sharma, S.; Ambrosch-Draxl, C. Second-Harmonic Optical Response from First Principles. Phys. Scr. 2004, 109, 128. [Google Scholar] [CrossRef]
- Yohannan, J.P.; Vidyasagar, K. Syntheses and structural characterization of non-centrosymmetric Na2M2M′S6 (M, M′=Ga, In, Si, Ge, Sn, Zn, Cd) sulfides. J. Solid State Chem. 2016, 238, 147–155. [Google Scholar] [CrossRef]
- Teske, L. Zur Kenntnis von BaCdGeS4 mit einem Beitrag|zur|Kristallchemie von Verbindungen des Typs BaABS4. Z. Anorg. Allg. Chem. 1980, 468, 27–34. [Google Scholar] [CrossRef]
- Luo, X.; Liang, F.; Zhou, M.; Guo, Y.; Li, Z.; Lin, Z.; Yao, J.; Wu, Y. K2ZnGe3S8: A Congruent-Melting Infrared Nonlinear-Optical Material with a Large Band Gap. Inorg. Chem. 2018, 57, 9446–9452. [Google Scholar] [CrossRef] [PubMed]
- Wu, P.; Ibers, J.A. Synthesis and Structures of the Quaternary Chalcogenides of the Type KLnMQ4 (Ln = La, Nd, Gd, Y; M = Si, Ge; Q = S, Se). J. Solid State Chem. 1993, 107, 347–355. [Google Scholar] [CrossRef]
- Mei, D.; Lin, Z.; Bai, L.; Yao, J.; Fu, P.; Wu, Y. KBiMS4 (M=Si, Ge): Synthesis, structure, and electronic structure. J. Solid State Chem. 2010, 183, 1640–1644. [Google Scholar] [CrossRef]
- Zhang, C.; Wang, K.-N.; Ji, M.; An, Y.-L. Mild Solvothermal Syntheses of Thioargentates A-Ag-S (A = K, Rb, Cs) and A-Ag-Ge-S (A = Na, Rb): Crucial Role of Excess Sulfur. Inorg. Chem. 2013, 52, 12367–12371. [Google Scholar] [CrossRef] [PubMed]
- Li, Z.; Jiang, X.; Yi, C.; Zhou, M.; Guo, Y.; Luo, X.; Lin, Z.; Wu, Y.; Shi, Y.; Yao, J. K2MnGe3S8: A new multifunctional semiconductor featuring [MnGe3S8]2− layers and demonstrating interesting nonlinear optical response and antiferromagnetic properties. J. Mater. Chem. C. 2018, 6, 10042–10049. [Google Scholar] [CrossRef]
- Guo, G.; Jiang, X.; Liu, B.; Yan, Q.; Chen, W.; Chai, X. Rb2MGe3S8 (M=Zn, Cd): Non-Centrosymmetry Transformation Led by Structure Change of [MGe3S8]2− Unit. Acta Chim. Sin. 2022, 80, 633–639. [Google Scholar]
- Li, S.-F.; Jiang, X.-M.; Fan, Y.-H.; Liu, B.-W.; Zeng, H.-Y.; Guo, G.-C. New strategy for designing promising mid-infrared nonlinear optical materials: Narrowing the band gap for large nonlinear optical efficiencies and reducing the thermal effect for a high laser-induced damage threshold. Chem. Sci. 2018, 9, 5700–5708. [Google Scholar] [CrossRef]






| Empirical formula | K2Ge3CdS8 |
| CCDC | 2,215,394 |
| Formula weight | 664.85 |
| Temperature/K | 293(2) |
| Crystal system | orthorhombic |
| Space group | P212121 |
| a/Å | 7.3758(3) |
| b/Å | 12.1051(5) |
| c/Å | 16.8658(6) |
| Volume/Å3 | 1505.86(10) |
| Z | 4 |
| ρcalc (g/cm3) | 2.933 |
| μ/mm−1 | 8.945 |
| F(000) | 1240.0 |
| Crystal size/mm3 | 0.12 × 0.12 × 0.02 |
| Radiation | Mo Kα (λ = 0.71073) |
| 2θ range for data collection/° | 4.83 to 51 |
| Index ranges | −8 ≤ h ≤ 6, −14 ≤ k ≤ 14, −16 ≤ l ≤ 20 |
| Reflections collected | 8972 |
| Independent reflections | 2792 [Rint = 0.0236, Rsigma = 0.0262] |
| Data/restraints/parameters | 2792/0/133 |
| Goodness-of-fit on F2 | 0.717 |
| Final R indexes [I > = 2σ (I)] | R1 = 0.0327, wR2 = 0.0835 |
| Final R indexes [all data] | R1 = 0.0367, wR2 = 0.0872 |
| Largest diff. peak/hole/e Å−3 | 1.84/−1.32 |
| Flack parameter | −0.01(3) |
| aR = Σ||Fo| − |Fc||/Σ|Fo|, bwR = Σ(w(Fo2 − Fc2)2)/Σ(w(Fo2)2))1/2. | |
| Atom | X | Y | z | U(eq) |
|---|---|---|---|---|
| K1 | 12,537(8) | 3585(4) | 4448(3) | 65.1(13) |
| K2 | 7684(12) | 1998(7) | 1683(5) | 115(2) |
| Cd1 | 4694.9(14) | 4981.9(10) | 542.7(8) | 32.0(3) |
| Ge1 | 9689.7(19) | 5293.1(12) | 1540.8(10) | 24.1(4) |
| Ge2 | 7686(3) | 5666.3(13) | 4867.9(9) | 29.3(4) |
| Ge3 | 7374(2) | 4561.0(13) | 3275.4(8) | 26.2(4) |
| S1 | 7314(5) | 6326(3) | 1580(2) | 27.7(7) |
| S2 | 7807(7) | 3886(3) | 4507(2) | 36.2(10) |
| S3 | 7192(8) | 6341(3) | 3650(2) | 38.1(10) |
| S4 | 9962(6) | 4246(4) | 2649(3) | 39.4(10) |
| S5 | 4971(7) | 3817(4) | 2776(3) | 49.8(14) |
| S6 | 9766(10) | 3997(6) | 582(3) | 78(2) |
| S7 | 2106(6) | 6311(4) | 1442(3) | 46.0(12) |
| S8 S8B | 10,430(40) 9840(60) | 6120(30) 6460(30) | 5266(19) 5470(16) | 37(6) 50(8) |
| Bond | Distance/Å | Bond | Distance/Å | Bond | Distance/Å |
|---|---|---|---|---|---|
| Ge(1)-S(1) | 2.154(4) | Ge(3)-S(4) | 2.215(5) | K(1)-S(5)#5 | 3.355(7) |
| Ge(1)-S(4) | 2.267(4) | Ge(3)-S(5) | 2.160(5) | K(1)-S(7)#6 | 3.376(7) |
| Ge(1)-S(6) | 2.254(5) | Cd(1)-S(1) | 2.526(4) | K(2)-S(3)#7 | 3.725(10) |
| Ge(1)-S(7)#5 | 2.173(4) | Cd(1)-S(5) | 2.521(5) | K(2)-S(4) | 3.590(10) |
| Ge(2)-S(2) | 2.241(4) | Cd(1)-S(7) | 2.502(4) | K(2)-S(5) | 3.500(11) |
| Ge(2)-S(3) | 2.241(4) | Cd(1)-S(8)#8 | 2.510(8) | K(2)-S(6) | 3.415(12) |
| Ge(2)-S(6)#6 | 2.211(6) | K(1)-S(1)#4 | 3.239(6) | K(2)-S(7)#7 | 3.274(10) |
| Ge(2)-S(8) | 2.211(6) | K(1)-S(2)#1 | 3.477(6) | K(2)-S(8)#8 | 3.681(12) |
| Ge(3)-S(2) | 2.255(4) | K(1)-S(3) | 3.509(8) | K(1)-K(1)#1 | 4.896(7) |
| Ge(3)-S(3) | 2.250(4) | K(1)-S(4) | 3.667(7) | K(1)-K(2)#3 | 4.553(10) |
| Compounds | LIDT (mJ/cm2) | Band Gap (eV) | TEC (×10−5) | TEA | ||
|---|---|---|---|---|---|---|
| a | b | c | ||||
| I | 268.05 | 3.20 | 1.56 | 4.88 | 2.09 | 2.12 |
| AGS | 42.32 | 2.62 | 2.09 | 2.09 | −1.07 | 2.95 |
Disclaimer/Publisher’s Note: The statements, opinions and data contained in all publications are solely those of the individual author(s) and contributor(s) and not of MDPI and/or the editor(s). MDPI and/or the editor(s) disclaim responsibility for any injury to people or property resulting from any ideas, methods, instructions or products referred to in the content. |
© 2023 by the authors. Licensee MDPI, Basel, Switzerland. This article is an open access article distributed under the terms and conditions of the Creative Commons Attribution (CC BY) license (https://creativecommons.org/licenses/by/4.0/).
Share and Cite
Wu, Z.-X.; Chen, W.-F.; Liu, B.-W.; Jiang, X.-M.; Guo, G.-C. K2CdGe3S8: A New Infrared Nonlinear Optical Sulfide. Symmetry 2023, 15, 236. https://doi.org/10.3390/sym15010236
Wu Z-X, Chen W-F, Liu B-W, Jiang X-M, Guo G-C. K2CdGe3S8: A New Infrared Nonlinear Optical Sulfide. Symmetry. 2023; 15(1):236. https://doi.org/10.3390/sym15010236
Chicago/Turabian StyleWu, Zi-Xuan, Wen-Fa Chen, Bin-Wen Liu, Xiao-Ming Jiang, and Guo-Cong Guo. 2023. "K2CdGe3S8: A New Infrared Nonlinear Optical Sulfide" Symmetry 15, no. 1: 236. https://doi.org/10.3390/sym15010236
APA StyleWu, Z.-X., Chen, W.-F., Liu, B.-W., Jiang, X.-M., & Guo, G.-C. (2023). K2CdGe3S8: A New Infrared Nonlinear Optical Sulfide. Symmetry, 15(1), 236. https://doi.org/10.3390/sym15010236
