Study of Low-Frequency Sound Absorption Based on Negative Stiffness Membrane Structure
Abstract
:1. Introduction
2. Model Establishment
2.1. System Stiffness Analysis of Membrane Structures with Negative Stiffness
2.2. Theoretical Modeling of the Sound Absorption Characteristics
3. Magnetic Field Simulation Analysis of Negative Stiffness Membrane Structure
3.1. Finite Element Analysis Method of Static Magnetic Field
3.2. Simulation Analysis of the Stiffness of the Magnetic Structure
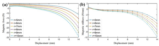
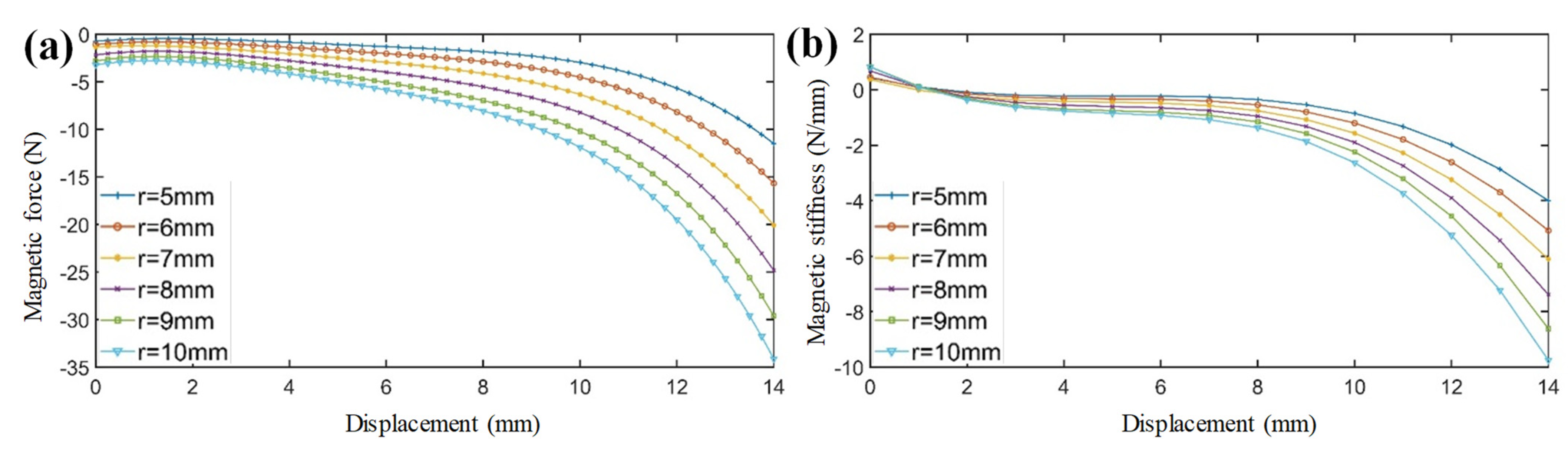
3.2.1. The Influence on the Radius of the Mass Block
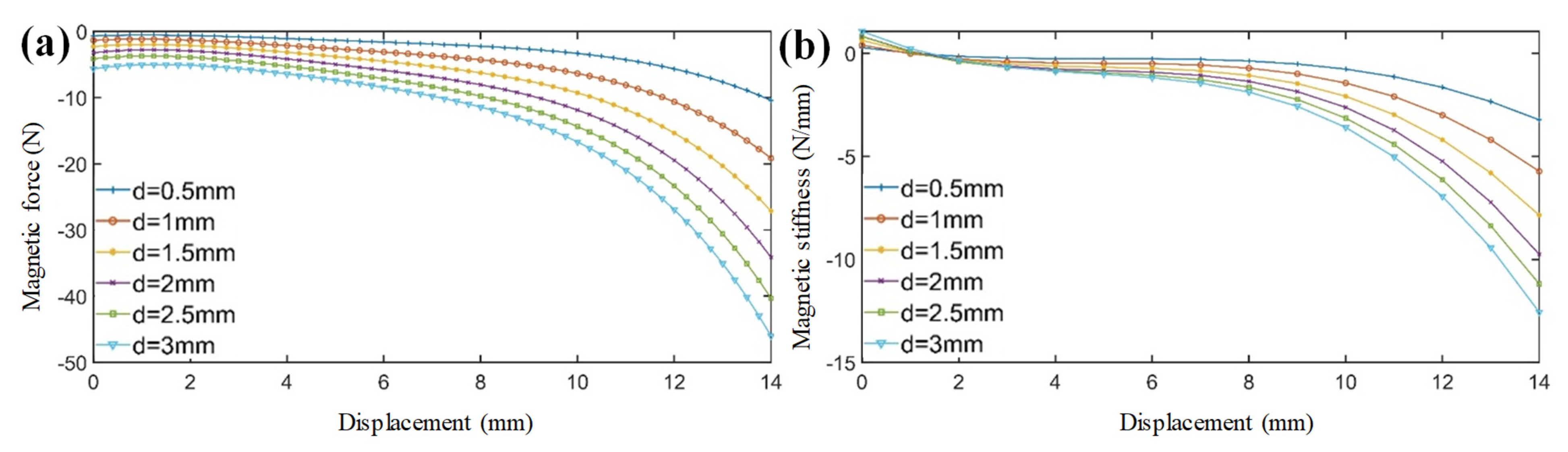
3.2.2. The Influence on the Thickness of the Mass Block
3.2.3. The Influence on the Thickness of the Permanent Magnet
3.3. Simulation Analysis of the Magnetic Structure-Coupling Field
4. Experimental Verification
4.1. Magnetic Force Test
4.2. Sound Absorption Test
5. Conclusions
Author Contributions
Funding
Data Availability Statement
Conflicts of Interest
References
- Zhou, R. An Acoustic Metamaterial Based on Helmholtz Cavity and Membrane and Research on Transmission Loss in Low Frequency; Jiangsu University: Zhenjiang, China, 2017. [Google Scholar]
- Wen, J.H.; Wang, G.; Yu, D.L.; Zhao, H.G.; Liu, Y.Z.; Wen, X.S. Study on vibration band gap and damping characteristics of phononic crystals. Sci. Sin. 2007, 37, 1126–1139. [Google Scholar]
- Cummer, S.A.; Christensen, J.; Alù, A. Controlling sound with acoustic metamaterials. Nat. Rev. Mater. 2016, 1, 16001. [Google Scholar] [CrossRef]
- Li, J.; Chan, C.T. Double-negative acoustic metamaterial. Phys. Rev. E Stat. Nonlinear Soft Matter Phys. 2004, 70, 55602. [Google Scholar] [CrossRef]
- Zuo, Y.Y.; Zhou, J.H.; Liu, H.B.; Hong, J.H. Sound absorptivity and application of perforated panel structure. China Mech. Eng. 2007, 18, 778–780. [Google Scholar]
- Fan, Q.W.; Shen, Y.G.; Zhang, W. Analysis of interior sound field in Helmholtz resonant muffler. Noise Control 2007, 31, 67–69. [Google Scholar]
- Ji, G.S.; Huber, J. Recent progress in acoustic metamaterials and active piezoelectric acoustic metamaterials—A review. Appl. Mater. Today 2021, 26, 101260. [Google Scholar] [CrossRef]
- Chen, Z.X.; Peng, Y.H.; Li, H.X.; Liu, J.J. Efficient nonreciprocal mode transitions in spatiotemporally modulated acoustic metamaterials. Sci. Adv. 2021, 7, eabj1198. [Google Scholar] [CrossRef]
- Sun, P.; Zhang, Z.d.; Guo, H.; Liu, N.N.; Jin, W.C.; Yuan, T.; Wang, Y.S. Topological optimization of hierarchical honeycomb acoustic metamaterials for low-frequency extreme broad band gaps. Appl. Acoust. 2022, 188, 108579. [Google Scholar] [CrossRef]
- Yang, Z.; Mei, J.; Yang, M.; Chen, N.H.; Sheng, P. Membrane-type acoustic metamaterial with negative dynamic mass. Phys. Rev. Lett. 2008, 101, 204301. [Google Scholar] [CrossRef]
- Naify, C.J.; Chang, C.M.; McKnight, G.; Nutt, S. Transmission loss and dynamic response of membrane-type locally resonant acoustic metamaterials. J. Appl. Phys. 2010, 108, 114905. [Google Scholar] [CrossRef]
- Mei, J.; Ma, G.; Yang, M.; Yang, Z.Y.; Wen, W.J.; Sheng, P. Dark acoustic metamaterials as super absorbers for low-frequency sound. Nat. Commun. 2012, 3, 756–763. [Google Scholar] [CrossRef] [PubMed]
- Fan, L.; Chen, Z.; Zhang, S.Y.; Li, X.J.; Zhang, H. An acoustic metamaterial composed of multi-layer membrane-coated perforated plates for low-frequency sound insulation. Appl. Phys. Lett. 2015, 106, 131–457. [Google Scholar] [CrossRef]
- Chen, L.; Wu, W.G.; Zhou, R. A petal-like acoustic metamaterial structure based on local resonance with ultra-wide sonic band gap in low frequency range. Tech. Acous. 2016, 35, 222–227. [Google Scholar]
- Gao, N.S.; Hou, H.; Mu, Y.H. Low frequency acoustic properties of bilayer membrane acoustic metamaterial with magnetic oscillator. Theor. Appl. Mech. Lett. 2017, 7, 252–257. [Google Scholar] [CrossRef]
- Langfeldt, F.; Gleine, W.; Von, O. An efficient analytical model for baffled, multi-celled membrane-type acoustic metamaterial panels. J. Sound Vib. 2018, 417, 359–375. [Google Scholar] [CrossRef]
- Sam, H.L.; Choon, M.P.; Yong, M.S.; Zhi, G.W.; Chul, K.K. Acoustic metamaterial with negative density. Phys. Lett. A 2009, 373, 4464–4469. [Google Scholar]
- Kumar, S.; Bhushan, P.; Prakash, O.; Bhattacharya, S. Double negative acoustic metastructure for attenuation of acoustic emissions. Appl. Phys. Lett. 2018, 112, 101905. [Google Scholar] [CrossRef]
- Yang, Z.; Dai, H.M.; Chan, N.H.; Ma, G.C.; Sheng, P. Acoustic metamaterial panels for sound attenuation in the 50–1000 Hz regime. Appl. Phys. Lett. 2010, 96, 041906. [Google Scholar] [CrossRef]
- Shen, C.; Xie, Y.B.; Sui, N.; Wang, W.Q.; Cummer, S.A.; Jing, Y. Broadband acoustic hyperbolic metamaterial. Phys. Rev. Lett. 2015, 115, 254301. [Google Scholar] [CrossRef]
- Christiansen, R.; Sigmund, O. Experimental validation of systematically designed acoustic hyperbolic meta material slab exhibiting negative refraction. Appl. Phys. Lett. 2016, 109, 101905. [Google Scholar] [CrossRef] [Green Version]
- Gai, X.L.; Li, X.H.; Zhang, B.; Xie, P.; Ma, Z.H. Numerical simulation of sound-absorbing property of membrane materials. Noice Vib. Control. 2014, 34, 110–113. [Google Scholar]
- Zhu, Q.; Bai, H.B.; Lu, C.H.; Huang, K.; Li, T. Study on the sound absorption property of a resonance-type material decorated with membrane. Piezoelectr. Acoustoopt. 2017, 39, 27–31. [Google Scholar]
- Zhao, J.J.; Li, X.H.; Wang, Y.Y.; Wang, W.J.; Zhu, L.; Zhang, B. Low frequency sound absorption of a menbrane-type with magnetic negative stiffness. Acta Acust. 2017, 42, 239–245. [Google Scholar]
- Qian, W.C.; Wang, Z.Z.; Xu, Y.G.; Chen, S.L. Symmetrical deformation of the central part of a circular film under uniformly distributed load. Appl. Math. Mech. 1981, 6, 599–612. [Google Scholar]













| Parameters | Radius of Mass Block (r) | Thickness of Mass Block (d) | Radius of Permanent Magnet (R) | Thickness of Permanent Magnet (H) |
|---|---|---|---|---|
| Values (mm) | 10.0 | 2.0 | 10.0 | 30.0 |
Publisher’s Note: MDPI stays neutral with regard to jurisdictional claims in published maps and institutional affiliations. |
© 2022 by the authors. Licensee MDPI, Basel, Switzerland. This article is an open access article distributed under the terms and conditions of the Creative Commons Attribution (CC BY) license (https://creativecommons.org/licenses/by/4.0/).
Share and Cite
Zheng, X.; Fu, C.; Bai, H.; Lin, Z.; Liu, X. Study of Low-Frequency Sound Absorption Based on Negative Stiffness Membrane Structure. Symmetry 2022, 14, 1858. https://doi.org/10.3390/sym14091858
Zheng X, Fu C, Bai H, Lin Z, Liu X. Study of Low-Frequency Sound Absorption Based on Negative Stiffness Membrane Structure. Symmetry. 2022; 14(9):1858. https://doi.org/10.3390/sym14091858
Chicago/Turabian StyleZheng, Xiaoyuan, Chenxu Fu, Hongbai Bai, Zhu Lin, and Xingxing Liu. 2022. "Study of Low-Frequency Sound Absorption Based on Negative Stiffness Membrane Structure" Symmetry 14, no. 9: 1858. https://doi.org/10.3390/sym14091858
APA StyleZheng, X., Fu, C., Bai, H., Lin, Z., & Liu, X. (2022). Study of Low-Frequency Sound Absorption Based on Negative Stiffness Membrane Structure. Symmetry, 14(9), 1858. https://doi.org/10.3390/sym14091858

