Abstract
This paper studies the optimal design and control scheme of a spoke-type interior permanent magnet motor (SIPM). An asymmetric rotor structure with flux barriers is designed to improve the torque density of SIPM. The design method improves the torque density by approximating the maximum value of the magnetic torque and the reluctance torque, wherein the torque components are separated by the frozen permeability method (FPM) to evaluate the contribution. This scheme does not increase the amount of permanent magnets or the motor size, and reduces motor weight while increasing motor torque output. Firstly, the asymmetric flux barriers are applied in a 27/4 SIPM to illustrate the design principle. Further, by optimizing the width of flux barriers, based on finite-element analyze (FEA), a higher torque density is obtained. Compared with the basic model, the output torque and the torque density of the optimal model are both increased. Based on the optimal model, an angle scanning method is proposed to orient the flux vector and dq-axis. Then, the mathematical model of the optimal model is established, and the maximum torque per ampere (MTPA) control system is designed. Compared with the conventional control system, the proposed control system has a higher torque per ampere (TPA), which shows that the designed control system can give full play to the advantages of the high torque density.
1. Introduction
Permanent magnet motors are used in various fields due to their high torque density, high efficiency, etc. [1,2,3,4] Most permanent magnet motors use high-performance rare earth permanent magnet materials [5]. However, the issues, such as the outbreak of the epidemic, have caused a shortage and price increase in rare-earth permanent magnet materials, which brings challenges to the application of mass production [6,7]. To solve this problem, people are constantly looking for alternatives. Ferrite permanent magnets have proven to be an effective alternative, but their magnetic density per unit volume is small, where the improved design is required to enhance motor performance.
There are many schemes which can improve motor performance. Among them, the motors with asymmetric rotor structures have been proved to be an effective scheme to improve torque density [8,9,10,11]. This type of motor can superimpose the maximum value of reluctance torque and magnetic torque at the same or similar current phase angles, thereby increasing the torque density of the motor. This type of motor can improve utilization of magnetic torque and reluctance torque, and increase the torque without increasing the amount of permanent magnets and motor size [11,12], which can effectively reduce the adverse effects of ferrite permanent magnet. Among them, unlike some schemes that make the structure too complicated [8,9,10], the reference [11] only uses the flux barriers to improve the torque output while reducing the rotor weight, which is advantageous in some applications where the motor needs to follow the mechanical motion (such as electric vehicles, ships, aviation, etc.), which can reduce energy consumption [13,14,15]. However, the basic model in [11] adopts a “V”-shaped permanent magnet structure, which is still more complex and expensive than the spoke-type interior permanent magnet motor (SIPM) [16]. Based on this, a novel SIPM is proposed, where asymmetric flux barriers are applied to obtain high torque density and low weight.
In addition, in the field of motor control, scholars have proposed many motor control methods [17,18]. Among them, the maximum torque per ampere (MTPA) control scheme is a mainstream efficient control scheme [19,20,21]. However, due to the asymmetric structure of the rotor, the direction of the flux vector is shifted, and the law of the torque generated becomes more complicated. At the same time, due to the change of the magnetic circuit of the dq-axis, the dq-axis oriented by the geometric centerline has a serious cross-saturation effect. If the conventional method in [20,21] is directly applied, the control system would have a poor effect. A mathematical model is established in [22] to solve these problems. However, the modeling process is complex and only considers the case where the two torque component maximums are summed at the same current phase angle. To sum up, a new set of orientation schemes is needed to establish the torque equation, achieve the decoupling of the dq-axis magnetic circuit, and achieve the design of the control system.
In this paper, a novel SIPM and its control system are proposed to improve torque density, which utilizes asymmetric flux barriers. The effect of torque density improvement is achieved by approximating the maximum values of magnetic torque and reluctance torque. The design does not increase the amount of permanent magnets or motor size, and increases the output torque while reducing motor weight. To solve the problem of the flux linkage offset caused by the utilization of asymmetric flux barriers, a scanning angle method is proposed to establish the mathematical model of the SIPM. Then, the MTPA control curve is derived to establish the control system. The remainder of this paper is organized as follows. Section 2 analyzes the impact of the utilization of asymmetric flux barriers on the performance of SIPM, and optimizes the asymmetric flux barriers. Section 3 designs the control system of the novel SIPM and compares its control effect with the conventional control scheme. Finally, Section 4 presents the conclusion of this paper.
2. Motor Modeling
2.1. Basic Model and Toque Performance
To evaluate the effect of the asymmetric rotor structures on motor performance, a traditional SIPM is shown in Figure 1a as basic model. The stator has twenty-seven half-open slots with distributed windings. The rotor is inserted with spoke-type ferrite permanent magnets. The specific parameters of the traditional SIPM motor are listed in Table 1.
Figure 1.
Motor topology and torque performance (a) Topology of the basic SIPM motor; (b) Torque performance (p.u.).
Table 1.
Specific parameters of the basic SIPM motor.
In the dq coordinate system, the torque of the SIPM motor can be expressed as:
where p is the number of pole pairs, Ld and Lq are the dq-axis inductances, Ia represents the peak value of the phase current, β means the angle of the current phase under the dq-axis, and λPM represents the peak fundamental value of the magnet flux linkage. The first term of the torque component is the reluctance torque and the second one is the magnetic torque.
The frozen permeability method (FPM) is used to separate magnetic torque (TPM) and reluctance torque (Tre). Firstly, the total torque (Te) generated by the permanent magnet and the rated current was calculated by finite element analysis (FEA). Based on this, the Tre generated only by the rated current excitation was obtained by the FPM. Finally, the TPM was obtained by subtracting the Tre from the Te. A plot of typical per-unit torque performance for SIPM is shown in Figure 1b. This figure shows that the peaks of the two torque components are usually not at the same current phase angle, which leads to the TPM and Tre of the SIPM are not being fully utilized.
2.2. Proposed Model and Comparison
A proposed SIPM with the design variable selected as the open angle of the assisted barriers θ is shown in Figure 2, where θ is 46°. For a reasonable comparison, the size, rated value, and the amount of permanent magnet material of the proposed model are consistent with the basic model.
Figure 2.
Topology of the proposed model.
FEA under no-load conditions is firstly carried out. Figure 3 shows the magnetic flux line distribution of the investigated models. Differing from that of the basic model in Figure 3a, the magnetic flux lines of the proposed models exhibit asymmetric flux distributions as shown in Figure 3b.
Figure 3.
Magnetic flux line distribution at the no-load condition (a) Basic model; (b) Proposed model.
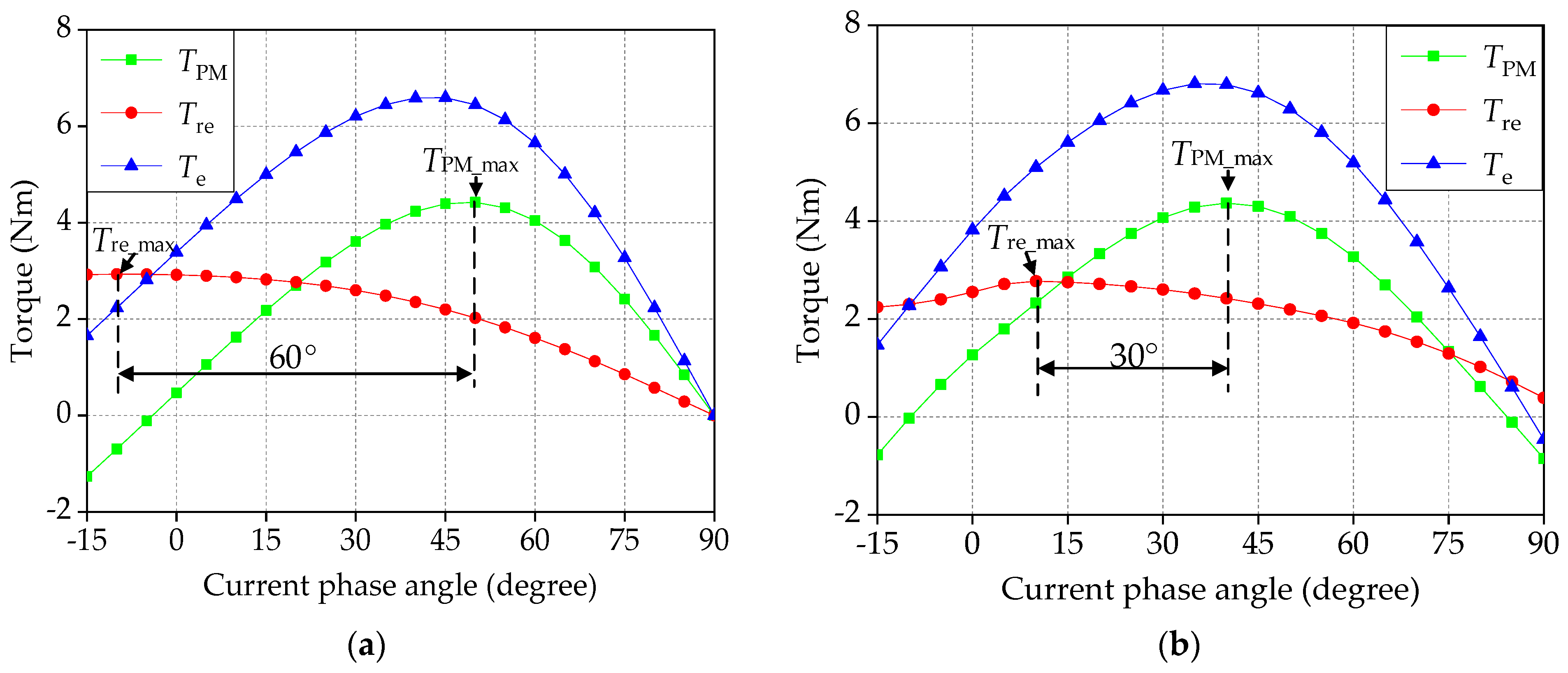
Through FPM results in Figure 4, it can be seen that the difference between TPM_max and Tre_max of the basic and the proposed model is 60° and 30°, respectively, which improved output torque. Therefore, the effect of increasing torque while reducing weight is achieved. At the same time, the motor efficiency also increases due to the increase in torque. The efficiency is defined as
where Pcopper is the copper loss, Piron is the iron loss in the stator and rotor core, and Pout is the output power.
Figure 4.
Torque characteristics (a) Basic model; (b) Proposed model.
A comparison of electromagnetic torque is shown in Figure 5. The torque ripple factor is defined as the ratio of the peak-to-peak value to the average value of torque, i.e.
Figure 5.
Electromagnetic torque of the basic and proposed models.
The torque density is defined as the ratio of torque-to-weight, i.e.
The detailed data of the basic and proposed model are listed in Table 2.
Table 2.
Comparison of performance data of the basic and proposed models.
2.3. Optimal Design
Based on the proposed model, an optimization process was implemented to obtain a larger torque density. The optimal variable was selected as the assisted barriers span angle θ in Figure 2, and its right boundary is fixed. Considering that the magnetic flux linkage offset effect is more obvious when the assisted barriers cross the centerline of the rotor core, the lower limit of θ was set to 34°. At the same time, if the assisted barriers are too wide, a large amount of magnetic flux leakage will occur, so the upper limit of θ was set to 66°, which is the value when the rotor is just symmetrical. To sum up, the range of θ is shown in Equation (5).
Design variables: 34° ≤ θ ≤ 66°
FEA results of the optimization process are shown in Figure 6a. It can be seen that the torque density of the motor is the largest when θ = 54°. At this time, the torque characteristics are shown in Figure 6b. It can be seen that the TPM_max and the Tre_max are superimposed at almost the same current phase angle. Figure 7 is a comparison figure of the electromotive force (EMF), air gap flux density and maximum output torque. As can be seen from Figure 7a,b, the RMS value of the optimized model EMF decreases and the harmonic content increases, which is due to the change in the air gap flux density caused by the change of the asymmetric flux barriers as shown in Figure 7c,d, where the total harmonics distortion (THD) of the proposed model and the optimal model are 78.43% and 97.36%, respectively. Meanwhile, the motor output torque is reduced by 0.0188 Nm as shown in Figure 7e, but it is only 0.27% of the torque output of the proposed model, which is negligible. This is because the torque superposition effect cancels out the output torque reduction caused by flux leakage. The comparison of detailed performance data between the proposed model and the optimized model is shown in Table 3.
Figure 6.
Optimal results (a) FEA results; (b) Torque characteristics when θ = 54°.

Figure 7.
Comparison of the proposed and optimal models (a) EMF; (b) FFT of EMF; (c) Air gap flux density (d) FFT of air gap flux density (e) Torque output.
Table 3.
Comparison of performance data of the proposed and optimal models.
3. Control System Design
3.1. Mathematical Modeling of the Optimal Model
Before establishing the mathematical model of the motor, make the following assumptions:
- Ignore the effect of magnetic saturation;
- Ignore the magnetic field harmonics.
3.1.1. Orientation of the Main Flux Linkage Vector
A scanning electrical angle method is proposed to identify the position of the main flux linkage vector, which achieves the transformation of the flux linkage in the three-phase coordinate system shown in Figure 8a into the dqf coordinate system shown in Figure 8b. Firstly, the objective function was identified as shown in Formula (6), which can minimize the projection of the main flux linkage vector on the qf-axis and meet the requirements of the traditional flux linkage orientation theory. Then, the accuracy of θf was taken as two decimal places, and the final solution result is θf = 189.77° (electrical degree).
where
where ψA, ψB, ψC are the there-phase flux, ψd_f, ψq_f, ψ0_f are the dq0f-axis flux; θf is the transform angle for flux; and θe is the electrical angle of rotor position.
Figure 8.
Flux waveforms (a) ABC coordinate system; (b) dqf coordinate system.
It can be seen from Figure 8 that the irregular flux linkage waveform can be transformed into relatively constant direct axis flux linkage and quadrature axis flux linkage by selecting a suitable θf, and the quadrature-axis flux linkage ψq_f is approximately 0. The average value of the direct axis flux linkage ψd_f is 0.2259 Wb. It is worth mentioning that, due to the star connection of motor windings, the zero-axis flux linkage ψ0_f does not play the role of electromechanical energy conversion, so its influence is ignored here.
3.1.2. Orientation of the Inductance
According to the traditional dq-axis orientation theory, the purpose of the inductance orientation is to achieve the decoupling of the inductance, that is, the mutual inductance is 0. According to this idea, the inductance orientation was carried out according to the principle of the smallest mutual inductance of dqL-axis. And the objective function can be expressed as:
where
where Lii is the self-inductance of winding i; Mij is the mutual inductance of winding i and j, and θL is the transform angle for inductance.
It is worth mentioning that in (7), due to the symmetry of the magnetic circuit, there are four θL that satisfy the first equation. Thus the second formula is added as a further constraint. Meanwhile, considering that the formula of the induced voltage is u = L(di/dt), that is, the induced voltage is proportional to the first power of the inductance, so the decoupling effect is the best when n = 1 in (7).
After the scan, θL was identified to 173.66° (electrical degree). The transformation effect is shown in Figure 9.
Figure 9.
Inductance waveforms (a) ABC coordinate system; (b) dqL coordinate system.
As shown in Figure 9, a transformation of the irregular three-phase inductance into a relatively constant dq-axis inductance is achieved by an appropriate selection of θL. Among them, the average value of the direct axis inductance Ld_L is 0.0845 H, while the quadrature axis inductance Lq_L is 0.237 H, and the mutual inductance of the quadrature axis and the direct axis is approximately 0.
3.1.3. Mathematical Model Equation
To sum up, the orientation position of each electrical quantity are shown in Figure 10b, which is compared with the basic model in Figure 10a. As can be seen from Figure 10, the flux linkage of the optimal model is shifted to the q-axis, which is in line with the design concept described in Section 2.2.
Figure 10.
Quadrature axis, direct axis and flux linkage orientation (a) Basic model; (b) Optimal model.
In the SIPM, the voltage equation of the three-phase winding can be expressed as
where uA, uB, uC are the three-phase voltage of motor; R is phase resistance, and iA, iB, iC are the three-phase current.
After ignoring the fluctuations of flux and inductance in the dqf or dqL coordinate system, the differential term on the right-hand side of (8) is transformed using the Park transform to
Therefore, the flux linkage equation of the optimal model is obtained as:
where θs = θf − θm, ψd_L and ψq_L are the total flux linkages in the dL and qL directions, respectively.
(8) is transformed using the Park transform to
Therefore, the voltage equation can be expressed as:
where ωe is the electrical angular velocity of the motor (rad/s), and ud_L, uq_L are the dL-axis and qL-axis voltage in the dqL coordinate system, respectively.
The electromagnetic torque can be expressed as:
3.2. Design of the Motor Control System
To reduce copper loss and enable the motor to output rated torque, it is necessary to identify the MTPA curve of the motor, which is finding the minimum value of id_L2 + iq_L2 under a certain Te. To solve this problem, the Lagrange’s extreme value theorem was employed and the Lagrange multiplier λ was taken to establish the auxiliary function F, which is:
According to the Lagrange’s extreme value theorem, the required relationship between iq_L and id_L is the extreme value point of the function F, which can be expressed as:
By substituting the data and discarding the root, the solution was obtained as:
The current trajectory at this time is shown in Figure 11a, where the brown line is the current trajectory with the condition of MTPA, and the other lines are the torque contour lines.
Figure 11.
Current trajectory in MTPA state (a) contour map (b) look-up table.
To further obtain the relationship between torque and current, (13) and (16) need to be combined. However, this will result in a higher-order equation, and the solution of it will cause a large computational burden in the control system. To solve this problem, the relationship between Te, id_L, and iq_L is obtained by the numerical method, and the results are shown in Figure 11b.
In summary, the control system of the optimal model is established as shown in Figure 12, where θe is the angle between the +A-axis and the dL-axis. The parameters of the proposed control system are shown in Table 4. As a comparison, the conventional MTPA control system is established, and the system parameters are consistent with those shown in Table 4. It is worth mentioning that the conventional scheme locates the d-axis at the position of ψd_f, and the dq-axis given current meets (17) [20,21].
where , are the dq-axis given current of the conventional MTPA control system.
Figure 12.
Block diagram of the optimal model control system.
Table 4.
Parameters of the control system.
3.3. Simulation Results
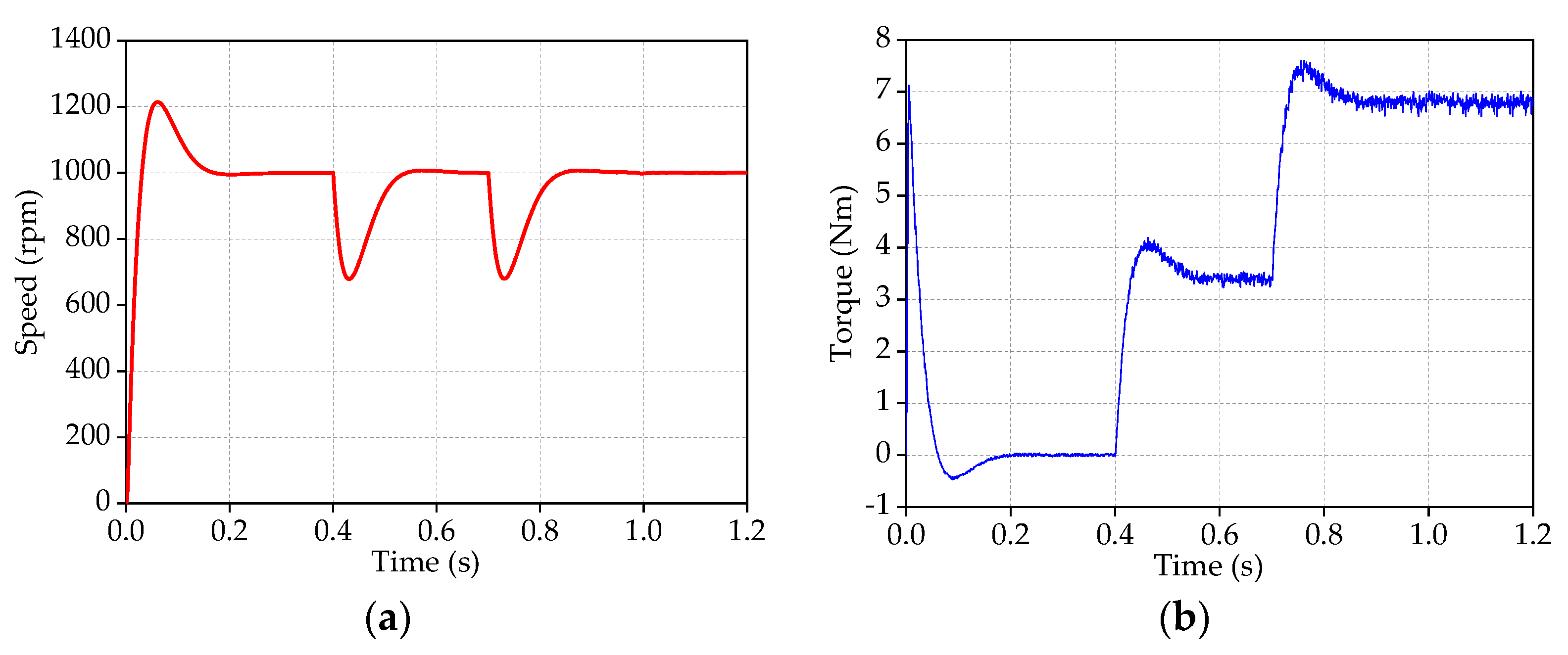
The control systems of proposed system and conventional MTPA system were started at a given speed of 1000 rpm, loaded half of the rated torque at 0.4 s, and loaded with the rated torque at 0.8 s. The response of the proposed system is shown in Figure 13. The response of the conventional system is shown in Figure 14.

Figure 13.
Response waveform of the system (a) Speed response; (b) Torque response; (c) Current response.
Figure 14.
Response waveform of the conventional system (a) Speed response; (b) Torque response; (c) Current response.
As shown in Figure 13a, the proposed system only takes about 0.05 s to reach the rated speed, which fully reflects the advantages of the rapid acceleration due to its high torque density. During the loading process, the system only takes about 0.15 s to recover to a steady state, so the dynamic performance is excellent. In the steady state, the given speed can be tracked without error. As shown in Figure 13c and Figure 14c, when the rated load is loaded at rated speed, the peak current values of the conventional and proposed control system are 5.39 A and 4.38 A, respectively, which indicates that the proposed system has a higher TPA. It is worth mentioning that during the no-load state, the conventional control system still has current output of about 1.61 A peak value, which is due to the fact that the current output is needed to cancel the effects caused by the flux offset. What’s more, the current peak value in the rated state of the proposed system is 4.38 A, so the error is only 0.38 A compared with the FEA. This is because the influence of harmonic magnetic fields is ignored in the modeling process, which also generates torque. However, this slight error can be canceled by an integral part of the PI controller in the real system. Therefore, the simulation results fully prove the accuracy of the modeling and the effectiveness of the control system.
4. Conclusions
In this paper, an optimal design and a control system for the SIPM were proposed using asymmetric barriers to improve torque density by approximating the maximum value of the magnetic torque and the reluctance torque. Based on the FEA results, compared with the basic model, it was found that the torque density, power and efficiency of the proposed model increased by 14.6%, 3.5% and 0.16%, respectively, and the torque ripple decreased by 1.7%. After optimization, the torque density of the optimal model has increased by 16.4% compared with the basic model. As shown in simulation results, compared to the conventional control system, the proposed control system saves 18.7% current when outputting rated torque. And the proposed control system took only 0.05 s to reach the rated speed. The current error was only 0.38 A compared with the FEA, which can be canceled by PI controller in the real system.
Author Contributions
Conceptualization, W.Z. and H.W.; methodology, W.Z. and H.W.; software, H.W. and G.Z.; validation, H.W., W.Z. and G.Z.; formal analysis, H.W.; investigation, W.Z.; resources, G.Z.; data curation, H.W. and G.Z.; writing—original draft preparation, H.W. and G.Z.; writing—review and editing, W.Z. and M.L.; visualization, W.Z. and M.L.; supervision, W.Z. and M.L.; project administration, W.Z. and M.L.; funding acquisition, W.Z. and M.L. All authors have read and agreed to the published version of the manuscript.
Funding
This research was supported by the National Natural Science Foundation of China under Grant 51737008 and Grant 52077123, and the Natural Science Foundation of Shandong Province of China for Outstanding Young Scholars under Grant ZR2021YQ35.
Institutional Review Board Statement
Not applicable.
Informed Consent Statement
Not applicable.
Data Availability Statement
The original data supporting the conclusion of this paper can bedirectly provided by authors.
Conflicts of Interest
The authors declare no conflict of interest.
References
- Zhao, W.L.; Chen, D.Z.; Thomas, A.L.; Byung, I.K. Dual airgap stator- and rotor-permanent magnet machines with spoke-type configurations using phase-group concentrated coil windings. IEEE Trans. Ind. Appl. 2017, 53, 3327–3335. [Google Scholar] [CrossRef]
- Chen, D.Z.; Diao, C.W.; Feng, Z.Y.; Zhang, S.C.; Zhao, W.L. Study and design of dual stator permanent magnet machine with spoke-type configurations using phase-group concentrated-coil windings. Int. J. Appl. Electromagn. Mech. 2020, 64, 1381–1389. [Google Scholar] [CrossRef]
- Zhao, S.H.; Chen, J.H.; Gao, Y.P.; Zhang, C. Harmonic and vibration analysis of dual three-phase pmsm with one-phase open circuit fault. Symmetry 2022, 14, 290. [Google Scholar] [CrossRef]
- Maraaba, L.S.; Twaha, S.; Memon, A.; Al-Hamouz, Z. Recognition of stator winding inter-turn fault in interior-mount LSPMSM using acoustic signals. Symmetry 2020, 12, 1370. [Google Scholar] [CrossRef]
- David, G.D.; Min, F.H.; Mircea, P.; Lyndon, E.; David, A.S.; Vic, G. A review of the design issues and techniques for radial-flux brushless surface and internal rare-earth permanent-magnet motors. IEEE Trans. Ind. Electron. 2011, 58, 3741–3757. [Google Scholar]
- Zhao, W.L.; Byung, I.K. Cost-effective permanent magnet shape for reducing cogging torque and torque ripple in surface-mounted permanent magnet machines. Int. J. Appl. Electromagn. Mech. 2016, 52, 817–825. [Google Scholar] [CrossRef]
- Li, J.; Huang, X.Z.; Zhou, B.; Liu, Y.S.; Wang, Z. Research on segmented primary consequent-pole permanent magnet linear synchronous motor with symmetric and periodic end force. Symmetry 2021, 13, 2374. [Google Scholar] [CrossRef]
- Xu, G.H.; Liu, G.H.; Zhao, W.X.; Chen, Q.; Du, X.X. Principle of torque-angle approaching in a hybrid rotor permanent-magnet motor. IEEE Trans. Ind. Electron. 2019, 66, 2580–2591. [Google Scholar] [CrossRef]
- Liu, G.H.; Xu, G.H.; Zhao, W.X.; Du, X.X.; Chen, Q. Improvement of torque capability of permanent-magnet motor by using hybrid rotor configuration. IEEE Trans. Energy Convers. 2017, 32, 953–962. [Google Scholar] [CrossRef]
- Ibrahim, M.; Pillay, P. Aligning the reluctance and magnet torque in permanent magnet synchronous motors for improved performance. In Proceedings of the 2018 IEEE Energy Conversion Congress and Exposition (ECCE), Portland, OR, USA, 23–27 September 2018; pp. 2286–2291. [Google Scholar] [CrossRef]
- Zhao, W.; Zhao, F.; Lipo, T.A.; Kwon, B.I. Optimal design of a novel V-type interior permanent magnet motor with assisted barriers for the improvement of torque characteristics. IEEE Trans. Magn. 2014, 50, 8104504. [Google Scholar] [CrossRef]
- Yang, H.; Wang, W.J.; Lin, H.Y.; Zhu, Z.Q.; Lyu, S.K.; Niu, S.X. A novel hybrid-pole interior PM machine with magnet-axis-shifting effect. In Proceedings of the 2019 IEEE International Electric Machines & Drives Conference (IEMDC), San Diego, CA, USA, 12–15 May 2019; pp. 273–279. [Google Scholar] [CrossRef]
- Rajkumar, S.; Raman, K.S.; Balaji, D.; Kannan, S. High torque to weight ratio and cost estimation of cage induction motor with finite element method for hybrid vehicle. In Proceedings of the 2017 International Conference on Innovative Research In Electrical Sciences (IICIRES), Nagapattinam, India, 16–17 June 2017. [Google Scholar] [CrossRef]
- Takahashi, T.; Takemoto, M.; Ogasawara, S.; Hino, W.; Takezaki, K. Size and weight reduction of an in-wheel axial-gap motor using ferrite permanent magnets for electric commuter cars. IEEE Trans. Ind. Appl. 2017, 53, 3927–3935. [Google Scholar] [CrossRef]
- Guedes-Pinto, P. An axial-flux motor for an electrified world: It combines the best of two motor designs to save weight and energy. IEEE Spectrum 2022, 59, 38–43. [Google Scholar] [CrossRef]
- Yoon, K.; Hwang, K. Optimal design of spoke-type IPM motor allowing irreversible demagnetization to minimize PM weight. IEEE Access 2021, 9, 65721–65729. [Google Scholar] [CrossRef]
- Belkhier, Y.; Achour, A.; Hamoudi, F.; Ullah, N.; Mendil, B. Robust energy-based nonlinear observer and voltage control for grid-connected permanent magnet synchronous generator in the tidal energy conversion system. Int. J. Energy Res. 2021, 45, 13250–13268. [Google Scholar] [CrossRef]
- Belkhier, Y.; Shaw, R.N.; Bures, M.; Islam, M.R.; Bajaj, M.; Albalawi, F.; Alqurashi, A.; Ghoneim, S.S.M. Robust interconnection and damping assignment energy-based control for a permanent magnet synchronous motor using high order sliding mode approach and nonlinear observer. Energy Rep. 2022, 8, 1731–1740. [Google Scholar] [CrossRef]
- Dianov, A.; Tinazzi, F.; Calligaro, S.; Bolognani, S. Review and Classification of MTPA Control Algorithms for Synchronous Motors. IEEE Trans. Power Electr. 2022, 37, 3990–4007. [Google Scholar] [CrossRef]
- Uddin, M.N.; Radwan, T.S.; Rahman, M.A. Performance of Interior Permanent Magnet Motor Drive Over Wide Speed Range. IEEE Trans. Energy Convers. 2002, 17, 79–84. [Google Scholar] [CrossRef]
- Pan, C.T.; Sue, S.M. A Linear Maximum Torque Per Ampere Control for IPMSM Drives Over Full-speed Range. IEEE Trans. Energy Convers. 2005, 20, 359–366. [Google Scholar] [CrossRef]
- Thike, R.; Pillay, P. Mathematical model of an interior pmsm with aligned magnet and reluctance torques. IEEE Trans. Trans. Electrif. 2020, 6, 647–658. [Google Scholar] [CrossRef]
Publisher’s Note: MDPI stays neutral with regard to jurisdictional claims in published maps and institutional affiliations. |
© 2022 by the authors. Licensee MDPI, Basel, Switzerland. This article is an open access article distributed under the terms and conditions of the Creative Commons Attribution (CC BY) license (https://creativecommons.org/licenses/by/4.0/).















