Accurate Analytical Models of Armature Reaction Field for Multi-Segment Primaries Ironless PMLSM Based on Subdomain Method
Abstract
:1. Introduction
- (1)
- The analytical model can quantitatively analyze the coupling effect and end effect on the armature reaction field. Therefore, the accurate armature reaction field of the TSP ironless PMLSM in the initial design stage can be rapidly obtained.
- (2)
- The accurate analytical models of the armature reaction field can be used to derive inductances, which facilitate the high-precision control of the TSP ironless PMLSM.
2. Motor Structure and Armature Winding Current Modeling
3. Analytical Solutions of Armature Reaction Field
3.1. Governing Equations
3.2. Boundary Conditions
3.3. Final Results
4. Inductance Calculation
5. FEM, Analytical, and Experiment Verification
5.1. Armature Reaction Field Validation without Coupling Effect
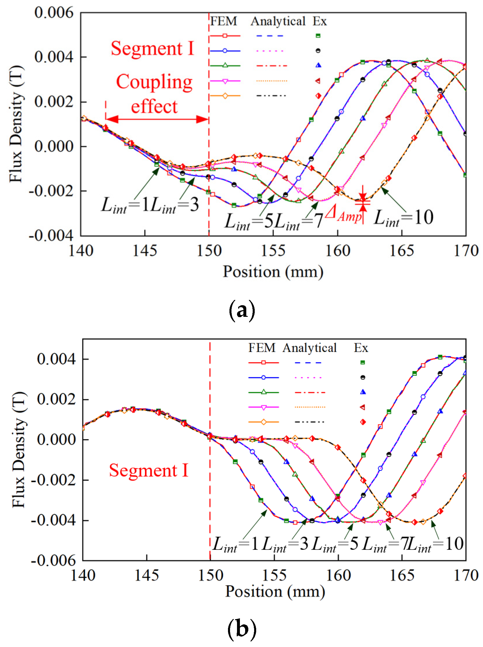
5.2. Armature Reaction Field Validation with Coupling Effect
5.3. Comparisons of Inductance Calculation with FEM, Analytical, and Experiment
6. Conclusions
- (1)
- When the interval distance was greater than 40 mm, there was no coupling effect between the TSP. Meanwhile, the end flux density of the TSP varied exponentially with the position.
- (2)
- When the interval distance was less than 40 mm, there existed a coupling effect especially in 0–10 mm. The coupling effect can influence the tangential air-gap flux density and normal flux density between the TSP. Whereas, the normal air-gap flux density cannot be affected by the coupling effect.
- (3)
- Influenced by the coupling effect, the maximum change rate of the end coupling inductance was about 50.13%. The end coupling inductance varied exponentially with interval distance.
Author Contributions
Funding
Institutional Review Board Statement
Informed Consent Statement
Data Availability Statement
Conflicts of Interest
References
- Li, J.; Huang, X.; Zhou, B.; Liu, Y.S.; Huang, Q. Design Criterion for Dual-Modular Permanent Magnet Linear Synchronous Motor With Long Stroke and High Flexibility. IEEE Trans. Ind. Electron. 2022, 69, 10428–10436. [Google Scholar] [CrossRef]
- Jiang, Q.; Lu, Q. Performance Investigation of a five-phase Multi-segment primary PMLSM for Ropeless Elevator. In Proceedings of the 2018 IEEE International Magnetic Conference (INTERMAG), Singapore, 23–27 April 2018. [Google Scholar] [CrossRef]
- Chung, S.-U.; Lee, H.-J.; Woo, B.-C.; Kim, J.-W.; Lee, J.-Y.; Moon, S.-R.; Hwang, S.-M. A Feasibility Study on a New Doubly Salient Permanent Magnet Linear Synchronous Machine. IEEE Trans. Magn. 2010, 46, 1572–1575. [Google Scholar] [CrossRef]
- Chung, S.-U.; Kim, J.-W.; Woo, B.-C.; Hong, D.-K.; Lee, J.-Y.; Koo, D.-H. Force Ripple and Magnetic Unbalance Reduction Design for Doubly Salient Permanent Magnet Linear Synchronous Motor. IEEE Trans. Magn. 2011, 47, 4207–4210. [Google Scholar] [CrossRef]
- Yan, L.; Li, W.; Jiao, Z.; Hu, H.; Chen, C.-Y.; Chen, I.M. Design and Modeling of Tubular Flux-Switching Permanent Magnet Linear Motor. In Proceedings of the 2014 IEEE Chinese Guidance, Navigation and Control Conference (CGNCC), Yantai, China, 8–10 August 2014; pp. 2799–2804. [Google Scholar]
- Bai, Y.; Yang, T.; Kou, B. Reducing Detent Force and Three-phase Magnetic Paths Unbalance of PM Linear Synchronous Motor Using Modular Primary Iron-Core Structure. In Proceedings of the 2014 17th International Conference on Electrical Machines and Systems (ICEMS), Hangzhou, China, 22–25 October 2014; pp. 1743–1748. [Google Scholar]
- Lu, Q.; Huang, L.; Ye, Y.; Huang, X.; Fang, Y. Design of a novel permanent magnet linear synchronous motor with segmented armature core for ropeless lifter. COMPEL Int. J. Comput. Math. Electr. Electron. Eng. 2016, 35, 556–571. [Google Scholar] [CrossRef]
- Fan, H.; Chau, K.T.; Liu, C.; Cao, L.; Ching, T.W. Quantitative Comparison of Novel Dual-PM Linear Motors for Ropeless Elevator System. IEEE Trans. Magn. 2018, 54, 8106506. [Google Scholar] [CrossRef]
- Lv, G.; Zeng, D.; Zhou, T.; Liu, Z. Investigation of Forces and Secondary Losses in Linear Induction Motor With the Solid and Laminated Back Iron Secondary for Metro. IEEE Trans. Ind. Electron. 2017, 64, 4382–4390. [Google Scholar] [CrossRef]
- Li, J.; Huang, X.; Zhou, B.; Liu, Y.; Wang, Z. Research on Segmented Primary Consequent-Pole Permanent Magnet Linear Synchronous Motor with Symmetric and Periodic End Force. Symmetry 2021, 13, 2374. [Google Scholar] [CrossRef]
- Tan, Q.; Li, L.; Huang, X.; Wang, M.; Yang, R. Analysis of the Detent Force for the Long-Stator Permanent Magnet Linear Synchronous Motor with Modular Mover. In Proceedings of the 2018 21st International Conference on Electrical Machines and Systems (ICEMS), Jeju, Korea, 7–10 October 2018; pp. 1853–1856. [Google Scholar]
- Yao, Y.; Lu, Q. Comparative Study of E-Core and C-Core Modular PM Linear Machines With Different Slot/Pole Combinations. IEEE Trans. Magn. 2017, 53, 8110307. [Google Scholar] [CrossRef]
- Huang, X.Z.; Li, J.; Tan, Q.; Qian, Z.Y.; Zhang, C.; Li, L. Sectional Combinations of the Modular Tubular Permanent Magnet Linear Motor and the Optimization Design. IEEE Trans. Ind. Electron. 2018, 65, 9658–9667. [Google Scholar] [CrossRef]
- Huang, X.Z.; Li, J.; Tan, Q.; Zhang, C.M.; Li, L. Design Principles of a Phase-Shift Modular Slotless Tubular Permanent Magnet Linear Synchronous Motor With Three Sectional Primaries and Analysis of Its Detent Force. IEEE Trans. Ind. Electron. 2018, 65, 9346–9355. [Google Scholar] [CrossRef]
- Tan, Q.; Huang, X.; Li, L.; Wang, M. Analysis of Flux Linkage and Detent Force for a Modular Tubular Permanent Magnet Synchronous Linear Motor With Large Slots. IEEE Trans. Energy. Convers. 2019, 34, 1532–1541. [Google Scholar] [CrossRef]
- Tan, Q.; Huang, X.; Li, L.; Wang, M. Magnetic Field Analysis and Flux Barrier Design for Modular Permanent Magnet Linear Synchronous Motor. IEEE Trans. Ind. Electron. 2020, 67, 3891–3900. [Google Scholar] [CrossRef]
- Wang, H.; Sun, Z.; Zhong, S.; Yan, Y.; Wu, S.; Guo, L. Analytical modelling for magnetic field of interior permanent magnet synchronous motors accounting for bridge saturation. IET Electr. Power Appl. 2022, 16, 844–855. [Google Scholar] [CrossRef]
- Zhang, T.; Mei, X. Research on Detent Force Characteristics of Winding Segmented Permanent Magnet Linear Synchronous Motor Based on Analytical Model. Symmetry 2022, 14, 1049. [Google Scholar] [CrossRef]
- Zhao, S.; Wu, X.; Chen, C. No-load Subdomain Model of Permanent Magnet Motor Based on Equivalent Surface Current Method. In Proceedings of the 2020 23rd International Conference on Electrical Machines and Systems (ICEMS), Hamamatsu, Japan, 24–27 November 2020; pp. 1424–1427. [Google Scholar]
- Chen, F.; Zhang, C.; Chen, J.; Yang, G. Accurate Subdomain Model for Computing Magnetic Field of Short Moving-Magnet Linear Motor With Halbach Array. IEEE Trans. Magn. 2020, 56, 8200509. [Google Scholar] [CrossRef]
- Xie, Z.; Lu, Q.; Mei, W.; Li, Y. Improved Analytical Modeling of a Novel Ironless Linear Synchronous Machine With Asymmetrical Double-Layer Winding Topology. IEEE Trans. Ind. Appl. 2021, 57, 1411–1419. [Google Scholar] [CrossRef]
- Min, S.G. Inductance Calculation of Coreless-Type Linear PM Machines Based on Analytical Field Projection and Coil Separation Method. IEEE Trans. Magn. 2020, 56, 8101511. [Google Scholar] [CrossRef]
- Liu, X.; Hu, H.; Zhao, J.; Belahcen, A.; Tang, L. Armature Reaction Field and Inductance Calculation of Ironless BLDC Motor. IEEE Trans. Magn. 2016, 52, 8200214. [Google Scholar] [CrossRef]
- Shin, K.-H.; Cho, H.-W.; Lee, S.-H.; Choi, J.-Y. Armature Reaction Field and Inductance Calculations for a Permanent Magnet Linear Synchronous Machine Based on Subdomain Model. IEEE Trans. Magn. 2017, 53, 8105804. [Google Scholar] [CrossRef]
- Yan, L.; Zhang, L.; Jiao, Z.; Hu, H.; Chen, C.-Y.; Chen, I.M. Armature Reaction Field and Inductance of Coreless Moving-Coil Tubular Linear Machine. IEEE Trans. Ind. Electron. 2014, 61, 6956–6965. [Google Scholar] [CrossRef]










| Parameters | Values | Parameters | Values |
|---|---|---|---|
| p: pole pairs | 28 | Q: virtual slot numbers | 24 |
| τ: pole pitch | 10 mm | bt: Width of virtual slot | 11.667 mm |
| τm: width of PM | 8 mm | d: width of one-sided coil | 3.945 mm |
| hm: height of PM | 5 mm | NS: number of turns per coil | 60 |
| hc: height of coil | 5.4 mm | D: width of total coil | 7.89 mm |
| δ1: upper sided air-gap | 2 mm | δ2: lower sided air-gap | 2 mm |
| Lu: segmented primary | 140 mm | Im: peak current | 1 A |
| x0: initial position | 10 mm | Lef: z-axis length | 23 mm |
| v: rated speed | 30 mm/s | Lint: interval distance | / |
| LAA (μH) | LBB (μH) | LCC (μH) | MAB (μH) | MBC (μH) | MAC (μH) | |
|---|---|---|---|---|---|---|
| FEM | 448.06 | 448.06 | 448.06 | 14.50 | 14.50 | 7.24 |
| Analytical | 448.14 | 448.14 | 448.14 | 14.56 | 14.56 | 7.28 |
| Ex | 447.92 | 447.96 | 447.94 | 14.42 | 14.42 | 7.22 |
| Error 1 | 0.08 | 0.08 | 0.08 | 0.06 | 0.06 | 0.04 |
| Error 2 | 0.22 | 0.18 | 0.2 | 0.14 | 0.14 | 0.06 |
| MAC (μH) | ||||||||
|---|---|---|---|---|---|---|---|---|
| Interval distance (mm) | 0 | 1 | 3 | 5 | 7 | 10 | 20 | 40 |
| FEM | 10.90 | 9.83 | 8.57 | 7.9 | 7.60 | 7.40 | 7.27 | 7.26 |
| Analytical | 10.92 | 9.86 | 8.6 | 7.95 | 7.61 | 7.42 | 7.29 | 7.28 |
| Ex | 10.88 | 9.80 | 8.53 | 7.92 | 7.58 | 7.37 | 7.25 | 7.24 |
| Error 1 | 0.03 | 0.03 | 0.03 | 0.05 | 0.01 | 0.02 | 0.02 | 0.04 |
| Error 2 | 0.05 | 0.06 | 0.07 | 0.03 | 0.03 | 0.05 | 0.04 | 0.06 |
Publisher’s Note: MDPI stays neutral with regard to jurisdictional claims in published maps and institutional affiliations. |
© 2022 by the authors. Licensee MDPI, Basel, Switzerland. This article is an open access article distributed under the terms and conditions of the Creative Commons Attribution (CC BY) license (https://creativecommons.org/licenses/by/4.0/).
Share and Cite
Zhang, F.; Yin, H.; Li, Y. Accurate Analytical Models of Armature Reaction Field for Multi-Segment Primaries Ironless PMLSM Based on Subdomain Method. Symmetry 2022, 14, 2091. https://doi.org/10.3390/sym14102091
Zhang F, Yin H, Li Y. Accurate Analytical Models of Armature Reaction Field for Multi-Segment Primaries Ironless PMLSM Based on Subdomain Method. Symmetry. 2022; 14(10):2091. https://doi.org/10.3390/sym14102091
Chicago/Turabian StyleZhang, Fugang, Haibin Yin, and Yufeng Li. 2022. "Accurate Analytical Models of Armature Reaction Field for Multi-Segment Primaries Ironless PMLSM Based on Subdomain Method" Symmetry 14, no. 10: 2091. https://doi.org/10.3390/sym14102091
APA StyleZhang, F., Yin, H., & Li, Y. (2022). Accurate Analytical Models of Armature Reaction Field for Multi-Segment Primaries Ironless PMLSM Based on Subdomain Method. Symmetry, 14(10), 2091. https://doi.org/10.3390/sym14102091

