Before the Page Time: Maximum Entanglements or the Return of the Monster?
Abstract
1. Introduction
- –A1.
- Unitarity: There is no loss of information from black hole formation to complete evaporation.
- –A2.
- Local quantum field theory: The computation of Hawking radiation is consistent.
- –A3.
- General relativity: Classical description is sufficient unless the curvature is larger than the Planck scale.
- –A4.
- Bekenstein–Hawking entropy as statistical entropy: The Boltzmann entropy carried by a black hole is expressed by , where A denotes the horizon area.
- –A5.
- The existence of an information observer: There exists an observer who can read and distinguish information from Hawking radiation.
- –R1.
- –R2.
- –R3.
- –R4.
- –R5.
- –A1/A3:
- A pair-creation of particles is a unitary process near the horizon and the background is nothing special near the horizon. Hence, the pair-creation process is described by the creation of a separable state (In this paper, we consider the creation of a particle–antiparticle pair (or the combination of many particles as a separable state), where separable state refers to no entanglement between the previous particles (black hole or radiation) and the created particles; however, of course, there must exist entanglements among the created particles).
- –A2:
- All interactions are local. Thus, after the antiparticles fall into the black hole, they only interact with the degrees of freedom inside the black hole (and vice versa). Since there are no interactions between inside and outside the horizon, to preserve maximum entanglements (following the Page argument), the Hawking particles themselves must be maximally entangled.
- –A1/A4:
- After particle emission, the black hole area decreases. Hence, there should exist a unitary annihilation process between antiparticles and the internal degrees of freedom. In other words, there exists a process consisting of the annihilation of a separable state.
2. Preliminarie
2.1. Entropy Increase Due to Hawking Radiation
2.2. Entanglements from Particle Pair-Productions
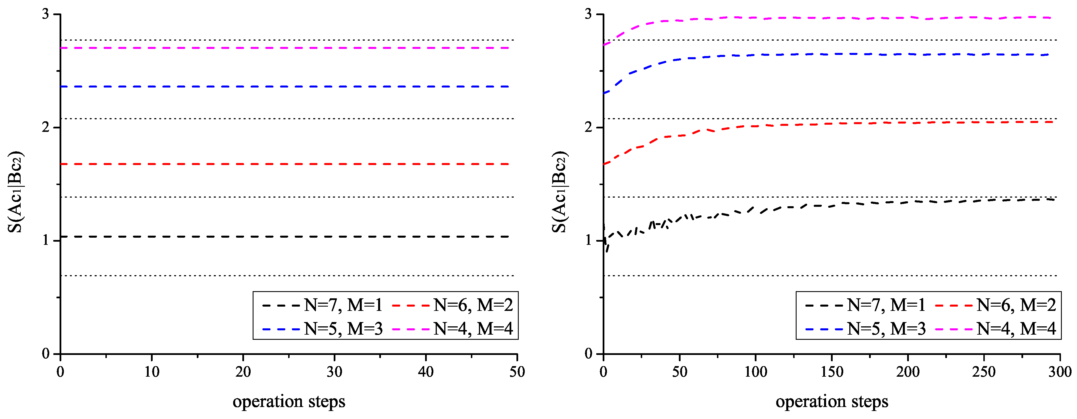
3. Bias from the Page Curve
4. Possible Alternatives
4.1. Information Emission before Page Time
4.2. Firewalls or Non-Local Effects before the Page Time
4.3. Formation of a Monster
- –
- Information of A: .
- –
- Information of B: .
- –
- Mutual information between A and B: .
5. Comments on Recent Developments
6. Conclusions
Author Contributions
Funding
Institutional Review Board Statement
Informed Consent Statement
Data Availability Statement
Conflicts of Interest
Appendix A. Mathematical Prescriptions of Spin-1/2 Systems
Appendix B. Details on the Swap Operation
References
- Hawking, S.W. Breakdown of Predictability in Gravitational Collapse. Phys. Rev. D 1976, 14, 2460. [Google Scholar] [CrossRef]
- Hawking, S.W. Particle Creation by Black Holes. Commun. Math. Phys. 1975, 43, 199, Erratum in: Commun. Math. Phys. 1976, 46, 206. [Google Scholar] [CrossRef]
- Yeom, D.; Zoe, H. Constructing a counterexample to the black hole complementarity. Phys. Rev. D 2008, 78, 104008. [Google Scholar] [CrossRef]
- Hong, S.E.; Hwang, D.; Stewart, E.D.; Yeom, D. The causal structure of dynamical charged black holes. Class. Quant. Grav. 2010, 27, 045014. [Google Scholar] [CrossRef]
- Yeom, D.; Zoe, H. Semi-classical black holes with large N re-scaling and information loss problem. Int. J. Mod. Phys. A 2011, 26, 3287–3314. [Google Scholar] [CrossRef]
- Yeom, D. Reviews and perspectives on black hole complementarity. Int. J. Mod. Phys. Conf. Ser. 2011, 1, 311–316. [Google Scholar] [CrossRef]
- Chen, P.; Ong, Y.C.; Yeom, D. Generalized Uncertainty Principle: Implications for Black Hole Complementarity. J. High Energy Phys. 2014, 2014, 21. [Google Scholar] [CrossRef]
- Susskind, L.; Thorlacius, L.; Uglum, J. The stretched horizon and black hole complementarity. Phys. Rev. D 1993, 48, 3743. [Google Scholar] [CrossRef]
- Almheiri, A.; Marolf, D.; Polchinski, J.; Sully, J. Black Holes: Complementarity or Firewalls? J. High Energy Phys. 2013, 2013, 62. [Google Scholar] [CrossRef]
- Almheiri, A.; Marolf, D.; Polchinski, J.; Stanford, D.; Sully, J. An Apologia for Firewalls. J. High Energy Phys. 2013, 2013, 18. [Google Scholar] [CrossRef]
- Sasaki, M.; Yeom, D. Thin-shell bubbles and information loss problem in anti de Sitter background. J. High Energy Phys. 2014, 2014, 155. [Google Scholar] [CrossRef]
- Ong, Y.C.; Yeom, D. Summary of Parallel Session: “Black Hole Evaporation and Information Loss Paradox. arXiv 2016, arXiv:1602.06600. [Google Scholar]
- Unruh, W.G.; Wald, R.M. On evolution laws taking pure states to mixed states in quantum field theory. Phys. Rev. D 1995, 52, 2176. [Google Scholar] [CrossRef]
- Giddings, S.B. Nonviolent nonlocality. Phys. Rev. D 2013, 88, 064023. [Google Scholar] [CrossRef]
- Maldacena, J.; Susskind, L. Cool horizons for entangled black holes. Fortsch. Phys. 2013, 61, 781–811. [Google Scholar] [CrossRef]
- Page, D.N. Excluding Black Hole Firewalls with Extreme Cosmic Censorship. J. Cosmol. Astropart. Phys. 2014, 2014, 51. [Google Scholar] [CrossRef]
- Thorne, K.S.; Price, R.H.; Macdonald, D.A. Black Holes: The Membrane Paradigm; Yale University Press: New Haven, CT, USA, 1986. [Google Scholar]
- Mathur, S.D. The Fuzzball proposal for black holes: An Elementary review. Fortsch. Phys. 2005, 53, 793–827. [Google Scholar] [CrossRef]
- Chen, P.; Ong, Y.C.; Yeom, D. Black Hole Remnants and the Information Loss Paradox. Phys. Rept. 2015, 603, 1–45. [Google Scholar] [CrossRef]
- Hwang, D.; Yeom, D. Generation of a bubble universe using a negative energy bath. Class. Quant. Grav. 2011, 28, 155003. [Google Scholar] [CrossRef]
- Lee, B.H.; Lee, W.; Yeom, D. Dynamics of false vacuum bubbles in Brans-Dicke theory. J. Cosmol. Astropart. Phys. 2011, 2011, 5. [Google Scholar] [CrossRef]
- Kim, H.; Lee, B.H.; Lee, W.; Lee, Y.J.; Yeom, D. Nucleation of vacuum bubbles in Brans-Dicke type theory. Phys. Rev. D 2011, 84, 023519. [Google Scholar] [CrossRef]
- Lee, B.H.; Lee, W.; Yeom, D. Dynamics of magnetic shells and information loss problem. Phys. Rev. D 2015, 92, 024027. [Google Scholar] [CrossRef]
- Chen, P.; Domènech, G.; Sasaki, M.; Yeom, D. Stationary bubbles and their tunneling channels toward trivial geometry. J. Cosmol. Astropart. Phys. 2016, 2016, 13. [Google Scholar] [CrossRef]
- Chen, P.; Domènech, G.; Sasaki, M.; Yeom, D. Thermal activation of thin-shells in anti-de Sitter black hole spacetime. J. High Energy Phys. 2017, 2017, 134. [Google Scholar] [CrossRef]
- Chen, P.; Sasaki, M.; Yeom, D. Hawking radiation as instantons. Eur. Phys. J. C 2019, 79, 627. [Google Scholar] [CrossRef]
- Bouhmadi-Lopez, M.; Brahma, S.; Chen, C.Y.; Chen, P.; Yeom, D. Annihilation-to-nothing: A quantum gravitational boundary condition for the Schwarzschild black hole. arXiv 2020, arXiv:1911.02129. [Google Scholar] [CrossRef]
- Page, D.N. Average entropy of a subsystem. Phys. Rev. Lett. 1993, 71, 1291. [Google Scholar] [CrossRef] [PubMed]
- Page, D.N. Information in black hole radiation. Phys. Rev. Lett. 1993, 71, 3743. [Google Scholar] [CrossRef]
- Lloyd, S.; Pagels, H. Complexity As Thermodynamic Depth. Ann. Phys. 1988, 188, 186–213. [Google Scholar] [CrossRef]
- Hwang, J.; Lee, D.S.; Nho, D.; Oh, J.; Park, H.; Yeom, D.; Zoe, H. Page curves for tripartite systems. Class. Quant. Grav. 2017, 34, 145004. [Google Scholar] [CrossRef]
- Hwang, J.; Park, H.; Yeom, D.; Zoe, H. How can we erase states inside a black hole? J. Korean Phys. Soc. 2018, 73, 1420–1430. [Google Scholar] [CrossRef]
- Bae, J.M.; Kang, S.; Yeom, D.H.; Zoe, H. Demonstration of the Hayden-Preskill protocol via mutual information. J. Korean Phys. Soc. 2019, 75, 941–947. [Google Scholar] [CrossRef]
- Israel, W. Thermo field dynamics of black holes. Phys. Lett. A 1976, 57, 107–110. [Google Scholar] [CrossRef]
- Bianchi, E.; Dona, P. Typical entanglement entropy in the presence of a center: Page curve and its variance. Phys. Rev. D 2019, 100, 105010. [Google Scholar] [CrossRef]
- Susskind, L.; Thorlacius, L. Gedanken experiments involving black holes. Phys. Rev. D 1994, 49, 966. [Google Scholar] [CrossRef]
- Hong, S.E.; Hwang, D.; Yeom, D.; Zoe, H. Black hole complementarity with local horizons and Horowitz-Maldacena’s proposal. J. High Energy Phys. 2008, 2008, 80. [Google Scholar] [CrossRef]
- Yeom, D.; Zoe, H. Black hole complementarity gets troubled with a dynamical charged black hole. J. Korean Phys. Soc. 2013, 63, 1109. [Google Scholar] [CrossRef]
- Hayden, P.; Preskill, J. Black holes as mirrors: Quantum information in random subsystems. J. High Energy Phys. 2007, 2007, 120. [Google Scholar] [CrossRef]
- Hwang, D.; Lee, B.-H.; Yeom, D. Is the firewall consistent?: Gedanken experiments on black hole complementarity and firewall proposal. J. Cosmol. Astropart. Phys. 2013, 2013, 5. [Google Scholar] [CrossRef][Green Version]
- Kim, W.; Lee, B.-H.; Yeom, D. Black hole complementarity and firewall in two dimensions. J. High Energy Phys. 2013, 2013, 60. [Google Scholar] [CrossRef]
- Lee, B.-H.; Yeom, D. Status report: Black hole complementarity controversy. Nucl. Phys. Proc. Suppl. 2014, 246–247, 178. [Google Scholar] [CrossRef]
- Chen, P.; Ong, Y.C.; Page, D.N.; Sasaki, M.; Yeom, D. Naked Black Hole Firewalls. Phys. Rev. Lett. 2016, 116, 161304. [Google Scholar] [CrossRef] [PubMed]
- Abedi, J.; Dykaar, H.; Afshordi, N. Echoes from the Abyss: Tentative evidence for Planck-scale structure at black hole horizons. Phys. Rev. D 2017, 96, 082004. [Google Scholar] [CrossRef]
- Alonso-Serrano, A.; Visser, M. Entropy/information flux in Hawking radiation. Phys. Lett. B 2018, 776, 10–16. [Google Scholar] [CrossRef]
- Page, D.N. Time Dependence of Hawking Radiation Entropy. J. Cosmol. Astropart. Phys. 2013, 2013, 28. [Google Scholar] [CrossRef]
- Giddings, S.B. Why aren’t black holes infinitely produced? Phys. Rev. D 1995, 51, 6860. [Google Scholar] [CrossRef]
- Engelhardt, N.; Wall, A.C. Quantum Extremal Surfaces: Holographic Entanglement Entropy beyond the Classical Regime. J. High Energy Phys. 2015, 2015, 73. [Google Scholar] [CrossRef]
- Almheiri, A.; Mahajan, R.; Maldacena, J.; Zhao, Y. The Page curve of Hawking radiation from semiclassical geometry. J. High Energy Phys. 2020, 2020, 149. [Google Scholar] [CrossRef]
- Almheiri, A.; Hartman, T.; Maldacena, J.; Shaghoulian, E.; Tajdini, A. Replica Wormholes and the Entropy of Hawking Radiation. J. High Energy Phys. 2020, 2020, 13. [Google Scholar] [CrossRef]
- Chen, P.; Sasaki, M.; Yeom, D.; Yoon, J. Solving information loss paradox via Euclidean path integral. arXiv 2021, arXiv:2111.01005. [Google Scholar]
- Marolf, D.; Maxfield, H. Observations of Hawking radiation: The Page curve and baby universes. J. High Energy Phys. 2021, 2021, 272. [Google Scholar] [CrossRef]
- Buoninfante, L.; Filippo, F.D.; Mukohyama, S. On the assumptions leading to the information loss paradox. J. High Energy Phys. 2021, 2021, 81. [Google Scholar] [CrossRef]








| Number of Particles | Averaged Half-Way Entanglement Entropy | Standard Deviation |
|---|---|---|
| 2 | 0.3533 | 0.1781 |
| 4 | 0.9206 | 0.1062 |
| 6 | 1.5901 | 0.0628 |
| 8 | 2.2727 | 0.0309 |
Publisher’s Note: MDPI stays neutral with regard to jurisdictional claims in published maps and institutional affiliations. |
© 2022 by the authors. Licensee MDPI, Basel, Switzerland. This article is an open access article distributed under the terms and conditions of the Creative Commons Attribution (CC BY) license (https://creativecommons.org/licenses/by/4.0/).
Share and Cite
Bae, J.-M.; Lee, D.J.; Yeom, D.-h.; Zoe, H. Before the Page Time: Maximum Entanglements or the Return of the Monster? Symmetry 2022, 14, 1649. https://doi.org/10.3390/sym14081649
Bae J-M, Lee DJ, Yeom D-h, Zoe H. Before the Page Time: Maximum Entanglements or the Return of the Monster? Symmetry. 2022; 14(8):1649. https://doi.org/10.3390/sym14081649
Chicago/Turabian StyleBae, Jeong-Myeong, Dong Jin Lee, Dong-han Yeom, and Heeseung Zoe. 2022. "Before the Page Time: Maximum Entanglements or the Return of the Monster?" Symmetry 14, no. 8: 1649. https://doi.org/10.3390/sym14081649
APA StyleBae, J.-M., Lee, D. J., Yeom, D.-h., & Zoe, H. (2022). Before the Page Time: Maximum Entanglements or the Return of the Monster? Symmetry, 14(8), 1649. https://doi.org/10.3390/sym14081649

