The Fate of Molecular Species in Water Layers in the Light of Power-Law Time-Dependent Diffusion Coefficient
Abstract
:1. Introduction
2. Numerical Modelling Using COMSOL Multiphysics
3. Anomalous Diffusion of Molecular Species: Fractional Approach
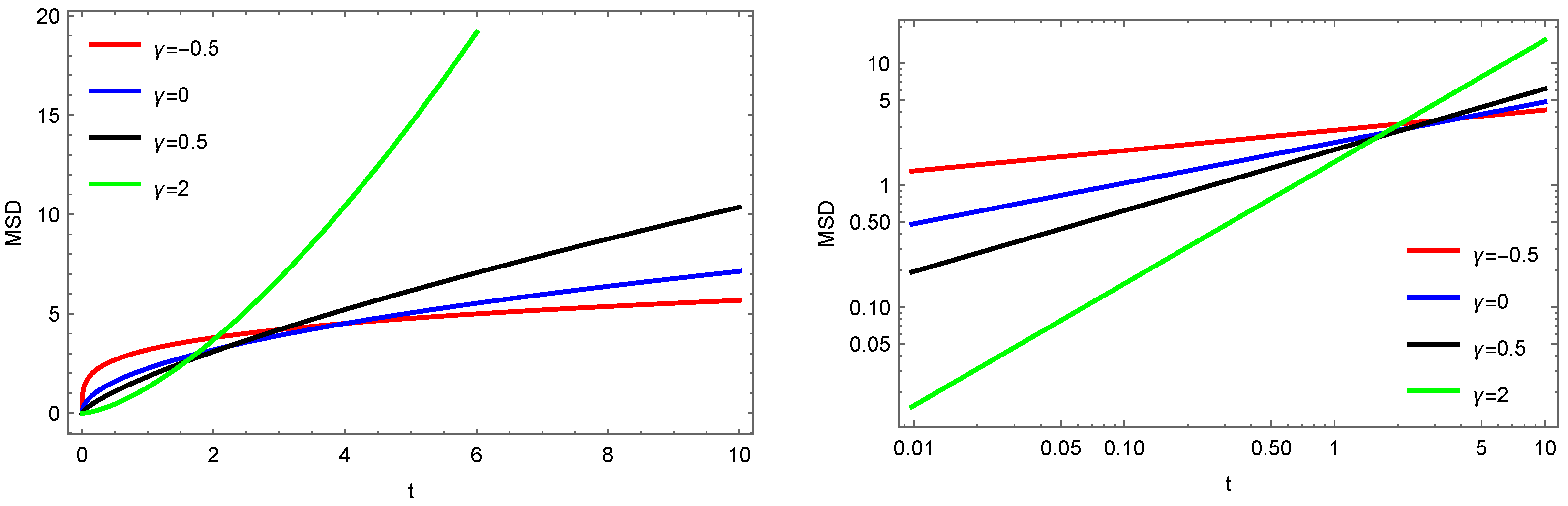
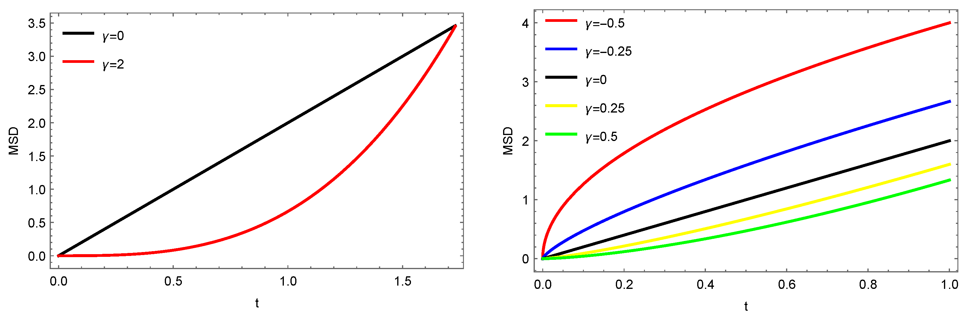
4. Results
5. Conclusions and Future Work
Author Contributions
Funding
Institutional Review Board Statement
Informed Consent Statement
Data Availability Statement
Conflicts of Interest
References
- Laroussi, M. Plasma medicine: A brief introduction. Plasma 2018, 1, 5. [Google Scholar] [CrossRef] [Green Version]
- Fridman, G.; Friedman, G.; Gutsol, A.; Shekhter, A.B.; Vasilets, V.N.; Fridman, A. Applied plasma medicine. Plasma Process. Polym. 2008, 5, 503–533. [Google Scholar] [CrossRef]
- Adamovich, I.; Baalrud, S.; Bogaerts, A.; Bruggeman, P.; Cappelli, M.; Colombo, V.; Czarnetzki, U.; Ebert, U.; Eden, J.; Favia, P.; et al. The 2017 Plasma Roadmap: Low temperature plasma science and technology. J. Phys. D Appl. Phys. 2017, 50, 323001. [Google Scholar] [CrossRef]
- Samukawa, S.; Hori, M.; Rauf, S.; Tachibana, K.; Bruggeman, P.; Kroesen, G.; Whitehead, J.C.; Murphy, A.B.; Gutsol, A.F.; Starikovskaia, S.; et al. The 2012 plasma roadmap. J. Phys. D Appl. Phys. 2012, 45, 253001. [Google Scholar] [CrossRef]
- Yokoyama, T.; Kogoma, M.; Kanazawa, S.; Moriwaki, T.; Okazaki, S. The improvement of the atmospheric-pressure glow plasma method and the deposition of organic films. J. Phys. D Appl. Phys. 1990, 23, 374. [Google Scholar] [CrossRef]
- Fridman, A. Plasma Chemistry; Cambridge University Press: Cambridge, UK, 2008. [Google Scholar]
- El-Kalliny, A.S.; Abd-Elmaksoud, S.; El-Liethy, M.A.; Abu Hashish, H.M.; Abdel-Wahed, M.S.; Hefny, M.M.; Hamza, I.A. Efficacy of Cold Atmospheric Plasma Treatment on Chemical and Microbial Pollutants in Water. ChemistrySelect 2021, 6, 3409–3416. [Google Scholar] [CrossRef]
- Hefny, M.M.; Nečas, D.; Zajíčková, L.; Benedikt, J. The transport and surface reactivity of O atoms during the atmospheric plasma etching of hydrogenated amorphous carbon films. Plasma Sources Sci. Technol. 2019, 28, 035010. [Google Scholar] [CrossRef]
- Kaushik, N.K.; Kaushik, N.; Linh, N.N.; Ghimire, B.; Pengkit, A.; Sornsakdanuphap, J.; Lee, S.J.; Choi, E.H. Plasma and nanomaterials: Fabrication and biomedical applications. Nanomaterials 2019, 9, 98. [Google Scholar] [CrossRef] [Green Version]
- Benedikt, J.; Hefny, M.M.; Shaw, A.; Buckley, B.; Iza, F.; Schäkermann, S.; Bandow, J. The fate of plasma-generated oxygen atoms in aqueous solutions: Non-equilibrium atmospheric pressure plasmas as an efficient source of atomic O (aq). Phys. Chem. Chem. Phys. 2018, 20, 12037–12042. [Google Scholar] [CrossRef] [Green Version]
- Yusupov, M.; Neyts, E.; Simon, P.; Berdiyorov, G.; Snoeckx, R.; Van Duin, A.; Bogaerts, A. Reactive molecular dynamics simulations of oxygen species in a liquid water layer of interest for plasma medicine. J. Phys. D Appl. Phys. 2013, 47, 025205. [Google Scholar] [CrossRef] [Green Version]
- Bogaerts, A.; Yusupov, M.; Razzokov, J.; Van der Paal, J. Plasma for cancer treatment: How can RONS penetrate through the cell membrane? Answers from computer modeling. Front. Chem. Sci. Eng. 2019, 13, 253–263. [Google Scholar] [CrossRef]
- Amhamed, A.; Atilhan, M.; Berdiyorov, G. Permeabilities of CO2, H2S and CH4 through choline-based ionic liquids: Atomistic-scale simulations. Molecules 2019, 24, 2014. [Google Scholar] [CrossRef] [PubMed] [Green Version]
- Rais, D.; Menšik, M.; Paruzel, B.; Toman, P.; Pfleger, J. Concept of the time-dependent diffusion coefficient of polarons in organic semiconductors and its determination from time-resolved spectroscopy. J. Phys. Chem. C 2018, 122, 22876–22883. [Google Scholar] [CrossRef]
- Cherstvy, A.G.; Safdari, H.; Metzler, R. Anomalous diffusion, nonergodicity, and ageing for exponentially and logarithmically time-dependent diffusivity: Striking differences for massive versus massless particles. J. Phys. D Appl. Phys. 2021, 54, 195401. [Google Scholar] [CrossRef]
- Crank, J. The Mathematics of Diffusion; Oxford University Press: Oxford, UK, 1979. [Google Scholar]
- Garra, R.; Giusti, A.; Mainardi, F. The fractional Dodson diffusion equation: A new approach. Ric. Mat. 2018, 67, 899–909. [Google Scholar] [CrossRef] [Green Version]
- Tawfik, A.M.; Hefny, M.M. Subdiffusive Reaction Model of Molecular Species in Liquid Layers: Fractional Reaction-Telegraph Approach. Fractal Fract. 2021, 5, 51. [Google Scholar] [CrossRef]
- Hefny, M.M.; Pattyn, C.; Lukes, P.; Benedikt, J. Atmospheric plasma generates oxygen atoms as oxidizing species in aqueous solutions. J. Phys. D Appl. Phys. 2016, 49, 404002. [Google Scholar] [CrossRef]
- Batchelor, G. Diffusion in a field of homogeneous turbulence: II. The relative motion of particles. In Mathematical Proceedings of the Cambridge Philosophical Society; Cambridge University Press: Cambridge, UK, 1952; Volume 48, pp. 345–362. [Google Scholar]
- Nagy, Á.; Omle, I.; Kareem, H.; Kovács, E.; Barna, I.F.; Bognar, G. Stable, Explicit, Leapfrog-Hopscotch Algorithms for the Diffusion Equation. Computation 2021, 9, 92. [Google Scholar] [CrossRef]
- Metzler, R.; Klafter, J. From a generalized chapman- kolmogorov equation to the fractional klein- kramers equation. J. Phys. Chem. B 2000, 104, 3851–3857. [Google Scholar] [CrossRef]
- Metzler, R.; Klafter, J. The random walk’s guide to anomalous diffusion: A fractional dynamics approach. Phys. Rep. 2000, 339, 1–77. [Google Scholar] [CrossRef]
- Evangelista, L.R.; Lenzi, E.K. Fractional Diffusion Equations and Anomalous Diffusion; Cambridge University Press: Cambridge, UK, 2018. [Google Scholar]
- Bologna, M.; Svenkeson, A.; West, B.J.; Grigolini, P. Diffusion in heterogeneous media: An iterative scheme for finding approximate solutions to fractional differential equations with time-dependent coefficients. J. Comput. Phys. 2015, 293, 297–311. [Google Scholar] [CrossRef]
- Fa, K.S.; Lenzi, E. Time-fractional diffusion equation with time dependent diffusion coefficient. Phys. Rev. E 2005, 72, 011107. [Google Scholar] [CrossRef] [PubMed]
- Almeida, R. A Caputo fractional derivative of a function with respect to another function. Commun. Nonlinear Sci. Numer. Simul. 2017, 44, 460–481. [Google Scholar] [CrossRef] [Green Version]
- Tawfik, A.M.; Abdelhamid, H.M. Generalized fractional diffusion equation with arbitrary time varying diffusivity. Appl. Math. Comput. 2021, 410, 126449. [Google Scholar] [CrossRef]
- Rabanimehr, F.; Farhadian, M.; Solaimany Nazar, A.R.; Behineh, E.S. Simulation of photocatalytic degradation of methylene blue in planar microreactor with integrated ZnO nanowires. J. Appl. Res. Water Wastewater 2021, 8, 36–40. [Google Scholar]
- Janczarek, M.; Kowalska, E. Computer simulations of photocatalytic reactors. Catalysts 2021, 11, 198. [Google Scholar] [CrossRef]
- Hasanpour, M.; Motahari, S.; Jing, D.; Hatami, M. Numerical modeling for the photocatalytic degradation of methyl orange from aqueous solution using cellulose/zinc oxide hybrid aerogel: Comparison with experimental data. Top. Catal. 2021, 1–14. [Google Scholar] [CrossRef]
- Klafter, J.; Silbey, R. Derivation of the continuous-time random-walk equation. Phys. Rev. Lett. 1980, 44, 55. [Google Scholar] [CrossRef] [Green Version]
- Lutz, E. Fractional langevin equation. In Fractional Dynamics: Recent Advances; World Scientific: Singapore, 2012; pp. 285–305. [Google Scholar]
- Gorenflo, R.; Kilbas, A.A.; Mainardi, F.; Rogosin, S.V. Mittag-Leffler Functions, Related Topics and Applications; Springer: Berlin/Heidelberg, Germany, 2014. [Google Scholar]
- Mainardi, F.; Pagnini, G. The Wright functions as solutions of the time-fractional diffusion equation. Appl. Math. Comput. 2003, 141, 51–62. [Google Scholar] [CrossRef] [Green Version]
- Wang, K.; Lung, C. Long-time correlation effects and fractal Brownian motion. Phys. Lett. A 1990, 151, 119–121. [Google Scholar] [CrossRef]
- Wang, W.; Cherstvy, A.G.; Liu, X.; Metzler, R. Anomalous diffusion and nonergodicity for heterogeneous diffusion processes with fractional Gaussian noise. Phys. Rev. E 2020, 102, 012146. [Google Scholar] [CrossRef] [PubMed]
- Cordeiro, R.M.; Yusupov, M.; Razzokov, J.; Bogaerts, A. Parametrization and molecular dynamics simulations of nitrogen oxyanions and oxyacids for applications in atmospheric and biomolecular sciences. J. Phys. Chem. B 2020, 124, 1082–1089. [Google Scholar] [CrossRef] [PubMed]









| Element Type | Number |
|---|---|
| Triangles | 5034 |
| Edge elements | 240 |
| Vertex element | 4 |
| Number of elements | 5034 |
| Element area ratio | 0.3717 |
| Mesh area | 5 m |
| Average element quality | 0.9457 |
Publisher’s Note: MDPI stays neutral with regard to jurisdictional claims in published maps and institutional affiliations. |
© 2022 by the authors. Licensee MDPI, Basel, Switzerland. This article is an open access article distributed under the terms and conditions of the Creative Commons Attribution (CC BY) license (https://creativecommons.org/licenses/by/4.0/).
Share and Cite
Hefny, M.M.; Tawfik, A.M. The Fate of Molecular Species in Water Layers in the Light of Power-Law Time-Dependent Diffusion Coefficient. Symmetry 2022, 14, 1146. https://doi.org/10.3390/sym14061146
Hefny MM, Tawfik AM. The Fate of Molecular Species in Water Layers in the Light of Power-Law Time-Dependent Diffusion Coefficient. Symmetry. 2022; 14(6):1146. https://doi.org/10.3390/sym14061146
Chicago/Turabian StyleHefny, Mohamed Mokhtar, and Ashraf M. Tawfik. 2022. "The Fate of Molecular Species in Water Layers in the Light of Power-Law Time-Dependent Diffusion Coefficient" Symmetry 14, no. 6: 1146. https://doi.org/10.3390/sym14061146
APA StyleHefny, M. M., & Tawfik, A. M. (2022). The Fate of Molecular Species in Water Layers in the Light of Power-Law Time-Dependent Diffusion Coefficient. Symmetry, 14(6), 1146. https://doi.org/10.3390/sym14061146

