Combined Pressure-Driven and Electroosmotic Slip Flow through Elliptic Cylindrical Microchannels: The Effect of the Eccentricity of the Channel Cross-Section
Abstract
1. Introduction
2. Preliminaries on the Elliptic Coordinate System
2.1. Elliptic Coordinates
2.2. Mathieu and Modified Mathieu Functions
3. Mathematical Modeling
4. Boundary Conditions
5. Solutions of the Boundary Value Problem
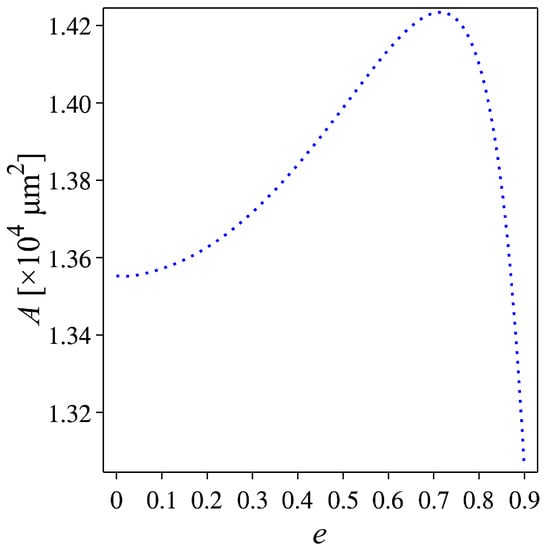
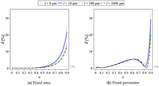
6. Effect of the Eccentricity on Slip Flow
7. Conclusions
Author Contributions
Funding
Institutional Review Board Statement
Informed Consent Statement
Conflicts of Interest
Abbreviations and Nomenclature
Abbreviations
Nomenclature
| A | area of channel cross-section |
| a | semi-major axis of an ellipse |
| separation constant of 2-dimensional wave equation in elliptic coordinates | |
| c | focal length of an ellipse |
| periodic modified Methieu function corresponding to | |
| periodic Methieu function of integral order | |
| E | external electric field in z-direction |
| dimensionless external electric field in z-direction |
| vector of external electric field | |
| e | eccentricity of an ellipse |
| vector of electroosmotic body force | |
| scalar factors/basic vectors for the elliptic coordinates | |
| Boltzmann constant | |
| l | Navier slip length |
| concentration of ions at bulk | |
| P | perimeter of the elliptic cross-section |
| p | pressure |
| pressure gradient in z-direction | |
| dimensionless pressure gradient in z-direction | |
| elementary proton charge | |
| Q | volumetric flow rate per unit area of the channel cross-section |
| dimensionless volumetric flow rate per unit area | |
| dimensionless flow rate in the elliptic channel with the eccentricity equal to i | |
| dimensionless flow rate in the circular channel | |
| T | fluid absolute temperature |
| u | fluid velocity in z-direction |
| dimensionless fluid velocity in z-direction | |
| vector of fluid velocity | |
| Cartesian coordinates | |
| valence of ion | |
| relative error of | |
| fluid permittivity | |
| zeta potential | |
| reciprocal of EDL thickness | |
| fluid viscosity | |
| elliptic coordinate system | |
| boundary interface of the channel | |
| fluid density | |
| ionic charge density of fluid | |
| EDL potential | |
| dimensionless EDL potential |
References
- Xiang, J.; Cai, Z.; Zhang, Y.; Wang, W. A micro-cam actuated linear peristaltic pump for microfluidic applications. Sens. Actuators A Phys. 2016, 251, 20–25. [Google Scholar] [CrossRef]
- Bridle, H.; Wang, W.; Gavriilidou, D.; Amalou, F.; Hand, D.P.; Shu, W. Static mode microfluidic cantilevers for detection of waterborne pathogens. Sens. Actuators A Phys. 2016, 247, 144–149. [Google Scholar] [CrossRef][Green Version]
- Jiemsakul, T.; Manakasettharn, S.; Kanharattanachai, S.; Wanna, Y.; Wangsuya, S.; Pratontep, S. Microfluidic magnetic switching valves based on aggregates of magnetic nanoparticles: Effects of aggregate length and nanoparticle sizes. J. Magn. Magn. Mater. 2017, 422, 434–439. [Google Scholar] [CrossRef]
- Montessori, A.; Lauricella, M.; La Rocca, M.; Succi, S.; Stolovicki, E.; Ziblat, R.; Weitz, D. Regularized lattice Boltzmann multicomponent models for low capillary and Reynolds microfluidics flows. Comput. Fluids 2018, 167, 33–39. [Google Scholar] [CrossRef]
- Ding, R.; Lisak, G. Sponge-based microfluidic sampling for potentiometric ion sensing. Anal. Chim. Acta 2019, 1091, 103–111. [Google Scholar] [CrossRef] [PubMed]
- Streck, S.; Clulow, A.J.; Nielsen, H.M.; Rades, T.; Boyd, B.J.; McDowell, A. The distribution of cell-penetrating peptides on polymeric nanoparticles prepared using microfluidics and elucidated with small angle X-ray scattering. J. Colloid Interface Sci. 2019, 555, 438–448. [Google Scholar] [CrossRef]
- Yan, S.; Chu, F.; Zhang, H.; Yuan, Y.; Huang, Y.; Liu, A.; Wang, S.; Li, W.; Li, S.; Wen, W. Rapid, one-step preparation of SERS substrate in microfluidic channel for detection of molecules and heavy metal ions. Spectrochim. Acta Part A Mol. Biomol. Spectrosc. 2019, 220, 117113. [Google Scholar] [CrossRef]
- Dejam, M. Hydrodynamic dispersion due to a variety of flow velocity profiles in a porous-walled microfluidic channel. Int. J. Heat Mass Transf. 2019, 136, 87–98. [Google Scholar] [CrossRef]
- Tian, C.; Tu, Q.; Liu, W.; Wang, J. Recent advances in microfluidic technologies for organ-on-a-chip. TrAC Trends Anal. Chem. 2019, 117, 146–156. [Google Scholar] [CrossRef]
- Yang, Q.; Ju, D.; Liu, Y.; Lv, X.; Xiao, Z.; Gao, B.; Song, F.; Xu, F. Design of organ-on-a-chip to improve cell capture efficiency. Int. J. Mech. Sci. 2021, 209, 106705. [Google Scholar] [CrossRef]
- Zhao, K.; Peng, Z.; Jiang, H.; Lv, X.; Li, X.; Deng, Y. Shape-coded hydrogel microparticles integrated with hybridization chain reaction and a microfluidic chip for sensitive detection of multi-target miRNAs. Sens. Actuators B Chem. 2022, 361, 131741. [Google Scholar] [CrossRef]
- Walczak, R.; Kawa, B.; Adamski, K. Inkjet 3D printed microfluidic device for growing seed root and stalk mechanical characterization. Sens. Actuators A Phys. 2019, 297, 111557. [Google Scholar] [CrossRef]
- Wei, L.; Fang, G.; Kuang, Z.; Cheng, L.; Wu, H.; Guo, D.; Liu, A. 3D-printed low-cost fabrication and facile integration of flexible epidermal microfluidics platform. Sens. Actuators B Chem. 2022, 353, 131085. [Google Scholar] [CrossRef]
- Maeki, M.; Uno, S.; Niwa, A.; Okada, Y.; Tokeshi, M. Microfluidic technologies and devices for lipid nanoparticle-based RNA delivery. J. Control. Release 2022, 344, 80–96. [Google Scholar] [CrossRef] [PubMed]
- Chhabra, R.; Shankar, V. Coulson and Richardson’s Chemical Engineering, 7th ed.; Butterworth-Heinemann: Oxford, UK, 2018. [Google Scholar]
- Hunter, R.J. Zeta Potential in Colloid Science; Academic Press: Cambridge, MA, USA, 1981. [Google Scholar]
- Bhamidimarri, S.P.; Prajapati, J.D.; van den Berg, B.; Winterhalter, M.; Kleinekathöfer, U. Role of Electroosmosis in the Permeation of Neutral Molecules: CymA and Cyclodextrin as an Example. Biophys. J. 2016, 110, 600–611. [Google Scholar] [CrossRef] [PubMed]
- Yoshida, K.; Sato, T.; Eom, S.I.; wan Kim, J.; Yokota, S. A study on an AC electroosmotic micropump using a square pole—Slit electrode array. Sens. Actuators A Phys. 2017, 265, 152–160. [Google Scholar] [CrossRef]
- Kariminezhad, E.; Elektorowicz, M. Comparison of constant, pulsed, incremental and decremental direct current applications on solid-liquid phase separation in oil sediments. J. Hazard. Mater. 2018, 358, 475–483. [Google Scholar] [CrossRef]
- Mateos, H.; Valentini, A.; Robles, E.; Brooker, A.; Cioffi, N.; Palazzo, G. Measurement of the zeta-potential of solid surfaces through Laser Doppler Electrophoresis of colloid tracer in a dip-cell: Survey of the effect of ionic strength, pH, tracer chemical nature and size. Colloids Surf. A Physicochem. Eng. Asp. 2019, 576, 82–90. [Google Scholar] [CrossRef]
- Moschopoulos, P.; Dimakopoulos, Y.; Tsamopoulos, J. Electro-osmotic flow of electrolyte solutions of PEO in microfluidic channels. J. Colloid Interface Sci. 2020, 563, 381–393. [Google Scholar] [CrossRef]
- Awan, A.U.; Ali, M.; Abro, K.A. Electroosmotic slip flow of Oldroyd-B fluid between two plates with non-singular kernel. J. Comput. Appl. Math. 2020, 376, 112885. [Google Scholar] [CrossRef]
- Mondal, B.; Mehta, S.K.; Pati, S.; Patowari, P.K. Numerical analysis of electroosmotic mixing in a heterogeneous charged micromixer with obstacles. Chem. Eng. Process. Process Intensif. 2021, 168, 108585. [Google Scholar] [CrossRef]
- Siddiqui, A.A.; Lakhtakia, A. Debye-Hückel solution for steady electro-osmotic flow of micropolar fluid in cylindrical microcapillary. Appl. Math. Mech. 2013, 34, 1305–1326. [Google Scholar] [CrossRef][Green Version]
- Tseng, S.; Tai, Y.H.; Hsu, J.P. Ionic current in a pH-regulated nanochannel filled with multiple ionic species. Microfluid. Nanofluid. 2014, 17, 933–941. [Google Scholar] [CrossRef]
- Goswami, P.; Chakraborty, S. Semi-analytical solutions for electroosmotic flows with interfacial slip in microchannels of complex cross-sectional shapes. Microfluid. Nanofluid. 2011, 11, 255–267. [Google Scholar] [CrossRef]
- Chuchard, P.; Orankitjaroen, S.; Wiwatanapataphee, B. Study of pulsatile pressure-driven electroosmotic flows through an elliptic cylindrical microchannel with the Navier slip condition. Adv. Differ. Equ. 2017, 2017, 160. [Google Scholar] [CrossRef][Green Version]
- Arulanandam, S.; Li, D. Liquid transport in rectangular microchannels by electroosmotic pumping. Colloids Surf. A Physicochem. Eng. Asp. 2000, 161, 89–102. [Google Scholar] [CrossRef]
- Reshadi, M.; Saidi, M.H.; Firoozabadi, B.; Saidi, M.S. Electrokinetic and aspect ratio effects on secondary flow of viscoelastic fluids in rectangular microchannels. Microfluid. Nanofluid. 2016, 20, 117. [Google Scholar] [CrossRef]
- McLachlan, N.W. Theory and Application of Mathieu Functions; Clarendon Press: Oxford, UK, 1951. [Google Scholar]
- Liu, B.T.; Tseng, S.; Hsu, J.P. Effect of eccentricity on the electroosmotic flow in an elliptic channel. J. Colloid Interface Sci. 2015, 460, 81–86. [Google Scholar] [CrossRef]
- Numpanviwat, N.; Chuchard, P. Transient Pressure-Driven Electroosmotic Flow through Elliptic Cross-Sectional Microchannels with Various Eccentricities. Computation 2021, 9, 27. [Google Scholar] [CrossRef]
- Zhu, Y.; Granick, S. Rate-dependent slip of Newtonian liquid at smooth surfaces. Phys. Rev. Lett. 2001, 87, 096105. [Google Scholar] [CrossRef]
- Baudry, J.; Charlaix, E.; Tonck, A.; Mazuyer, D. Experimental Evidence for a Large Slip Effect at a Nonwetting Fluid–Solid Interface. Langmuir 2001, 17, 5232–5236. [Google Scholar] [CrossRef]
- Bonaccurso, E.; Kappl, M.; Butt, H.J. Hydrodynamic Force Measurements: Boundary Slip of Water on Hydrophilic Surfaces and Electrokinetic Effects. Phys. Rev. Lett. 2002, 88, 76103. [Google Scholar] [CrossRef] [PubMed]
- Zhang, J.; Kwok, D.Y. Apparent slip over a solid-liquid interface with a no-slip boundary condition. Phys. Rev. E 2004, 70, 56701. [Google Scholar] [CrossRef]
- Chakraborty, J.; Ray, S.; Chakraborty, S. Role of streaming potential on pulsating mass flow rate control in combined electroosmotic and pressure-driven microfluidic devices. Electrophoresis 2012, 33, 419–425. [Google Scholar] [CrossRef] [PubMed]
- Li, D. Electrokinetics in Microfluidics; Interface Science and Technology; Elsevier: Amsterdam, The Netherlands, 2004; Volume 2. [Google Scholar]










| Name | Symbol | Value | SI Unit |
|---|---|---|---|
| Fluid viscosity | Pa s | ||
| Fluid permittivity | F m−1 | ||
| Pressure gradient in z-axis | Pa m−1 | ||
| Reciprocal of EDL thickness | m−1 | ||
| Zeta potential | |||
| External electric field | E | V m−1 |
Publisher’s Note: MDPI stays neutral with regard to jurisdictional claims in published maps and institutional affiliations. |
© 2022 by the authors. Licensee MDPI, Basel, Switzerland. This article is an open access article distributed under the terms and conditions of the Creative Commons Attribution (CC BY) license (https://creativecommons.org/licenses/by/4.0/).
Share and Cite
Chuchard, P.; Numpanviwat, N. Combined Pressure-Driven and Electroosmotic Slip Flow through Elliptic Cylindrical Microchannels: The Effect of the Eccentricity of the Channel Cross-Section. Symmetry 2022, 14, 999. https://doi.org/10.3390/sym14050999
Chuchard P, Numpanviwat N. Combined Pressure-Driven and Electroosmotic Slip Flow through Elliptic Cylindrical Microchannels: The Effect of the Eccentricity of the Channel Cross-Section. Symmetry. 2022; 14(5):999. https://doi.org/10.3390/sym14050999
Chicago/Turabian StyleChuchard, Pearanat, and Nattakarn Numpanviwat. 2022. "Combined Pressure-Driven and Electroosmotic Slip Flow through Elliptic Cylindrical Microchannels: The Effect of the Eccentricity of the Channel Cross-Section" Symmetry 14, no. 5: 999. https://doi.org/10.3390/sym14050999
APA StyleChuchard, P., & Numpanviwat, N. (2022). Combined Pressure-Driven and Electroosmotic Slip Flow through Elliptic Cylindrical Microchannels: The Effect of the Eccentricity of the Channel Cross-Section. Symmetry, 14(5), 999. https://doi.org/10.3390/sym14050999

