Energy Efficiency Optimization Based on Power Allocation in Massive MIMO Downlink Systems
Abstract
:1. Introduction
2. System Model
2.1. Channel Model
2.2. Channel Estimation and Linear Processing
2.3. Downlink Spectral Efficiency
3. Power Consumption Model and Energy Efficiency
3.1. Power Consumption Model
3.2. Downlink Energy Efficiency
4. Dinkelbach-Like Power Allocation
4.1. Transformation of EE Optimization Problem
| Algorithm 1. Dinkelbach’s algorithm |
| Input |
| Output |
| 1: whiledo |
| 6: end while |
4.2. Solution of Auxiliary Sub-Problem
4.2.1. Initialization of the Sub-Problem
4.2.2. Acquisition of KKT Conditions
| Algorithm 2. Bisection for sub-problem |
| Input: Pmax itermax |
| Output: |
| 1: Initialize: compute according to equation (22) |
| 2: while Pmax do |
| 3: compute according to equation (22) |
| 4: end while |
| 5: compute according to equation (22) |
| 6: while Pmax + || Pmax + do |
| 7: if iter > itermax then |
| 8: break |
| 9: end if |
| 10: if Pmax then |
| 11: |
| 12: else |
| 13: |
| 14: end if |
| 15:; compute according to equation (22); iter iter + 1 |
| 16: end while |
| 17: return |
4.3. Iteration of the Parameter
| Algorithm 3. Dinkelbach-like algorithm for power allocation |
| Input: |
| Output: |
| 1: initialize: |
| 2: while do |
| 3: solve the sub-problem according to algorithm 2 |
| 4: |
| 5: |
| 6: |
| 7: end while |
5. Simulation Results and Discussion
5.1. Simulation Parameters
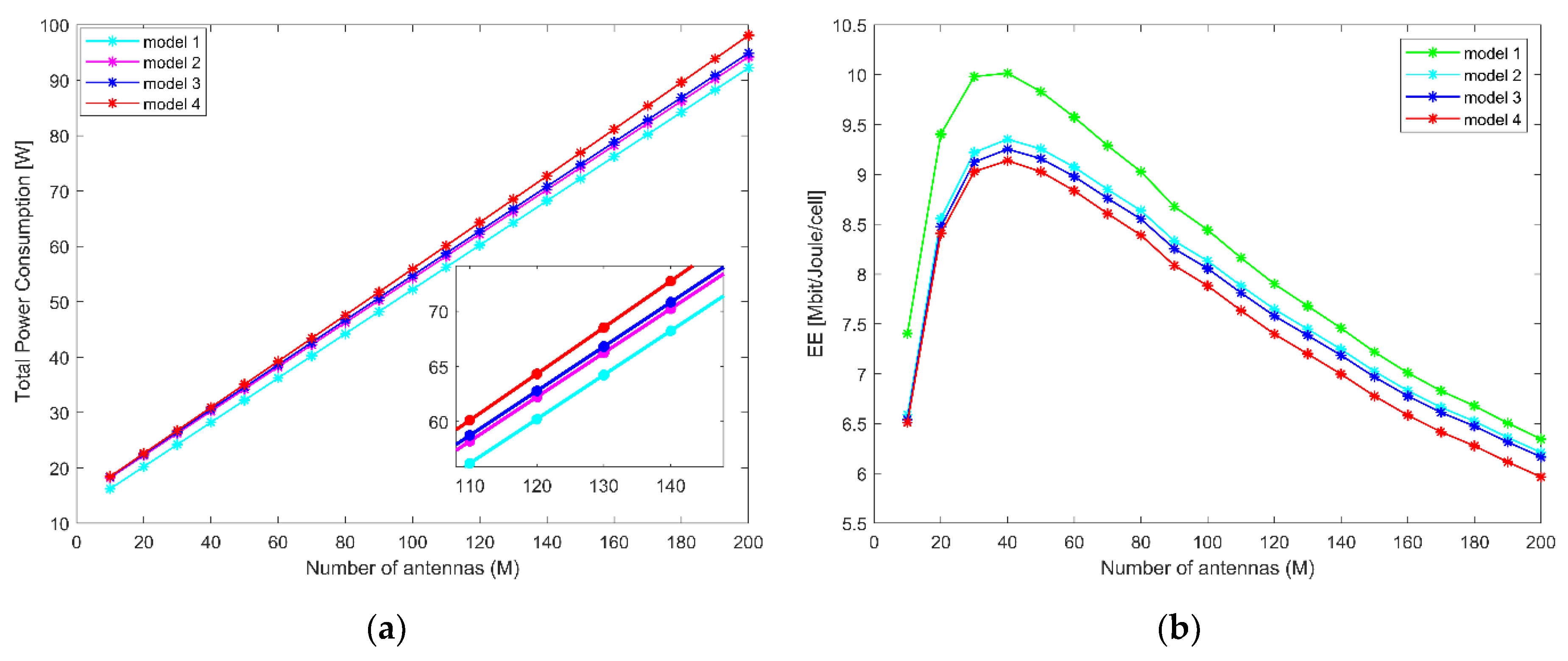
5.2. Analysis of Simulation Results
5.3. Computation Complexity Analysis
6. Conclusions
Author Contributions
Funding
Institutional Review Board Statement
Informed Consent Statement
Data Availability Statement
Conflicts of Interest
References
- Zong, B.; Fan, C.; Wang, X.; Duan, X.; Wang, B.; Wang, J. 6G Technologies: Key Drivers, Core Requirements, System Architectures, and Enabling Technologies. IEEE Veh. Technol. Mag. 2019, 14, 18–27. [Google Scholar] [CrossRef]
- Buzzi, S.; Chih-lin, I.; Klein, T.E.; Poor, H.V.; Yang, C.; Zappone, A. A Survey of Energy-Efficient Techniques for 5G Networks and Challenges Ahead. IEEE J. Sel. Areas Commun. 2016, 34, 697–709. [Google Scholar] [CrossRef] [Green Version]
- Marzetta, T.L. Noncooperative cellular wireless with unlimited numbers of base station antennas. IEEE Trans. Wirel. Commun. 2010, 9, 3590–3600. [Google Scholar] [CrossRef]
- Zappone, A.; Sanguinetti, L.; Bacci, G.; Jorswieck, E.; Debbah, M. Energy-Efficient Power Control: A Look at 5G Wireless Technologies. IEEE Trans. Signal Process. 2016, 64, 1668–1683. [Google Scholar] [CrossRef] [Green Version]
- Khodamoradi, V.; Sali, A.; Messadi, O.; Salah, A.A.; Al-Wani, M.M.; Ali, B.M.; Abdullah, R.S.A.R. Optimal Energy Efficiency Based Power Adaptation for Downlink Multi-Cell Massive MIMO Systems. IEEE Access 2020, 8, 203237–203251. [Google Scholar] [CrossRef]
- Kwon, J.H.; Cho, J.; Yu, B.; Lee, S.; Jung, I.; Hwang, C.; Ko, Y.C. Spectral and energy efficient power allocation for MIMO broadcast channels with individual delay and QoS constraints. J. Commun. Netw. 2020, 22, 390–398. [Google Scholar] [CrossRef]
- Salh, A.; Shah, N.S.M.; Audah, L.; Abdullah, Q.; Jabbar, W.A.; Mohamad, M. Energy-Efficient Power Allocation and Joint User Association in Multiuser-Downlink Massive MIMO System. IEEE Access 2020, 8, 1314–1326. [Google Scholar] [CrossRef]
- Li, H.; Wang, Z.; Wang, H. Power Allocation for an Energy-Efficient Massive MIMO System With Imperfect CSI. IEEE Trans. Green Commun. Netw. 2020, 4, 46–56. [Google Scholar] [CrossRef]
- Zhang, J.; Deng, H.; Li, Y.; Zhu, Z.; Liu, G.; Liu, H. Energy Efficiency Optimization of Massive MIMO System with Uplink Multi-Cell Based on Imperfect CSI with Power Control. Symmetry 2022, 14, 780. [Google Scholar] [CrossRef]
- You, L.; Xiong, J.; Zappone, A.; Wang, W.; Gao, X. Spectral efficiency and energy efficiency tradeoff in massive MIMO downlink transmission with statistical CSIT. IEEE Trans. Signal Process. 2020, 68, 2645–2659. [Google Scholar] [CrossRef] [Green Version]
- Ngo, H.Q.; Larsson, E.G.; Marzetta, T.L. Aspects of favorable propagation in Massive MIMO. In Proceedings of the 2014 22nd European Signal Processing Conference (EUSIPCO), Lisbon, Portugal, 1–5 September 2014; pp. 76–80. [Google Scholar]
- Jin, S.N.; Yue, D.W.; Nguyen, H.H. On the Energy Efficiency of Multi-Cell Massive MIMO With Beamforming Training. IEEE Access 2020, 8, 80739–80754. [Google Scholar] [CrossRef]
- Bonsu, K.A.; Zhou, W.; Pan, S.; Yan, Y. Optimal power allocation with limited feedback of channel state information in multi-user MIMO systems. China Commun. 2020, 17, 163–175. [Google Scholar] [CrossRef]
- Gao, H.; Su, Y.; Zhang, S.; Diao, M. Antenna selection and power allocation design for 5G massive MIMO uplink networks. China Commun. 2019, 16, 1–15. [Google Scholar] [CrossRef]
- Honggui, D.; Jinli, Y.; Gang, L. Enhanced Energy Efficient Power Allocation Algorithm for Massive MIMO Systems. In Proceedings of the 2019 IEEE 11th International Conference on Communication Software and Networks (ICCSN), Chongqing, China, 12–15 June 2019; pp. 280–285. [Google Scholar]
- Paulraj, A.J.; Papadias, C.B. Space-time processing for wireless communications. In Proceedings of the 1997 IEEE International Conference on Acoustics, Speech, and Signal Processing, Munich, Germany, 21–24 April 1997; pp. 49–83. [Google Scholar]
- Emil, B.; Jakob, H.; Luca, S. Massive MIMO Networks: Spectral, Energy, and Hardware Efficiency; Now Publishers Inc.: Delft, The Netherlands, 2017. [Google Scholar]
- Hochwald, B.M.; Marzetta, T.L.; Tarokh, V. Multiple-antenna channel hardening and its implications for rate feedback and scheduling. IEEE Trans. Inf. Theory 2004, 50, 1893–1909. [Google Scholar] [CrossRef]
- Marzetta, T.L. Fundamentals of Massive MIMO; Cambridge University Press: Cambridge, UK, 2016. [Google Scholar]
- Liu, Z.; Li, J.; Sun, D. Circuit Power Consumption-Unaware Energy Efficiency Optimization for Massive MIMO Systems. IEEE Wirel. Commun. Lett. 2017, 6, 370–373. [Google Scholar] [CrossRef]
- Zappone, A.; Jorswieck, E. Energy Efficiency in Wireless Networks via Fractional Programming Theory; Now Publishers Inc.: Delft, The Netherlands, 2015. [Google Scholar]
- Dinkelbach, W. On nonlinear fractional programming. Manag. Sci. 1967, 13, 492–498. [Google Scholar] [CrossRef]
- Ngo, H.Q.; Tran, L.-N.; Duong, T.Q.; Matthaiou, M.; Larsson, E.G. Energy efficiency optimization for cell-free massive MIMO. In Proceedings of the 2017 IEEE 18th International Workshop on Signal Processing Advances in Wireless Communications (SPAWC), Sapporo, Japan, 3–6 July 2017; pp. 1–5. [Google Scholar]
- He, S.; Huang, Y.; Yang, L.; Ottersten, B. Coordinated multicell multiuser precoding for maximizing weighted sum energy efficiency. IEEE Trans. Signal Process. 2013, 62, 741–751. [Google Scholar] [CrossRef]








| Parameter | Value Set 1 | Value Set 2 |
|---|---|---|
| Number of cells | L = 4 | L = 4 |
| Number of UEs per cell | K = 10 | K = 10 |
| Number of Antennas | M = [10,200] | M = [10,200] |
| Channel gain at 1 km | Υ = −148.1 dB | Υ = −148.1 dB |
| Pathloss exponent | α = 3.76 | α = 3.76 |
| Bandwidth | B = 20 MHz | B = 20 MHz |
| Samples per coherence block | = 200 | = 200 |
| Receiver noise power | −94 dBm | −94 dBm |
| Fixed power: | Pfix = 10 W | Pfix = 5 W |
| Power per UE | PUE = 0.2 W | PUE = 0.1 W |
| Power for backhaul traffic | PBH = 0.25 W/(Gbit/s) | PBH = 0.025 W/(Gbit/s) |
| Power for data encoding | PCOD = 0.1 W(Gbit/s) | PCOD = 0.01 W(Gbit/s) |
| Power for data decoding | PDEC = 0.8 W(Gbit/s) | PDEC = 0.8 W(Gbit/s) |
| BS computation efficiency | LBS = 75 Gflops/W | LBS = 750 Gflops/W |
| Power for BS antennas | PBS = 0.4 W | PBS = 0.2 W |
| DL transmit power constraint | Pmax = 1 W | Pmax = 1 W |
| UL transmit power | p = 0.1 W | p = 0.1 W |
Publisher’s Note: MDPI stays neutral with regard to jurisdictional claims in published maps and institutional affiliations. |
© 2022 by the authors. Licensee MDPI, Basel, Switzerland. This article is an open access article distributed under the terms and conditions of the Creative Commons Attribution (CC BY) license (https://creativecommons.org/licenses/by/4.0/).
Share and Cite
Liu, H.; Deng, H.; Yi, Y.; Zhu, Z.; Liu, G.; Zhang, J. Energy Efficiency Optimization Based on Power Allocation in Massive MIMO Downlink Systems. Symmetry 2022, 14, 1145. https://doi.org/10.3390/sym14061145
Liu H, Deng H, Yi Y, Zhu Z, Liu G, Zhang J. Energy Efficiency Optimization Based on Power Allocation in Massive MIMO Downlink Systems. Symmetry. 2022; 14(6):1145. https://doi.org/10.3390/sym14061145
Chicago/Turabian StyleLiu, Hongmei, Honggui Deng, Yougen Yi, Zaoxing Zhu, Gang Liu, and Jie Zhang. 2022. "Energy Efficiency Optimization Based on Power Allocation in Massive MIMO Downlink Systems" Symmetry 14, no. 6: 1145. https://doi.org/10.3390/sym14061145
APA StyleLiu, H., Deng, H., Yi, Y., Zhu, Z., Liu, G., & Zhang, J. (2022). Energy Efficiency Optimization Based on Power Allocation in Massive MIMO Downlink Systems. Symmetry, 14(6), 1145. https://doi.org/10.3390/sym14061145

