Organocatalytic Asymmetric Halocyclization of Allylic Amides to Chiral Oxazolines Using DTBM-SEGPHOS—Mechanistic Implications from Hammett Plots
Abstract
:1. Introduction
2. Results and Discussion
2.1. Synthesis of Substrates
2.2. Suppressing and Promoting the Racemic/Background Halocyclization Reaction
2.3. Screening of Chiral Diphosphines as Organocatalysts
2.4. Influence of the Amide Domain of the Substrate on Enantioselectivity
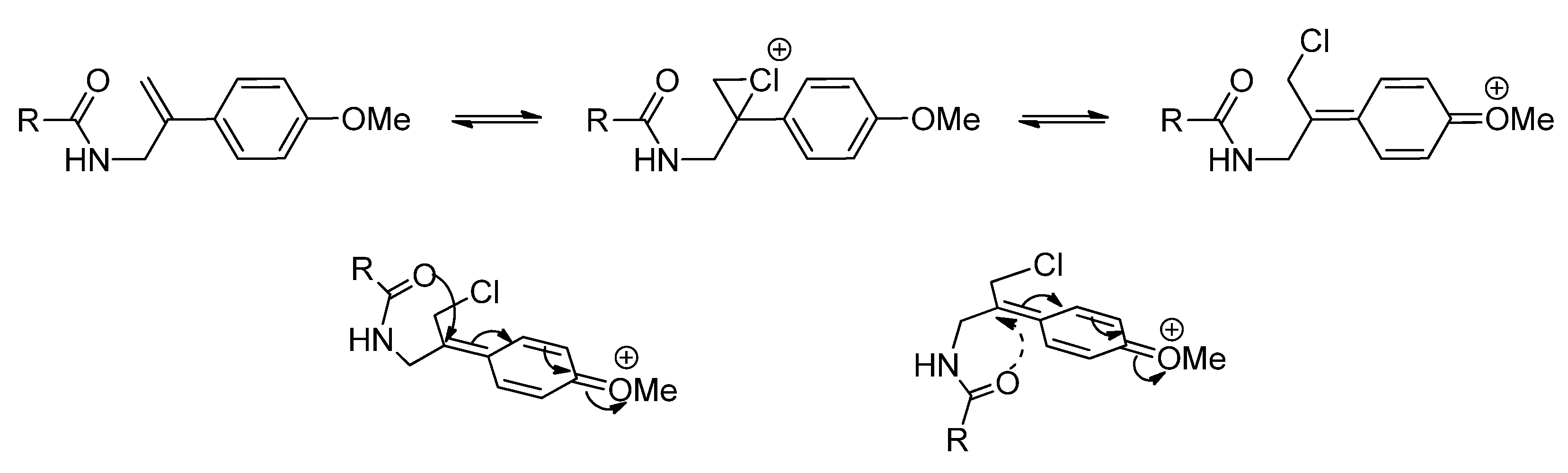
2.5. Influence of the Aryl Substituent in the Alkene Domain
2.6. Investigation of Substrate Scope
3. Conclusions
4. Materials and Methods
4.1. Chemistry Materials and Instrumentation
4.2. Experimental Procedures
4.2.1. General Procedure for the Gem-Selective Heck Reaction
4.2.2. General Procedure for Boc Deprotection
4.2.3. General Procedure for Amide Formation Using Acyl Chlorides
4.2.4. General Procedure for Amide Formation Using Carboxylic Acids
4.2.5. General Procedure for Racemic Halocyclization and Oxazolines
4.2.6. General Procedure for the Asymmetric Halocyclization Reaction
Supplementary Materials
Author Contributions
Funding
Institutional Review Board Statement
Informed Consent Statement
Data Availability Statement
Acknowledgments
Conflicts of Interest
References
- Tahir, S.K.; Nukkala, M.A.; Zielinski Mozny, N.A.; Credo, R.B.; Warner, R.B.; Li, Q.; Woods, K.W.; Claiborne, A.; Gwaltney, S.L., 2nd; Frost, D.J.; et al. Biological activity of A-289099: An orally active tubulin-binding indolyloxazoline deriivative. Mol. Cancer Ther. 2003, 2, 227–233. [Google Scholar] [PubMed]
- Rastelli, E.J.; Coltart, D.M. Asymmetric synthesis of (+)-anti- and (-)-syn-mefloquine hydrochloride. J. Org. Chem. 2016, 81, 9567–9575. [Google Scholar] [CrossRef] [PubMed]
- Gorter de Vries, R.J.; Lafont, S.; de Saint, M.G.; Kozlovic, S. Crystalline Forms of (s)-Afoxolaner. WO 2018187623A1, 26 May 2020. [Google Scholar]
- Feng, X.; Jiang, G.; Xia, Z.; Hu, J.; Wan, X.; Gao, J.M.; Lai, Y.; Xie, W. Total synthesis of (-)-conolutinine. Org. Lett. 2015, 17, 4428–4431. [Google Scholar] [CrossRef] [PubMed]
- Yan, J.; Zhou, Z.; He, Q.; Chen, G.; Wei, H.; Xie, W. The applications of catalytic asymmetric halocyclization in natural product synthesis. Org. Chem. Front. 2022, 9, 499–516. [Google Scholar] [CrossRef]
- Xie, W.; Jiang, G.; Liu, H.; Hu, J.; Pan, X.; Zhang, H.; Wan, X.; Lai, Y.; Ma, D. Highly enantioselective bromocyclization of tryptamines and Its application in the synthesis of (-)-chimonanthine. Angew. Chem. Int. Ed. Engl. 2013, 125, 13162–13165. [Google Scholar] [CrossRef]
- Castellanos, A.; Fletcher, S.P. Current methods for asymmetric halogenation of olefins. Chem. Eur. J. 2011, 17, 5766–5776. [Google Scholar] [CrossRef]
- China, H.; Kumar, R.; Kikushima, K.; Dohi, T. Halogen-induced controllable cyclizations as diverse heterocycle synthetic strategy. Molecules 2020, 25, 6007. [Google Scholar] [CrossRef]
- Denmark, S.E.; Kuester, W.E.; Burk, M.T. Catalytic, asymmetric halofunctionalization of alkenes—A critical perspective. Angew. Chem. Int. Ed. Engl. 2012, 51, 10938–10953. [Google Scholar] [CrossRef] [Green Version]
- Veitch, G.E.; Jacobsen, E.N. Tertiary Aminourea-catalyzed enantioselective iodolactonization. Angew. Chem. Int. Ed. Engl. 2010, 112, 7490–7493. [Google Scholar] [CrossRef]
- Denmark, S.E.; Burk, M.T. Enantioselective bromocycloetherification by Lewis base/chiral Bronsted acid cooperative catalysis. Org. Lett. 2012, 14, 256–259. [Google Scholar] [CrossRef] [Green Version]
- Cheng, Y.A.; Yu, W.Z.; Yeung, Y.-Y. Carbamate-catalyzed enantioselective bromolactamization. Angew. Chem. Int. Ed. Engl. 2015, 127, 12270–12274. [Google Scholar] [CrossRef]
- Kawato, Y.; Kubota, A.; Ono, H.; Egami, H.; Hamashima, Y. Enantioselective bromocyclization of allylic amides catalyzed by BINAP derivatives. Org. Lett. 2015, 17, 1244–1247. [Google Scholar] [CrossRef] [PubMed]
- Wang, H.; Zhong, H.; Xu, X.; Xu, W.; Jiang, X. Catalytic enantioselective bromoaminocyclization and bromocycloetherification. Adv. Synth. Catal. 2020, 362, 5358–5362. [Google Scholar] [CrossRef]
- Bergeron, R.J.; Xin, M.G.; Weimar, W.R.; Smith, R.E.; Wiegand, J. Significance of asymmetric sites in choosing siderophores as deferration agents. J. Med. Chem. 2001, 44, 2469–2478. [Google Scholar] [CrossRef] [PubMed]
- Patterson, G.; Larsen, L.K.; Moore, R.E. Bioactive natural products from blue-green algae. J. Appl. Phycol. 1994, 6, 151–157. [Google Scholar] [CrossRef]
- Ghosh, A.K.; Mathivanan, P.; Cappiello, J. C2-Symmetric chiral bis (oxazoline)–metal complexes in catalytic asymmetric synthesis. Tetrahedron Asymmetry 1998, 9, 1. [Google Scholar] [CrossRef]
- Helmchen, G.; Pfaltz, A. Phosphinooxazolines a new class of versatile, modular P, N-ligands for asymmetric catalysis. Acc. Chem. Res. 2000, 33, 336–345. [Google Scholar] [CrossRef]
- Meyers, A.I. Chiral oxazolines and their legacy in asymmetric carbon-carbon bond-forming reactions. J. Org. Chem. 2005, 70, 6137–6151. [Google Scholar] [CrossRef]
- Garzan, A.; Jaganathan, A.; Salehi Marzijarani, N.; Yousefi, R.; Whitehead, D.C.; Jackson, J.E.; Borhan, B. Solvent-dependent enantiodivergence in the chlorocyclization of unsaturated carbamates. Chem. Eur. J. 2013, 19, 9015–9021. [Google Scholar] [CrossRef]
- Jaganathan, A.; Garzan, A.; Whitehead, D.C.; Staples, R.J.; Borhan, B. A catalytic asymmetric chlorocyclization of unsaturated amides. Angew. Chem. Int. Ed. Engl. 2011, 50, 2593–2596. [Google Scholar] [CrossRef]
- Kawato, Y.; Ono, H.; Kubota, A.; Nagao, Y.; Morita, N.; Egami, H.; Hamashima, Y. Highly enantioselective bromocyclization of allylic amides with a P/P=O double-site Lewis base catalyst. Chem. Eur. J. 2016, 22, 2127–2213. [Google Scholar] [CrossRef] [PubMed]
- Deng, Y.; Jiang, Z.; Yao, M.; Xu, D.; Zhang, L.; Li, H.; Tang, W.; Xu, L. Palladium-catalyzed, Highly efficient, regiocontrolled Arylation of electron-rich allylamines with aryl halides. Adv. Synth. Catal. 2012, 354, 899–907. [Google Scholar] [CrossRef]
- Hansch, C.; Leo, A.; Taft, R.W. A survey of hammett substituent constants and resonance and field parameters. Chem. Rev. 1991, 91, 165–195. [Google Scholar] [CrossRef]
- Available online: https://en.wikipedia.org/wiki/Hammett_equation; https://organicchemistrydata.org/hansreich/resources/pka/ (accessed on 11 May 2022).
- Chung, W.J.; Vanderwal, C.D. Stereoselective halogenation in natural product synthesis. Angew. Chem. Int. Ed. Engl. 2016, 55, 4396–4434. [Google Scholar] [CrossRef]













| Entry | Halogenating Agent | Solvent | Temperature (°C) | Conversion (16 h) |
|---|---|---|---|---|
| 1 | NIS | CpME | 5 | 86% |
| 2 | NIS | CpME | −15 | 67% |
| 3 | NBS | CpME | 5 | 92% |
| 4 | NBS | CpME | −15 | 88% |
| 5 | NCS | CpME | −15 | 6% |
| 6 | NCS | CpME | 5 | 8% |
| 7 | NCS | EtOAc | rt | 9% |
| 8 | NCS | TBME | −15 | 30% 1 |
| 9 | DCDMH | CpME | −15 | 89% 1 |
| 10 | NCS | EtOAc | 5 | 99% 2 |
| Catalyst (10 mol%) | % Conversion (a/a by HPLC) | %ee | |
|---|---|---|---|
| 9 | (S)-BINAP | 96 | 27 |
| 10 | (S)-3,5-xylyl-PHANEPHOS | 85 | <5 |
| 11 | (S)-PHANEPHOS | 96 | <5 |
| 12 | (S)-Cl-MeO-BIPHEP | 8 | <5 |
| 13 | (S)-(-)-(3,5-di-t-butylphenyl)-BIPHEP | 51 | <5 |
| 14 | (S)-(+)-DTBM-SEGPHOS | 95 | 42 |
| 15 | (S)-BTFM-Garphos | 41 | <5 |
| 16 | (R)-DTBM-Garphos | 48 | <5 |
| 17 | (S,S)-Me-DUPHOS | 82 | <5 |
| 18 | (R,R)-DACH-Phenyl Trost Ligand | 94 | <5 |
| 19 | (R,R)-DACH-Naphthyl Trost Ligand | 78 | <5 |
| Substrate | X | Hammett σp [24] | Regioselectivity 7:8 (%) | Yield (%) a | ee (%) b |
|---|---|---|---|---|---|
| 6a | MeO | −0.27 | 97:3 | 95 | 50 |
| 6b | Me | −0.17 | 87:13 | 93 | 59 |
| 6c | H | 0 | 97:3 | 95 | 48 |
| 6d | F | +0.06 | 90:10 | 94 | 44 |
| 6e | Br | +0.23 | 93:7 | 95 | 41.5 |
| 6f | CF3 | +0.54 | 97:3 | 86 | 36 |
| 6g | NO2 | +0.78 | 97:3 | 97 | 30 |
| Substrate | X | Hammett σp | Regioselectivity 7:8 (%) | Yield (%) a | ee (%) b |
|---|---|---|---|---|---|
| 6h | H | 0 | 93:7 | 99 | 65 |
| 6i | p-F | +0.06 | 91:9 | 91 | 68 |
| 6j | p-CONHiBu | +0.36 | 87:13 | 70 | 80 |
| 6k | p-CF3 | +0.54 | 97:3 | 98 | 60 |
| 6l | p-CN | +0.66 | 97:3 | 60 | 20 |
Publisher’s Note: MDPI stays neutral with regard to jurisdictional claims in published maps and institutional affiliations. |
© 2022 by the authors. Licensee MDPI, Basel, Switzerland. This article is an open access article distributed under the terms and conditions of the Creative Commons Attribution (CC BY) license (https://creativecommons.org/licenses/by/4.0/).
Share and Cite
Moschona, F.; Misirlaki, C.; Karadimas, N.; Koutiva, M.; Savvopoulou, I.; Rassias, G. Organocatalytic Asymmetric Halocyclization of Allylic Amides to Chiral Oxazolines Using DTBM-SEGPHOS—Mechanistic Implications from Hammett Plots. Symmetry 2022, 14, 989. https://doi.org/10.3390/sym14050989
Moschona F, Misirlaki C, Karadimas N, Koutiva M, Savvopoulou I, Rassias G. Organocatalytic Asymmetric Halocyclization of Allylic Amides to Chiral Oxazolines Using DTBM-SEGPHOS—Mechanistic Implications from Hammett Plots. Symmetry. 2022; 14(5):989. https://doi.org/10.3390/sym14050989
Chicago/Turabian StyleMoschona, Fotini, Christina Misirlaki, Nikolaos Karadimas, Maria Koutiva, Ioanna Savvopoulou, and Gerasimos Rassias. 2022. "Organocatalytic Asymmetric Halocyclization of Allylic Amides to Chiral Oxazolines Using DTBM-SEGPHOS—Mechanistic Implications from Hammett Plots" Symmetry 14, no. 5: 989. https://doi.org/10.3390/sym14050989
APA StyleMoschona, F., Misirlaki, C., Karadimas, N., Koutiva, M., Savvopoulou, I., & Rassias, G. (2022). Organocatalytic Asymmetric Halocyclization of Allylic Amides to Chiral Oxazolines Using DTBM-SEGPHOS—Mechanistic Implications from Hammett Plots. Symmetry, 14(5), 989. https://doi.org/10.3390/sym14050989

