Large-S and Tensor-Network Methods for Strongly-Interacting Topological Insulators
Abstract
1. Introduction
1.1. Topological Matter and Relativistic Field Theories
1.2. Constrained Quantum Field Theories
1.3. Four-Fermi Interactions in Topological Insulators
2. Strong Couplings and Effective Spin Models
2.1. Ising Order and Fermion Condensates
2.2. Heisenberg–Ising Chains for
2.3. Heisenberg–Ising Compass Models for
3. Nonlinear Sigma Models
4. Large- Limit and Saddle-Point Equations
4.1. Large-S Ising Magnetism for
4.2. Large-S Compass Magnetism for
5. Tensor-Network Numerical Simulations
5.1. Tensor-Network Ising Magnetism for
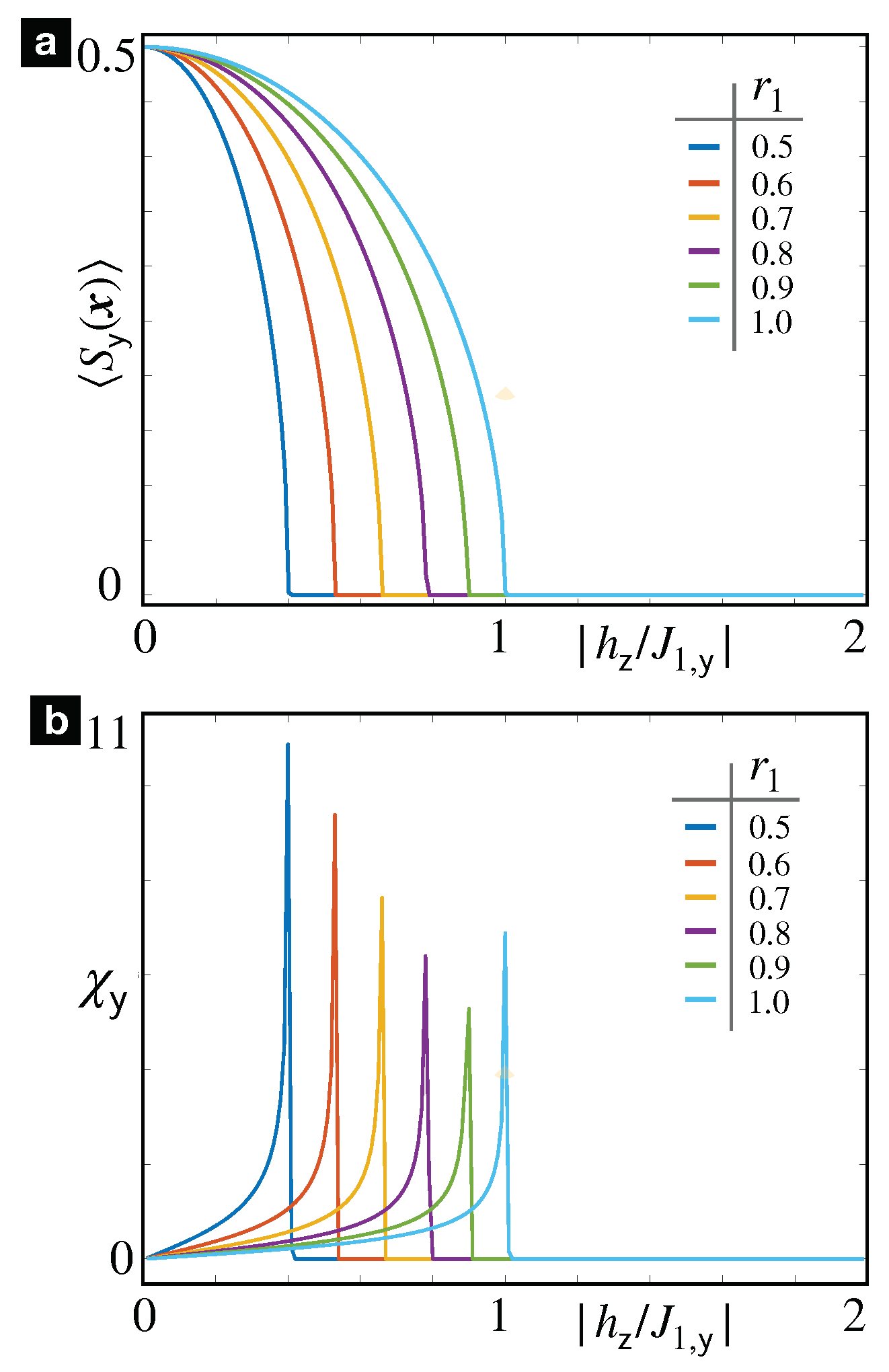
5.2. Tensor-Network Compass Magnetism for
6. Conclusions and Discussion
Author Contributions
Funding
Institutional Review Board Statement
Informed Consent Statement
Data Availability Statement
Acknowledgments
Conflicts of Interest
References
- Peskin, M.E.; Schroeder, D.V. An Introduction to Quantum Field Theory; Addison-Wesley: Reading, PA, USA, 1995. [Google Scholar]
- Greensite, J. Introduction to the Confinement Problem; Springer Nature: Berlin/Heidelberg, Germany, 2020. [Google Scholar]
- Thirring, W.E. A soluble relativistic field theory. Ann. Phys. 1958, 3, 91–112. [Google Scholar] [CrossRef]
- Gross, D.J.; Neveu, A. Dynamical symmetry breaking in asymptotically free field theories. Phys. Rev. D 1974, 10, 3235–3253. [Google Scholar] [CrossRef]
- Polyakov, A. Interaction of goldstone particles in two dimensions. Applications to ferromagnets and massive Yang-Mills fields. Phys. Lett. B 1975, 59, 79–81. [Google Scholar] [CrossRef]
- Coleman, S. Quantum sine-Gordon equation as the massive Thirring model. Phys. Rev. D 1975, 11, 2088–2097. [Google Scholar] [CrossRef]
- Coleman, S. Aspects of Symmetry: Selected Erice Lectures; Cambridge University Press: Cambridge, UK, 1985. [Google Scholar] [CrossRef]
- Wilson, K.G.; Kogut, J. The renormalization group and the ϵ expansion. Phys. Rep. 1974, 12, 75–199. [Google Scholar] [CrossRef]
- Anderson, P.W. More Is Different. Science 1972, 177, 393–396. [Google Scholar] [CrossRef]
- Castro Neto, A.H.; Guinea, F.; Peres, N.M.R.; Novoselov, K.S.; Geim, A.K. The electronic properties of graphene. Rev. Mod. Phys. 2009, 81, 109–162. [Google Scholar] [CrossRef]
- Armitage, N.P.; Mele, E.J.; Vishwanath, A. Weyl and Dirac semimetals in three-dimensional solids. Rev. Mod. Phys. 2018, 90, 015001. [Google Scholar] [CrossRef]
- Qi, X.L.; Zhang, S.C. Topological insulators and superconductors. Rev. Mod. Phys. 2011, 83, 1057–1110. [Google Scholar] [CrossRef]
- Manousakis, E. The spin-½ Heisenberg antiferromagnet on a square lattice and its application to the cuprous oxides. Rev. Mod. Phys. 1991, 63, 1. [Google Scholar] [CrossRef]
- Feynman, R.P. Simulating physics with computers. Int. J. Theor. Phys. 1982, 21, 467. [Google Scholar] [CrossRef]
- Cirac, J.I.; Zoller, P. Goals and opportunities in quantum simulation. Nat. Phys. 2012, 8, 264–266. [Google Scholar] [CrossRef]
- Wiese, U.J. Ultracold quantum gases and lattice systems: Quantum simulation of lattice gauge theories. Ann. Phys. 2013, 525, 777–796. [Google Scholar] [CrossRef]
- Zohar, E.; Cirac, J.I.; Reznik, B. Quantum simulations of lattice gauge theories using ultracold atoms in optical lattices. Rep. Prog. Phys. 2015, 79, 014401. [Google Scholar] [CrossRef]
- Dalmonte, M.; Montangero, S. Lattice gauge theory simulations in the quantum information era. Contemp. Phys. 2016, 57, 388–412. [Google Scholar] [CrossRef]
- Bañuls, M.C.; Blatt, R.; Catani, J.; Celi, A.; Cirac, J.I.; Dalmonte, M.; Fallani, L.; Jansen, K.; Lewenstein, M.; Montangero, S.; et al. Simulating lattice gauge theories within quantum technologies. Eur. Phys. J. D 2020, 74, 165. [Google Scholar] [CrossRef]
- Aidelsburger, M.; Barbiero, L.; Bermudez, A.; Chanda, T.; Dauphin, A.; González-Cuadra, D.; Grzybowski, P.R.; Hands, S.; Jendrzejewski, F.; Jünemann, J.; et al. Cold atoms meet lattice gauge theory. Philos. Trans. R. Soc. A Math. Phys. Eng. Sci. 2022, 380, 20210064. [Google Scholar] [CrossRef]
- Klco, N.; Roggero, A.; Savage, M.J. Standard Model Physics and the Digital Quantum Revolution: Thoughts about the Interface. arXiv 2021, arXiv:2107.04769. [Google Scholar] [CrossRef]
- Kogut, J.B. An introduction to lattice gauge theory and spin systems. Rev. Mod. Phys. 1979, 51, 659–713. [Google Scholar] [CrossRef]
- Kogut, J.; Susskind, L. Hamiltonian formulation of Wilson’s lattice gauge theories. Phys. Rev. D 1975, 11, 395–408. [Google Scholar] [CrossRef]
- Gerritsma, R.; Kirchmair, G.; Zähringer, F.; Solano, E.; Blatt, R.; Roos, C.F. Quantum simulation of the Dirac equation. Nature 2010, 463, 68–71. [Google Scholar] [CrossRef]
- Gerritsma, R.; Lanyon, B.P.; Kirchmair, G.; Zähringer, F.; Hempel, C.; Casanova, J.; García-Ripoll, J.J.; Solano, E.; Blatt, R.; Roos, C.F. Quantum Simulation of the Klein Paradox with Trapped Ions. Phys. Rev. Lett. 2011, 106, 060503. [Google Scholar] [CrossRef] [PubMed]
- Tarruell, L.; Greif, D.; Uehlinger, T.; Jotzu, G.; Esslinger, T. Creating, moving and merging Dirac points with a Fermi gas in a tunable honeycomb lattice. Nature 2012, 483, 302–305. [Google Scholar] [CrossRef] [PubMed]
- Duca, L.; Li, T.; Reitter, M.; Bloch, I.; Schleier-Smith, M.; Schneider, U. An Aharonov-Bohm interferometer for determining Bloch band topology. Science 2015, 347, 288–292. [Google Scholar] [CrossRef] [PubMed]
- Jotzu, G.; Messer, M.; Desbuquois, R.; Lebrat, M.; Uehlinger, T.; Greif, D.; Esslinger, T. Experimental realization of the topological Haldane model with ultracold fermions. Nature 2014, 515, 237–240. [Google Scholar] [CrossRef] [PubMed]
- Kang, J.H.; Han, J.H.; Shin, Y. Realization of a Cross-Linked Chiral Ladder with Neutral Fermions in a 1D Optical Lattice by Orbital-Momentum Coupling. Phys. Rev. Lett. 2018, 121, 150403. [Google Scholar] [CrossRef]
- Liang, M.C.; Wei, Y.D.; Zhang, L.; Wang, X.J.; Zhang, H.; Wang, W.W.; Qi, W.; Liu, X.J.; Zhang, X. Realization of Qi-Wu-Zhang model in spin-orbit-coupled ultracold fermions. arXiv 2021, arXiv:2109.08885. [Google Scholar]
- Martinez, E.A.; Muschik, C.A.; Schindler, P.; Nigg, D.; Erhard, A.; Heyl, M.; Hauke, P.; Dalmonte, M.; Monz, T.; Zoller, P.; et al. Real-time dynamics of lattice gauge theories with a few-qubit quantum computer. Nature 2016, 534, 516–519. [Google Scholar] [CrossRef]
- Schweizer, C.; Grusdt, F.; Berngruber, M.; Barbiero, L.; Demler, E.; Goldman, N.; Bloch, I.; Aidelsburger, M. Floquet approach to Z2 lattice gauge theories with ultracold atoms in optical lattices. Nat. Phys. 2019, 15, 1168–1173. [Google Scholar] [CrossRef]
- Kokail, C.; Maier, C.; van Bijnen, R.; Brydges, T.; Joshi, M.K.; Jurcevic, P.; Muschik, C.A.; Silvi, P.; Blatt, R.; Roos, C.F.; et al. Self-verifying variational quantum simulation of lattice models. Nature 2019, 569, 355–360. [Google Scholar] [CrossRef]
- Mil, A.; Zache, T.V.; Hegde, A.; Xia, A.; Bhatt, R.P.; Oberthaler, M.K.; Hauke, P.; Berges, J.; Jendrzejewski, F. A scalable realization of local U(1) gauge invariance in cold atomic mixtures. Science 2020, 367, 1128–1130. [Google Scholar] [CrossRef] [PubMed]
- Surace, F.M.; Mazza, P.P.; Giudici, G.; Lerose, A.; Gambassi, A.; Dalmonte, M. Lattice Gauge Theories and String Dynamics in Rydberg Atom Quantum Simulators. Phys. Rev. X 2020, 10, 021041. [Google Scholar] [CrossRef]
- Yang, B.; Sun, H.; Ott, R.; Wang, H.Y.; Zache, T.V.; Halimeh, J.C.; Yuan, Z.S.; Hauke, P.; Pan, J.W. Observation of gauge invariance in a 71-site Bose–Hubbard quantum simulator. Nature 2020, 587, 392–396. [Google Scholar] [CrossRef] [PubMed]
- Fermi, E. Versuch einer Theorie der β-Strahlen. I. Z. Phys. 1934, 88, 161–177. [Google Scholar] [CrossRef]
- Wilson, F.L. Fermi’s Theory of Beta Decay. Am. J. Phys. 1968, 36, 1150–1160. [Google Scholar] [CrossRef]
- Nambu, Y.; Jona-Lasinio, G. Dynamical Model of Elementary Particles Based on an Analogy with Superconductivity. I. Phys. Rev. 1961, 122, 345–358. [Google Scholar] [CrossRef]
- Nambu, Y.; Jona-Lasinio, G. Dynamical Model of Elementary Particles Based on an Analogy with Superconductivity. II. Phys. Rev. 1961, 124, 246–254. [Google Scholar] [CrossRef]
- Wilson, K.G. Quarks and Strings on a Lattice. In New Phenomena in Subnuclear Physics; Springer: Boston, MA, USA, 1977; pp. 69–142. [Google Scholar] [CrossRef]
- Qi, X.L.; Wu, Y.S.; Zhang, S.C. Topological quantization of the spin Hall effect in two-dimensional paramagnetic semiconductors. Phys. Rev. B 2006, 74, 085308. [Google Scholar] [CrossRef]
- Qi, X.L.; Hughes, T.L.; Zhang, S.C. Topological field theory of time-reversal invariant insulators. Phys. Rev. B 2008, 78, 195424. [Google Scholar] [CrossRef]
- Ryu, S.; Schnyder, A.P.; Furusaki, A.; Ludwig, A.W.W. Topological insulators and superconductors: Tenfold way and dimensional hierarchy. New J. Phys. 2010, 12, 065010. [Google Scholar] [CrossRef]
- Bermudez, A.; Mazza, L.; Rizzi, M.; Goldman, N.; Lewenstein, M.; Martin-Delgado, M.A. Wilson Fermions and Axion Electrodynamics in Optical Lattices. Phys. Rev. Lett. 2010, 105, 190404. [Google Scholar] [CrossRef]
- Mazza, L.; Bermudez, A.; Goldman, N.; Rizzi, M.; Martin-Delgado, M.A.; Lewenstein, M. An optical-lattice-based quantum simulator for relativistic field theories and topological insulators. New J. Phys. 2012, 14, 015007. [Google Scholar] [CrossRef]
- Kaplan, D.B.; Sun, S. Spacetime as a Topological Insulator: Mechanism for the Origin of the Fermion Generations. Phys. Rev. Lett. 2012, 108, 181807. [Google Scholar] [CrossRef] [PubMed]
- Zache, T.V.; Hebenstreit, F.; Jendrzejewski, F.; Oberthaler, M.K.; Berges, J.; Hauke, P. Quantum simulation of lattice gauge theories using Wilson fermions. Quantum Sci. Technol. 2018, 3, 034010. [Google Scholar] [CrossRef]
- Hands, S.; Kocic, A.; Kogut, J. Four-Fermi Theories in Fewer Than Four Dimensions. Ann. Phys. 1993, 224, 29–89. [Google Scholar] [CrossRef]
- Hands, S. Fixed Point Four-Fermi Theories. arXiv 1997, arXiv:9706018. [Google Scholar]
- Hohenadler, M.; Assaad, F.F. Correlation effects in two-dimensional topological insulators. J. Phys. Condens. Matter 2013, 25, 143201. [Google Scholar] [CrossRef]
- Rachel, S. Interacting topological insulators: A review. Rep. Prog. Phys. 2018, 81, 116501. [Google Scholar] [CrossRef]
- Neupert, T.; Chamon, C.; Iadecola, T.; Santos, L.H.; Mudry, C. Fractional (Chern and topological) insulators. Phys. Scr. 2015, 2015, 014005. [Google Scholar] [CrossRef]
- Bergholtz, E.J.; Liu, Z. Topological flat band models and fractional chern insulators. Int. J. Mod. Phys. B 2013, 27, 1330017. [Google Scholar] [CrossRef]
- Jaksch, D.; Bruder, C.; Cirac, J.I.; Gardiner, C.W.; Zoller, P. Cold Bosonic Atoms in Optical Lattices. Phys. Rev. Lett. 1998, 81, 3108–3111. [Google Scholar] [CrossRef]
- Hofstetter, W.; Cirac, J.I.; Zoller, P.; Demler, E.; Lukin, M.D. High-Temperature Superfluidity of Fermionic Atoms in Optical Lattices. Phys. Rev. Lett. 2002, 89, 220407. [Google Scholar] [CrossRef] [PubMed]
- Jünemann, J.; Piga, A.; Ran, S.J.; Lewenstein, M.; Rizzi, M.; Bermudez, A. Exploring Interacting Topological Insulators with Ultracold Atoms: The Synthetic Creutz-Hubbard Model. Phys. Rev. X 2017, 7, 031057. [Google Scholar] [CrossRef]
- Bermudez, A.; Tirrito, E.; Rizzi, M.; Lewenstein, M.; Hands, S. Gross-Neveu-Wilson model and correlated symmetry-protected topological phases. Ann. Phys. 2018, 399, 149–180. [Google Scholar] [CrossRef]
- Tirrito, E.; Lewenstein, M.; Bermudez, A. Topological chiral currents in the Gross-Neveu model extension. arXiv 2021, arXiv:2112.07654. [Google Scholar]
- Ziegler, L.; Tirrito, E.; Lewenstein, M.; Hands, S.; Bermudez, A. Correlated Chern insulators in two-dimensional Raman lattices: A cold-atom regularization of strongly-coupled four-Fermi field theories. arXiv 2020, arXiv:2011.08744. [Google Scholar]
- Ziegler, L.; Tirrito, E.; Lewenstein, M.; Hands, S.; Bermudez, A. Large-N Chern insulators: Lattice field theory and quantum simulation approaches to correlation effects in the quantum anomalous Hall effect. Ann. Phys. 2022, 439, 168763. [Google Scholar] [CrossRef]
- Gell-Mann, M.; Lévy, M. The axial vector current in beta decay. Il Nuovo Cimento (1955–1965) 1960, 16, 705–726. [Google Scholar] [CrossRef]
- Coleman, S. There are no Goldstone bosons in two dimensions. Commun. Math. Phys. 1973, 31, 259–264. [Google Scholar] [CrossRef]
- Polyakov, A.M.; Belavin, A. Metastable States of Two-Dimensional Isotropic Ferromagnets. Jetp Lett. 1975, 22, 503–506. [Google Scholar]
- Bardeen, W.A.; Lee, B.W.; Shrock, R.E. Phase transition in the nonlinear σ model in a (2+ϵ)-dimensional continuum. Phys. Rev. D 1976, 14, 985–1005. [Google Scholar] [CrossRef]
- Gattringer, C.; Lang, C.B. Quantum Chromodynamics on the Lattice: An Introductory Presentation; Springer: Berlin/Heidelberg, Germany, 2009. [Google Scholar]
- Nielsen, H.; Ninomiya, M. Absence of neutrinos on a lattice: (I). Proof by homotopy theory. Nucl. Phys. B 1981, 185, 20–40. [Google Scholar] [CrossRef]
- Nielsen, H.; Ninomiya, M. Absence of neutrinos on a lattice: (II). Intuitive topological proof. Nucl. Phys. B 1981, 193, 173–194. [Google Scholar] [CrossRef]
- Montvay, I.; Münster, G. Quantum Fields on a Lattice; Cambridge Monographs on Mathematical Physics; Cambridge University Press: Cambridge, UK, 1994. [Google Scholar]
- Amato, A.; Aarts, G.; Allton, C.; Giudice, P.; Hands, S.; Skullerud, J.I. Electrical Conductivity of the Quark-Gluon Plasma Across the Deconfinement Transition. Phys. Rev. Lett. 2013, 111, 172001. [Google Scholar] [CrossRef]
- China Lattice QCD Collaboration (CLQCD); Li, X.; Chen, Y.; Meng, G.Z.; Feng, X.; Gong, M.; He, S.; Li, G.; Liu, C.; Liu, Y.B.; et al. Hadron scattering in an asymmetric. J. High Energy Phys. 2007, 2007, 53. [Google Scholar] [CrossRef][Green Version]
- Berry, M.V. Quantal phase factors accompanying adiabatic changes. Proc. R. Soc. Lond. A Math. Phys. Sci. 1984, 392, 45–57. [Google Scholar] [CrossRef]
- Xiao, D.; Chang, M.C.; Niu, Q. Berry phase effects on electronic properties. Rev. Mod. Phys. 2010, 82, 1959–2007. [Google Scholar] [CrossRef]
- Nakahara, M. Geometry, Topology and Physics; CRC Press: Boca Raton, FL, USA, 2017. [Google Scholar]
- Zak, J. Berry’s phase for energy bands in solids. Phys. Rev. Lett. 1989, 62, 2747–2750. [Google Scholar] [CrossRef]
- Schnyder, A.P.; Ryu, S.; Furusaki, A.; Ludwig, A.W.W. Classification of topological insulators and superconductors in three spatial dimensions. Phys. Rev. B 2008, 78, 195125. [Google Scholar] [CrossRef]
- Kitaev, A. Periodic table for topological insulators and superconductors. AIP Conf. Proc. 2009, 1134, 22–30. [Google Scholar] [CrossRef]
- Liu, C.X.; Zhang, S.C.; Qi, X.L. The Quantum Anomalous Hall Effect: Theory and Experiment. Annu. Rev. Condens. Matter Phys. 2016, 7, 301–321. [Google Scholar] [CrossRef]
- Kaplan, D.B. A method for simulating chiral fermions on the lattice. Phys. Lett. B 1992, 288, 342–347. [Google Scholar] [CrossRef]
- Kaplan, D.B.; Sen, S. Index theorems, generalized Hall currents and topology for gapless defect fermions. arXiv 2021, arXiv:2112.06954. [Google Scholar]
- Golterman, M.F.; Jansen, K.; Kaplan, D.B. Chern-Simons currents and chiral fermions on the lattice. Phys. Lett. B 1993, 301, 219–223. [Google Scholar] [CrossRef]
- Sen, S. Chern insulator transitions with Wilson fermions on a hyperrectangular lattice. Phys. Rev. D 2020, 102, 094520. [Google Scholar] [CrossRef]
- Anderson, P.W. Antiferromagnetism. Theory of Superexchange Interaction. Phys. Rev. 1950, 79, 350–356. [Google Scholar] [CrossRef]
- Anderson, P.W. Theory of Magnetic Exchange Interactions:Exchange in Insulators and Semiconductors; Solid State Physics; Academic Press: Cambridge, MA, USA, 1963; Volume 14, pp. 99–214. [Google Scholar] [CrossRef]
- Pfeuty, P. The one-dimensional Ising model with a transverse field. Ann. Phys. 1970, 57, 79–90. [Google Scholar] [CrossRef]
- Aoki, S. New phase structure for lattice QCD with Wilson fermions. Phys. Rev. D 1984, 30, 2653–2663. [Google Scholar] [CrossRef]
- Sharpe, S.; Singleton, R. Spontaneous flavor and parity breaking with Wilson fermions. Phys. Rev. D 1998, 58, 074501. [Google Scholar] [CrossRef]
- Nussinov, Z.; Fradkin, E. Discrete sliding symmetries, dualities, and self-dualities of quantum orbital compass models and p + ip superconducting arrays. Phys. Rev. B 2005, 71, 195120. [Google Scholar] [CrossRef]
- Nussinov, Z.; van den Brink, J. Compass models: Theory and physical motivations. Rev. Mod. Phys. 2015, 87, 1. [Google Scholar] [CrossRef]
- Dorier, J.; Becca, F.; Mila, F. Quantum compass model on the square lattice. Phys. Rev. B 2005, 72, 024448. [Google Scholar] [CrossRef]
- Chen, H.D.; Fang, C.; Hu, J.; Yao, H. Quantum phase transition in the quantum compass model. Phys. Rev. B 2007, 75, 144401. [Google Scholar] [CrossRef]
- Orús, R.; Doherty, A.C.; Vidal, G. First order phase transition in the anisotropic quantum orbital compass model. Phys. Rev. Lett. 2009, 102, 077203. [Google Scholar] [CrossRef] [PubMed]
- Heisenberg, W. Zur Theorie des Ferromagnetismus. Z. Phys. 1928, 49, 619–636. [Google Scholar] [CrossRef]
- Haldane, F. Continuum dynamics of the 1-D Heisenberg antiferromagnet: Identification with the O(3) nonlinear sigma model. Phys. Lett. A 1983, 93, 464–468. [Google Scholar] [CrossRef]
- Haldane, F.D.M. Nonlinear Field Theory of Large-Spin Heisenberg Antiferromagnets: Semiclassically Quantized Solitons of the One-Dimensional Easy-Axis Néel State. Phys. Rev. Lett. 1983, 50, 1153–1156. [Google Scholar] [CrossRef]
- Haldane, F.D.M. O(3) Nonlinear σ Model and the Topological Distinction between Integer- and Half-Integer-Spin Antiferromagnets in Two Dimensions. Phys. Rev. Lett. 1988, 61, 1029–1032. [Google Scholar] [CrossRef]
- Affleck, I. Field Theory Methods and Strongly Correlated Electrons. In Physics, Geometry and Topology; Lee, H.C., Ed.; Springer: Boston, MA, USA, 1990; pp. 1–13. [Google Scholar] [CrossRef]
- Susskind, L. Lattice fermions. Phys. Rev. D 1977, 16, 3031–3039. [Google Scholar] [CrossRef]
- Hands, S. Critical flavor number in the 2+1D Thirring model. Phys. Rev. D 2019, 99, 034504. [Google Scholar] [CrossRef]
- Bethe, H. Zur Theorie der Metalle. Z. Phys. 1931, 71, 205–226. [Google Scholar] [CrossRef]
- Hulthén, L. Über das Austauschproblem Eines Kristalles. Ph.D. Thesis, Almqvist & Wiksell, Stockholm, Sweden, 1938. [Google Scholar]
- Bogoliubov, N.; Izergin, A.; Korepin, V. Critical exponents for integrable models. Nucl. Phys. B 1986, 275, 687–705. [Google Scholar] [CrossRef]
- Kasteleijn, P. The lowest energy state of a linear antiferromagnetic chain. Physica 1952, 18, 104–113. [Google Scholar] [CrossRef]
- Luther, A.; Peschel, I. Calculation of critical exponents in two dimensions from quantum field theory in one dimension. Phys. Rev. B 1975, 12, 3908–3917. [Google Scholar] [CrossRef]
- Berezinsky, V.L. Destruction of Long-range Order in One-dimensional and Two-dimensional Systems Possessing a Continuous Symmetry Group. II. Quantum Systems. Sov. Phys. JETP 1972, 34, 610. [Google Scholar]
- Kosterlitz, J.M.; Thouless, D.J. Ordering, metastability and phase transitions in two-dimensional systems. J. Phys. C Solid State Phys. 1973, 6, 1181–1203. [Google Scholar] [CrossRef]
- Affleck, I. The quantum Hall effects, σ-models at Θ = π and quantum spin chains. Nucl. Phys. B 1985, 257, 397–406. [Google Scholar] [CrossRef]
- Orbach, R. Linear Antiferromagnetic Chain with Anisotropic Coupling. Phys. Rev. 1958, 112, 309–316. [Google Scholar] [CrossRef]
- Walker, L.R. Antiferromagnetic Linear Chain. Phys. Rev. 1959, 116, 1089–1090. [Google Scholar] [CrossRef]
- Baxter, R.J. One-Dimensional Anisotropic Heisenberg Chain. Phys. Rev. Lett. 1971, 26, 834. [Google Scholar] [CrossRef]
- Baxter, R.J. One-dimensional anisotropic Heisenberg chain. Ann. Phys. 1972, 70, 323–337. [Google Scholar] [CrossRef]
- Radcliffe, J.M. Some properties of coherent spin states. J. Phys. A Gen. Phys. 1971, 4, 313–323. [Google Scholar] [CrossRef]
- Fradkin, E. Field Theories of Condensed Matter Physics, 2nd ed.; Cambridge University Press: Cambridge, UK, 2013. [Google Scholar] [CrossRef]
- White, S.R.; Huse, D.A. Numerical renormalization-group study of low-lying eigenstates of the antiferromagnetic S=1 Heisenberg chain. Phys. Rev. B 1993, 48, 3844–3852. [Google Scholar] [CrossRef]
- Gomes, M.; Mendes, R.S.; Ribeiro, R.F.; da Silva, A.J. Gauge structure, anomalies and mass generation in a three-dimensional Thirring model. Phys. Rev. D 1991, 43, 3516–3523. [Google Scholar] [CrossRef] [PubMed]
- Nocedal, J.; Wright, S.J. Numerical Optimization, 2nd ed.; Springer: New York, NY, USA, 2006. [Google Scholar]
- Misumi, T.; Tanizaki, Y. Lattice gauge theory for the Haldane conjecture and central-branch Wilson fermion. Prog. Theor. Exp. Phys. 2020, 2020, 033B03. [Google Scholar] [CrossRef]
- Misumi, T.; Yumoto, J. Varieties and properties of central-branch Wilson fermions. Phys. Rev. D 2020, 102, 034516. [Google Scholar] [CrossRef]
- Verstraete, F.; Murg, V.; Cirac, J.I. Matrix product states, projected entangled pair states, and variational renormalization group methods for quantum spin systems. Adv. Phys. 2008, 57, 143–224. [Google Scholar] [CrossRef]
- Orús, R. A practical introduction to tensor networks: Matrix product states and projected entangled pair states. Ann. Phys. 2014, 349, 117–158. [Google Scholar] [CrossRef]
- Ran, S.J.; Tirrito, E.; Peng, C.; Chen, X.; Tagliacozzo, L.; Su, G.; Lewenstein, M. Tensor Network Contractions: Methods and Applications to Quantum Many-Body Systems; Springer Nature: Berlin/Heidelberg, Germany, 2020. [Google Scholar]
- Cirac, J.I.; Verstraete, F. Renormalization and tensor product states in spin chains and lattices. J. Phys. A Math. Theor. 2009, 42, 504004. [Google Scholar] [CrossRef]
- Evenbly, G.; Vidal, G. Algorithms for entanglement renormalization: Boundaries, impurities and interfaces. J. Stat. Phys. 2014, 157, 931–978. [Google Scholar] [CrossRef][Green Version]
- Molnar, A.; Schuch, N.; Verstraete, F.; Cirac, J.I. Approximating Gibbs states of local Hamiltonians efficiently with projected entangled pair states. Phys. Rev. B 2015, 91, 045138. [Google Scholar] [CrossRef]
- Eisert, J.; Cramer, M.; Plenio, M.B. Area laws for the entanglement entropy—A review. arXiv 2008, arXiv:0808.3773. [Google Scholar]
- Eisert, J. Entanglement and tensor network states. arXiv 2013, arXiv:1308.3318. [Google Scholar]
- White, S.R. Density matrix formulation for quantum renormalization groups. Phys. Rev. Lett. 1992, 69, 2863. [Google Scholar] [CrossRef] [PubMed]
- Rommer, S.; Östlund, S. Class of ansatz wave functions for one-dimensional spin systems and their relation to the density matrix renormalization group. Phys. Rev. B 1997, 55, 2164. [Google Scholar] [CrossRef]
- Dukelsky, J.; Martín-Delgado, M.A.; Nishino, T.; Sierra, G. Equivalence of the variational matrix product method and the density matrix renormalization group applied to spin chains. Europhys. Lett. (EPL) 1998, 43, 457–462. [Google Scholar] [CrossRef]
- Murg, V.; Verstraete, F.; Cirac, J.I. Variational study of hard-core bosons in a two-dimensional optical lattice using projected entangled pair states. Phys. Rev. A 2007, 75, 033605. [Google Scholar] [CrossRef]
- Verstraete, F.; Cirac, J.I. Renormalization algorithms for quantum-many body systems in two and higher dimensions. arXiv 2004, arXiv:0407066. [Google Scholar]
- Cirac, J.I.; Perez-Garcia, D.; Schuch, N.; Verstraete, F. Matrix product states and projected entangled pair states: Concepts, symmetries, theorems. Rev. Mod. Phys. 2021, 93, 045003. [Google Scholar] [CrossRef]
- Vidal, G. Classical simulation of infinite-size quantum lattice systems in one spatial dimension. Phys. Rev. Lett. 2007, 98, 070201. [Google Scholar] [CrossRef]
- Orus, R.; Vidal, G. Infinite time-evolving block decimation algorithm beyond unitary evolution. Phys. Rev. B 2008, 78, 155117. [Google Scholar] [CrossRef]
- Orús, R.; Vidal, G. Simulation of two-dimensional quantum systems on an infinite lattice revisited: Corner transfer matrix for tensor contraction. Phys. Rev. B 2009, 80, 094403. [Google Scholar] [CrossRef]
- Corboz, P.; White, S.R.; Vidal, G.; Troyer, M. Stripes in the two-dimensional t-J model with infinite projected entangled-pair states. Phys. Rev. B 2011, 84, 041108. [Google Scholar] [CrossRef]
- Thies, M. Analytical solution of the Gross-Neveu model at finite density. Phys. Rev. D 2004, 69, 067703. [Google Scholar] [CrossRef]
- Lenz, J.; Pannullo, L.; Wagner, M.; Wellegehausen, B.; Wipf, A. Inhomogeneous phases in the Gross-Neveu model in 1 + 1 dimensions at finite number of flavors. Phys. Rev. D 2020, 101, 094512. [Google Scholar] [CrossRef]











Publisher’s Note: MDPI stays neutral with regard to jurisdictional claims in published maps and institutional affiliations. |
© 2022 by the authors. Licensee MDPI, Basel, Switzerland. This article is an open access article distributed under the terms and conditions of the Creative Commons Attribution (CC BY) license (https://creativecommons.org/licenses/by/4.0/).
Share and Cite
Tirrito, E.; Hands, S.; Bermudez, A. Large-S and Tensor-Network Methods for Strongly-Interacting Topological Insulators. Symmetry 2022, 14, 799. https://doi.org/10.3390/sym14040799
Tirrito E, Hands S, Bermudez A. Large-S and Tensor-Network Methods for Strongly-Interacting Topological Insulators. Symmetry. 2022; 14(4):799. https://doi.org/10.3390/sym14040799
Chicago/Turabian StyleTirrito, Emanuele, Simon Hands, and Alejandro Bermudez. 2022. "Large-S and Tensor-Network Methods for Strongly-Interacting Topological Insulators" Symmetry 14, no. 4: 799. https://doi.org/10.3390/sym14040799
APA StyleTirrito, E., Hands, S., & Bermudez, A. (2022). Large-S and Tensor-Network Methods for Strongly-Interacting Topological Insulators. Symmetry, 14(4), 799. https://doi.org/10.3390/sym14040799

