Electromagnetic Form Factors of Σ Hyperons
Abstract
1. Introduction
2. Formalism for
3. Experiment Results
3.1. at BaBar
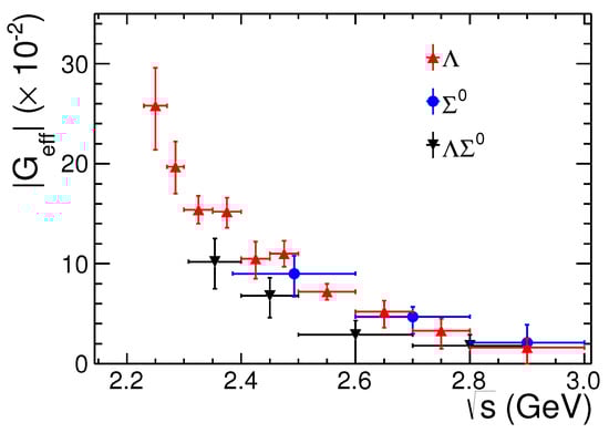
3.2. at CLEO-c
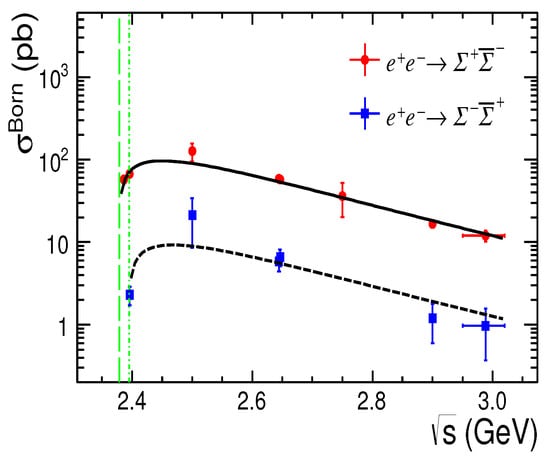
3.3. at BESIII
4. Theoretical Intepretations
5. Summary and Prospect
Author Contributions
Funding
Institutional Review Board Statement
Informed Consent Statement
Data Availability Statement
Acknowledgments
Conflicts of Interest
References
- Miller, G.A. Charge densities of the neutron and proton. Phys. Lett. B 2007, 99, 112001. [Google Scholar] [CrossRef] [PubMed]
- Yang, Y.; Chen, D.Y.; Lu, Z. Electromagnetic form factors of Λ hyperon in the vector meson dominance model. Phys. Rev. D 2019, 100, 073007. [Google Scholar] [CrossRef]
- Ramalho, G.; Pena, M.T.; Tsushima, K. Hyperon electromagnetic timelike elastic form factors at large q2. Phys. Rev. D 2020, 101, 014014. [Google Scholar] [CrossRef]
- Yang, M.; Wang, P. Electromagnetic form factors of octet baryons with the nonlocal chiral effective theory. Phys. Rev. D 2020, 102, 056024. [Google Scholar] [CrossRef]
- Haidenbauer, J.; Meißner, U.-G.; Dai, L.-Y. Hyperon electromagnetic form factors in the timelike region. Phys. Rev. D 2021, 103, 014028. [Google Scholar] [CrossRef]
- Akhmetshin, R.R.; Amirkhanov, A.N.; Anisenkov, A.V.; Aulchenko, V.M.; Banzarov, V.S.; Bashtovoy, N.S.; Berkaev, D.E.; Bondar, A.E.; Bragin, A.V.; Eidelman, S.I.; et al. Study of the process e+e-→pp¯ in the c.m. energy range from threshold to 2 GeV with the CMD-3 detector. Phys. Lett. B 2016, 759, 634. [Google Scholar] [CrossRef]
- Andreotti, M.; Bagnasco, S.; Baldini, W.; Bettoni, D.; Borreani, G.; Buzzo, A.; Calabrese, R.; Cester, R.; Cibinetto, G.; Dalpiaz, P.; et al. Measurements of the magnetic form-factor of the proton for timelike momentum transfers. Phys. Lett. B 2003, 559, 20. [Google Scholar] [CrossRef]
- Antonelli, A.; Baldini, R.; Benasi, P.; Bertani, M.; Biagini, M.E.; Bidoli, V.; Bini, C.; Bressani, T.; Calabrese, R.; Cardarelli, R.; et al. The first measurement of the neutron electromagnetic form-factors in the timelike region. Nucl. Phys. B 1998, 517, 3. [Google Scholar] [CrossRef]
- Ablikim, M.; Achasov, M.N.; Adlarson, P.; Ahmed, S.; Albrecht, M.; Alekseev, M.; Amoroso, A.; An, F.F.; An, Q.; Bai, Y.; et al. Measurement of proton electromagnetic form factors in e+e-→pp¯ in the energy region 2.00–3.08 GeV. Phys. Rev. Lett. 2020, 124, 042001. [Google Scholar] [CrossRef] [PubMed]
- Bardin, G.; Burgun, G.; Calabrese, R.; Capon, G.; Carlin, R.; Dalpiaz, P.; Dalpiaz, P.F.; Derré, J.; Dosselli, U.; Duclos, J.; et al. Determination of the electric and magnetic form factors of the proton in the timelike region. Nucl. Phys. B 1994, 411, 3. [Google Scholar] [CrossRef]
- Bisello, D.; Limentani, S.; Nigro, M.; Pescara, L.; Posocco, M.; Sartori, P.; Augustin, J.E.; Busetto, G.; Cosme, G.; Couchot, F.; et al. A measurement of e+e-→pp¯ for (1975≤s≤2250) MeV. Nucl. Phys. B 1983, 224, 379. [Google Scholar] [CrossRef]
- Ambrogiani, M.; Bagnasco, S.; Baldini, W.; Bettoni, D.; Borreani, G.; Buzzo, A.; Calabrese, R.; Cester, R.; Dalpiaz, P.; Fan, X.; et al. Measurements of the magnetic form-factor of the proton in the timelike region at large momentum transfer. Phys. Rev. D 1999, 60, 032002. [Google Scholar] [CrossRef]
- Aubert, B.; Bona, M.; Boutigny, D.; Karyotakis, Y.; Lees, J.P.; Poireau, V.; Prudent, X.; Tisserand, V.; Zghiche, A.; Tico, J.G.; et al. Study of e+e-→ΛΛ¯,ΛΣ¯0,Σ0Σ¯0 using ISR. Phys. Rev. D 2007, 76, 092006. [Google Scholar] [CrossRef]
- Lees, J.P.; Poireau, V.; Tisserand, V.; Grauges, E.; Palano, A.; Eigen, G.; Stugu, B.; Brown, D.N.; Kerth, L.T.; Kolomensky, Y.G.; et al. Measurement of the e+e-→pp¯ cross section in the energy range from 3.0 to 6.5 GeV. Phys. Rev. D 2013, 88, 072009. [Google Scholar] [CrossRef]
- Lees, J.P.; Poireau, V.; Tisserand, V.; Grauges, E.; Palano, A.; Eigen, G.; Stugu, B.; Brown, D.N.; Kerth, L.T.; Kolomensky, Y.G.; et al. Study of e+e-→pp¯ via initial-state radiation at BaBar. Phys. Rev. D 2013, 87, 092005. [Google Scholar] [CrossRef]
- Ablikim, M.; Achasov, M.N.; Ai, X.C.; Albayrak, O.; Albrecht, M.; Ambrose, D.J.; Amoroso, A.; An, F.F.; An, Q.; Bai, J.Z.; et al. Measurement of the proton form factor by studying e+e-→pp¯. Phys. Rev. D 2015, 91, 112004. [Google Scholar] [CrossRef]
- Armstrong, T.A.; Bettoni, D.; Bharadwaj, V.; Biino, C.; Borreani, G.; Broemmelsiek, D.; Buzzo, A.; Calabrese, R.; Ceccucci, A.; Cester, R.; et al. Measurement of the proton electromagnetic form-factors in the timelike region at 8.9 to 13 GeV2. Phys. Rev. Lett. 1993, 70, 1212. [Google Scholar] [CrossRef]
- Passchier, I.; van Buuren, L.D.; Szczerba, D.; Alarcon, R.; Bauer, T.S.; Boersma, D.J.; van den Brand, J.F.J.; Bulten, H.J.; Ent, R.; Ferro-Luzzi, M.; et al. Spin momentum correlations in quasielastic electron scattering from deuterium. Phys. Rev. Lett. 2002, 88, 102302. [Google Scholar] [CrossRef]
- Gayou, O.; Aniol, K.A.; Averett, T.; Benmokhtar, F.; Bertozzi, W.; Bimbot, L.; Brash, E.J.; Calarco, J.R.; Cavata, C.; Chai, Z.; et al. Measurement of GEp/GMp in e→p→ep→ to Q2=5.6 GeV2/c2. Phys. Rev. Lett. 2002, 88, 092301. [Google Scholar] [CrossRef] [PubMed]
- Madey, R.; Semenov, A.Y.; Taylor, S.; Plaster, B.; Aghalaryan, A.; Crouse, E.; MacLachlan, G.; Tajima, S.; Tireman, W.; Yan, C.; et al. Measurements of the neutron electric to magnetic form-factor ratio GEn/GMn via 2H((e→,e′n)1H reaction to Q2=1.45(GeV/c)2. Phys. Rev. Lett. 2003, 91, 122002. [Google Scholar] [CrossRef] [PubMed]
- Warren, G.; Wesselmann, F.; Zhu, H.; McKee, P.; Savvinov, N.; Zeier, M.; Aghalaryan, A.; Ahmidouch, A.; Arenhövel, H.; Asaturyan, R.; et al. Measurement of the electric form-factor of the neutron at Q2=0.5 and 1.0 GeV2/c2. Phys. Rev. Lett. 2004, 92, 042301. [Google Scholar] [CrossRef] [PubMed]
- Huang, G.; Ferroli, R.B. Probing the internal structure of baryons. Natl. Sci. Rev. 2021, 8, nwab187. [Google Scholar] [CrossRef]
- Ramalho, G.; Tsushima, K.; Thomas, A.W. Octet baryon electromagnetic form factors in nuclear medium. J. Phys. G 2013, 40, 015102. [Google Scholar] [CrossRef]
- Gross, F.; Ramalho, G.; Tsushima, K. Using baryon octet magnetic moments and masses to fix the pion cloud contribution. Phys. Lett. B 2010, 690, 183. [Google Scholar] [CrossRef]
- Eichmann, G.; Sanchis-Alepuz, H.; Williams, R.; Alkofer, R.; Fischer, C.S. Review on the progress in nuclear fission experimental methods and theoretical descriptions. Prog. Part. Nucl. Phys. 2016, 91, 1. [Google Scholar] [CrossRef]
- Kubis, B.; Meissner, U.G. Baryon form-factors in chiral perturbation theory. Eur. Phys. J. C 2001, 18, 747. [Google Scholar] [CrossRef]
- Geng, L.S.; Camalich, J.M.; Alvarez-Ruso, L.; Vacas, M.J.V. Leading SU(3)-breaking corrections to the baryon magnetic moments in Chiral Perturbation Theory. Phys. Rev. Lett. 2008, 101, 222002. [Google Scholar] [CrossRef] [PubMed]
- Green, J.R.; Negele, J.W.; Pochinsky, A.V.; Syritsyn, S.N.; Engelhardt, M.; Krieg, S. Threshold expansion of the three-particle quantization condition. Phys. Rev. D 2014, 90, 074507. [Google Scholar] [CrossRef]
- Liu, Y.L.; Huang, M.Q. Electromagnetic form factors of the Λ and Σ baryons in an alternative baryonic current approach. Phys. Rev. D 2009, 79, 114031. [Google Scholar] [CrossRef]
- Brodsky, S.J.; Farrar, G.R. Scaling laws for large momentum transfer processes. Phys. Rev. D 1975, 11, 1309. [Google Scholar] [CrossRef]
- Anselmino, M.; Predazzi, E.; Ekelin, S.; Fredriksson, S.; Lichtenberg, D.B. Diquarks. Rev. Mod. Phys. 1993, 65, 1199. [Google Scholar] [CrossRef]
- Jaffe, R.L.; Wilczek, F. Diquarks and exotic spectroscopy. Phys. Rev. Lett. 2003, 91, 232003. [Google Scholar] [CrossRef] [PubMed]
- Jaffe, R.L. Exotica. Phys. Rep. 2005, 409, 1. [Google Scholar] [CrossRef]
- Cabibbo, N.; Gatto, R. Electron Positron Colliding Beam Experiments. Phys. Rev. 1961, 124, 1577. [Google Scholar] [CrossRef]
- Brodsky, J.S.; Lebed, F.R. Production of the Smallest QED Atom: True Muonium (μ+μ-). Phys. Rev. Lett. 2009, 102, 213401. [Google Scholar] [CrossRef]
- Ablikim, M.; Achasov, M.N.; Ahmed, S.; Albrecht, M.; Alekseev, M.; Amoroso, A.; An, F.F.; An, Q.; Bai, J.Z.; Bai, Y.; et al. Precision measurement of the e+e-→Λc+Λ¯c- cross section near threshold. Phys. Rev. Lett. 2018, 120, 132001. [Google Scholar] [CrossRef] [PubMed]
- Dobbs, S.; Seth, K.K.; Tomaradze, A.; Xiao, T.; Bonvicini, G. First measurements of timelike form factors of the hyperons, Λ,Σ0,Σ+,Ξ0,Ξ-, and Ω-, and evidence of diquark correlations. Phys. Lett. B 2014, 739, 90. [Google Scholar] [CrossRef]
- Dobbs, S.; Seth, K.K.; Tomaradze, A.; Xiao, T.; Bonvicini, G. Hyperon form factors and diquark correlations. Phys. Rev. D 2017, 96, 092004. [Google Scholar] [CrossRef]
- Zyla, P.A.; Barnett, R.M.; Beringer, J.; Dahl, O.; Dwyer, D.A.; Groom, D.E.; Lin, C.-J.; Lugovsky, K.S.; Pianori, E.; Robinson, D.J.; et al. Review of Particle Physics. Prog. Theor. Exp. Phys. 2020, 2020, 083C01. [Google Scholar]
- Seth, K.K.; Dobbs, S.; Metreveli, Z.; Tomaradze, A.; Xiao, T.; Bonvicini, G. Electromagnetic Structure of the Proton, Pion, and Kaon by High-Precision Form Factor Measurements at Large Timelike Momentum Transfers. Phys. Rev. Lett. 2013, 110, 022002. [Google Scholar] [CrossRef] [PubMed]
- Brodsky, S.J.; Farrar, G.R. Scaling laws at large transverse momentum. Phys. Rev. Lett. 1973, 31, 1153. [Google Scholar] [CrossRef]
- Ablikim, M.; Achasov, M.N.; Adlarson, P.; Ahmed, S.; Albrecht, M.; Amoroso, A.; An, Q.; Bai, Y.; Bakina, O.; Baldini Ferroli, R.; et al. Measurements of Σ+ and Σ- timelike electromagnetic form factors for center-of-mass energies from 2.3864 to 3.0200 GeV. Phys. Lett. B 2021, 814, 136110. [Google Scholar] [CrossRef]
- Ablikim, M.; Achasov, M.N.; Adlarson, P.; Ahmed, S.; Albrecht, M.; Amoroso, A.; An, Q.; Bai, Y.; Bakina, O.; Baldini Ferroli, R.; et al. Measurement of the e+e-→Σ0Σ¯0 cross sections at center-of-mass energies from 2.3864 to 3.0200 GeV. arXiv 2021, arXiv:2110.04510v1. [Google Scholar]
- Chernyak, V.L.; Zhitnitsky, A.R. Asymptotic behavior of exclusive processes in QCD. Phys. Rept. 1984, 112, 173. [Google Scholar] [CrossRef]
- Chernyak, V.L.; Ogloblin, A.A.; Zhitnitsky, I.R. Wave Functions of Octet Baryons. Z. Phys. C 1989, 42, 569. [Google Scholar] [CrossRef]
- Ablikim, M.; Achasov, M.N.; Ahmed, S.; Ai, X.C.; Albayrak, O.; Albrecht, M.; Ambrose, D.J.; Amoroso, A.; An, F.F.; An, Q.; et al. Observation of a cross-section enhancement near mass threshold in e+e-→ΛΛ¯. Phys. Rev. D 2018, 97, 032013. [Google Scholar] [CrossRef]
- Ablikim, M.; Achasov, M.N.; Adlarson, P.; Ahmed, S.; Albrecht, M.; Alekseev, M.; Amoroso, A.; An, F.F.; An, Q.; Bai, Y.; et al. Complete measurement of the Λ electromagnetic form factors. Phys. Rev. Lett. 2019, 123, 122003. [Google Scholar] [CrossRef] [PubMed]
- El-Bennich, B.; Lacombe, M.; Loiseau, B.; Wycech, S. Paris NN¯ potential constrained by recent antiprotonic-atom data and n¯p total cross sections. Phys. Rev. C 2009, 79, 054001. [Google Scholar] [CrossRef]
- Baldini, R.; Pacetti, S.; Zallo, A.; Zichichi, A. Unexpected features of e+e-→pp¯ and e+e-→ΛΛ¯ cross sections near threshold. Eur. Phys. J. A 2009, 39, 315–321. [Google Scholar] [CrossRef]
- Ferroli, R.B.; Pacetti, S.; Zallo, A. No Sommerfeld resummation factor in e+e-→pp¯. Eur. Phys. J. A 2012, 48, 33. [Google Scholar] [CrossRef]
- Brodsky, S.J.; Hoang, A.H.; Kuhn, J.H.; Teubner, T. Angular distributions of massive quarks and leptons close to threshold. Phys. Lett. B 1995, 359, 355. [Google Scholar] [CrossRef]
- Ablikim, M.; Achasov, M.N.; Adlarson, P.; Ahmed, S.; Albrecht, M.; Alekseev, M.; Amoroso, A.; An, F.F.; An, Q.; Bai, Y.; et al. Future physics program at BESIII. Chin. Phys. C 2020, 44, 040001. [Google Scholar] [CrossRef]
- Zhou, X. Experimental Program at Super Tau-Charm Facility. PoS (CHARM2020) 007. 2021. Available online: https://inspirehep.net/literature/1926635 (accessed on 15 November 2021).
- Bondar, A.E. Project of a Super Charm-Tau factory at the Budker Institute of Nuclear Physics in Novosibirsk. Phys. Atom. Nucl. 2013, 76, 1072. [Google Scholar] [CrossRef]
- Belias, A. FAIR status and the PANDA experiment. JINST 2020, 15, C10001. [Google Scholar] [CrossRef]




Publisher’s Note: MDPI stays neutral with regard to jurisdictional claims in published maps and institutional affiliations. |
© 2022 by the authors. Licensee MDPI, Basel, Switzerland. This article is an open access article distributed under the terms and conditions of the Creative Commons Attribution (CC BY) license (https://creativecommons.org/licenses/by/4.0/).
Share and Cite
Irshad, M.; Liu, D.; Zhou, X.; Huang, G. Electromagnetic Form Factors of Σ Hyperons. Symmetry 2022, 14, 69. https://doi.org/10.3390/sym14010069
Irshad M, Liu D, Zhou X, Huang G. Electromagnetic Form Factors of Σ Hyperons. Symmetry. 2022; 14(1):69. https://doi.org/10.3390/sym14010069
Chicago/Turabian StyleIrshad, Muzaffar, Dong Liu, Xiaorong Zhou, and Guangshun Huang. 2022. "Electromagnetic Form Factors of Σ Hyperons" Symmetry 14, no. 1: 69. https://doi.org/10.3390/sym14010069
APA StyleIrshad, M., Liu, D., Zhou, X., & Huang, G. (2022). Electromagnetic Form Factors of Σ Hyperons. Symmetry, 14(1), 69. https://doi.org/10.3390/sym14010069

