Next Article in Journal
On the Optimality of the LR Test for Mediation
Next Article in Special Issue
Effective Majorana Neutrino Mass for ΔL = 2 Neutrino Oscillations
Previous Article in Journal
Analysis of Urban Visual Memes Based on Dictionary Learning: An Example with Urban Image Data
Previous Article in Special Issue
On the Time Distribution of Supernova Antineutrino Flux
 
 
Font Type:
Arial Georgia Verdana
Font Size:
Aa Aa Aa
Line Spacing:
Column Width:
Background:
Article

On Mikheyev–Smirnov–Wolfenstein Resonance Widths

Faculty of Physics, Sofia University, 1164 Sofia, Bulgaria
Symmetry 2022, 14(1), 176; https://doi.org/10.3390/sym14010176
Submission received: 11 December 2021 / Revised: 23 December 2021 / Accepted: 11 January 2022 / Published: 17 January 2022
(This article belongs to the Special Issue Recent Advances in Neutrino Physics)

Abstract

:
The aim of the present paper is the evaluation of the resonance half-widths of the first maximum for the probability of the total neutrino conversion in a medium. We consider the simplest case of two-neutrino mixing in matter with a constant refraction length. The results can be applied, for example, to studies of neutrino oscillations in the Earth’s mantle and elsewhere.

1. Introduction

The neutrino is a unique particle that breaks the fundamental symmetry between left and right in nature: chiral symmetry or parity P. It participates in the weak interactions, which break the discrete symmetries, such as P-symmetry and C-symmetry, between particles and their antiparticles, and also time reversal symmetry, T-symmetry. It is proven experimentally that the strong and electromagnetic interactions preserve the aforementioned symmetries. See reviews [1,2].
The weak interactions are sensitive only to left-handed neutrinos and right-handed antineutrinos in such a way that C P -symmetry is preserved for massless neutrinos, according to the Standard Model. However, it was proven by oscillation experiments that neutrinos are massive particles and can be mixed, but with a different pattern than quarks mixing. Such mixing can lead to a violation of C P -symmetry with an even more rich structure of C P violation phases than that existing in the quark sector. The neutrino mixing matrix is called the Pontecorvo–Maki–Nakagawa–Sakata (PMNS) mixing matrix.
Neutrino propagation in the sun and in Earth, for which medium is asymmetric, with respect to the presence of particles and antiparticles due to the baryon asymmetry of our universe, can lead to an additional violation of C P -symmetry. The symmetry of the resonance shape of the probability distribution of neutrino oscillations in matter is also destroyed by the neutrino interaction with matter.
This paper is dedicated to the evaluation of the resonance half-widths of the first maximum for the probability of the total neutrino conversion in the medium. The simplest case of two-neutrino mixing in matter with a constant refraction length is considered. We explore the resonant enhancement of the transition between two neutrino species. We show that the resonant shape of the transition probability is highly asymmetric, contrary to the usual assumption about a symmetric shape of the resonance widths.

2. Framework and Definitions

The probability of transition between the two weak-eigenstates of ultrarelativistic neutrinos, ν α and ν β ( α β = e , μ , τ , s ) (the symbols e , μ , τ , and s mean electron, muon, tau, and sterile neutrinos, respectively), in matter [3]
P 2 = sin 2 2 θ m sin 2 ϕ m
depends on the mixing function
sin 2 2 θ m = sin 2 2 θ sin 2 2 θ + cos 2 θ ν / 0 2
and the phase
ϕ m = π sin 2 2 θ + cos 2 θ ν / 0 2 ν / 0 · 0 ,
which is proportional to the distance traveled by neutrinos. Here, θ is the vacuum mixing angle, and θ m is the mixing angle in matter. The ratio of the neutrino energy, E, and the neutrino mass squared difference, Δ m 2 , defines the vacuum oscillation length ν = 4 π E / Δ m 2 , and 0 = 2 π / V α β is the refraction length, where V α β is the difference of the effective potentials between propagation of the ν α and ν β states in matter.
The relations (2) and (3) at a fixed vacuum mixing angle θ are expressed through two independent dimensionless variables, x = / 0 and y = ν / 0 . For the first time, it was mentioned in [4,5] that the mixing function sin 2 2 θ m has a resonance form, with respect to the variable y. At the resonance
y R = cos 2 θ
the mixing function (2) reaches the maximum sin 2 2 θ m = 1 with the symmetric half-widths on both sides at half-maxima, with respect to the variable y:
Δ y R = sin 2 θ .
In the following, we consider the case when the resonance happens for vacuum mixing angles in the first octant 0 θ π / 4 , which correspond to positive y R . In the case π / 4 θ π / 2 , resonance is possible for the opposite signs of Δ m 2 or V α β .
It is clear that the half-width (5) is the supremum of the observable half-widths for the probability (1), with respect to the variable y, since there is an additional multiplier sin 2 ϕ m ( x , y ) , which is less or equal to 1. This multiplier has an infinite number of maxima, with respect to the variable x, starting from zero. Let us consider for definiteness the first maximum for probability (1) P 2 = 1 , which corresponds to a total neutrino conversion and is reached at
x R = 1 2 cot 2 θ
for fixed y = y R (4).
The half-widths on both sides at half-maxima of the probability (1), with respect to the variable x, are then symmetric and easily calculated
Δ x R = 1 4 cot 2 θ .
Evaluation of resonance half-widths of the probability (1), with respect to the variable y at fixed x = x R (6), cannot be done analytically and will be considered numerically in the next section.

3. Half-Widths with Respect to the Variable y

It is obvious that the probability distribution (1) around the maximum, with respect to the variable y at fixed x = x R , is asymmetric with different half-widths Δ y + = y + y R Δ y = y R y . The equations for new variables z ± = ± Δ y ± / sin 2 θ look the same,
sin π 1 + z ± 2 2 1 + z ± tan 2 θ = 1 + z ± 2 2 ,
but correspond to solutions with different signs z + > 0 and z < 0 , where z + describes the ratio of the exact numerical solution of Equation (8) for the right half-width to the analytical guess of Equation (5), while z corresponds to the negative ratio of the exact numerical solution of Equation (8) for the left half-width to the same analytical symmetric solution of Equation (5).
Equation (8) can be easily solved numerically by Newton’s method, starting with the points z ± = ± 0 . It is interesting to compare the resonance half-width (5) with the half-widths of the resonance peak for the probability (1) (see Figure 1).
There is only one point tan 2 θ = 2 1 or θ = π / 16 at which the right half-width coincides with Equation (5): Δ y + = sin 2 θ .
The Equation (8) allows simple investigation of their limiting cases at tan 2 θ = 0 and tan 2 θ analytically. In the limiting case of small vacuum mixing angles θ , both solutions give the same half-width (see Figure 1)
Δ y + 0 = Δ y 0 = | z 0 | sin 2 θ 0.8 sin 2 θ ,
where z 0 is a solution of the following transcendental equation:
sinc π 2 1 + z 0 2 = 2 π .
The asymptotic solutions for the maximal vacuum mixing angle θ = π / 4 can be found by substitutions z + = a cot 2 θ and z = b cot 2 θ , where a and b are positive constants. There is always only one positive root of Equation (8), which corresponds to the right half-width of the resonance probability peak. In the limiting case, tan 2 θ , we get the solution a = 1 , which corresponds to
Δ y + = cos 2 θ = y R .
However, there are infinitely many negative roots at tan 2 θ , which correspond to oscillation peaks on the left side of the first resonance peak at y = y R (4). The only maximal solution
Δ y = 1 3 cos 2 θ = 1 3 y R
with b = 1 / 3 corresponds to the left half-width of the resonance probability peak.
Therefore, in both limiting cases, the absolute values of the widths tend to zero at x = x R (6), starting from the symmetric peak (9) at small mixing angles to the maximally asymmetric half-widths ratio Δ y + / Δ y = 3 (11,12) at the maximal vacuum mixing angle (see Figure 2).
In the same limiting case tan 2 θ , we can also find the positions of all non-resonance maxima, including the resonance ( n = 1 )
y R n = 1 2 n 1 cos 2 θ ,
where n = 1 , 2 , 3 , and the corresponding half-widths are
Δ y + n = 1 ( 2 n 1 ) ( 4 n 3 ) cos 2 θ = 1 4 n 3 y R n ,
Δ y n = 1 ( 2 n 1 ) ( 4 n 1 ) cos 2 θ = 1 4 n 1 y R n .
However, due to strong asymmetry in the probability distribution shape, with respect to the location of the absolute maximum, especially in the case of tan 2 θ 1 , these formulae cannot give an adequate description of the Mikheyev–Smirnov–Wolfenstein (MSW) resonance width. Therefore, it will be considered in the next section.

4. Full Consideration of the Resonance Width

Let us consider the shapes of the probability distribution (1) in the two-dimensional ( y , x ) plane. There are two lines that correspond to maximal values of the multipliers in Equation (1): y = cos 2 θ and
x = y 2 sin 2 2 θ + ( y cos 2 θ ) 2 = x 1 ( y )
for the first maximum. The maximum P 2 = 1 is reached at the point ( y R , x R ) , while the condition P 2 1 / 2 defines the ranges, with respect to the variable y
min ( sin 2 θ , cos 2 θ ) Δ y sin 2 θ ,
where Δ y = y cos 2 θ , and with respect to the variable x
| Δ x | 2 x 1 ( y ) π arccos sin 2 2 θ + Δ y 2 2 sin 2 2 θ ,
where Δ x = x x 1 . In Figure 3, the total width dependence on parameter θ are shown.
The solid (red) line presents the total width for the variable y Equation (17), while the dashed (blue) line presents the maximal value of width for the variable x Equation (18) at fixed y. From Figure 3, it is clear that the resonance shapes for the small mixing parameter θ and the maximal mixing θ = π / 4 are highly asymmetric (Figure 4a,c).
For small mixing angles (Figure 4a), the resonance shape has a very narrow width, with respect to the variable y around 1, and very long ridge, with respect to the variable x. This resonance disappears at zero mixing in infinity, with respect to the variable x. The intermediate (between π / 16 and π / 8 ) mixing angle θ 2 π / 25 (Figure 3) leads to a resonance shape with nearly the same sizes, with respect to the variables x and y (Figure 4b), while the maximal mixing θ = π / 4 again shows the asymmetric shape with an absolute maximum at x = y = 0 (Figure 4c).

5. Applications

In the case of three neutrino mixing, there is a 3 × 3 unitary mixing matrix U P M N S :
ν e ν μ ν τ = U P M N S ν 1 ν 2 ν 3 , U P M N S = U 23 U δ U 13 U 12 U δ U η ,
where the matrix U i j corresponds to the rotation in the ( i j ) -plane by an angle θ i j , while U δ = diag ( 1 , 1 , e i δ ) takes into account C P violation phase δ and U η = diag ( e i η 1 , e i η 2 , 1 ) introduces the Majorana phases. It is the well-known PMNS mixing matrix.
Since matter-induced neutrino potential V = diag ( V e μ , 0 , 0 ) commutes with U 23 , angle θ 23 is not affected by matter. Finally, in the case of neutrino masses m 1 m 2 m 3 or m 1 m 2 m 3 , mass matrix commutes approximately with U 12 and commutes with U δ and U η . Therefore, the problem can be reduced with good approximation to two flavours without the effect of the C P violation phase δ , the Majorana phases η 1 , η 2 , or mixing angle θ 12 . Therefore, for the ν e ν μ transition we get:
P e μ = P μ e = sin 2 θ 23 P 2 ,
where the two flavours probability P 2 from Equation (1) depends on the vacuum mixing angle θ = θ 13 , mass squared difference Δ m 2 = m 3 2 m 1 2 , and the effective potential V e μ = 2 G F N e . In the last expression, G F is the Fermi coupling constant and N e is the electron number density in the medium.
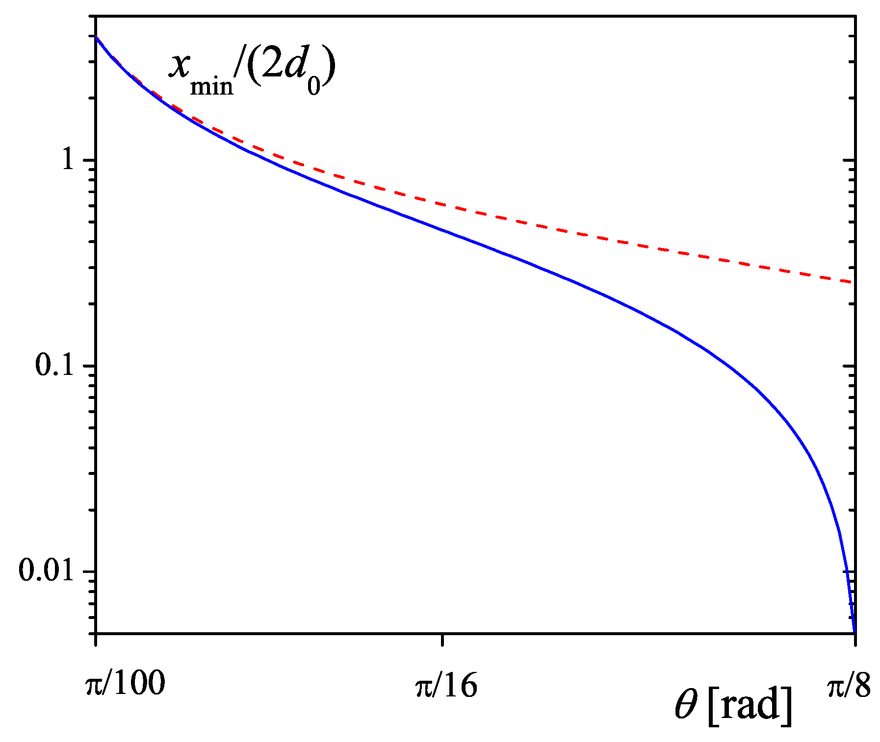
In [6], the authors derived the minimal width of the medium d m i n , below which the probability conversion P 2 is less than 1/2. For a uniform medium in approximation of small vacuum mixing angles at the resonance y R , they got the following relation:
d m i n = d 0 cot 2 θ ,
where d 0 = π / ( 2 2 G F ) is the refraction width. Although it is a good approximation for very small vacuum mixing angles (see Figure 4a), Figure 4b demonstrates that it is not the case for bigger vacuum mixing angles when corrections to Equation (21) must be applied. Indeed, x m i n is always reached at y values less than y R . In Figure 5, a comparison between the minimal width of the medium from Equation (21) and a direct calculation using Equations (16) and (18) is shown. Direct calculations show that at θ π / 8 , the minimal width of the medium tends to zero: x m i n 0 , where there is maximal deviation from Equation (21). For the physical value of the mixing angle θ 13 8 . 6 , we get from Equation (21) about 20% bigger value than that obtained from the direct calculations.
At the end of this section, we apply Equations (16)–(18) to calculate the shape of the resonance peak in the Earth’s mantle for atmospheric neutrinos. If the mass squared difference is positive Δ m 2 = m 3 2 m 1 2 2.4 × 10 3 GeV > 0 (normal neutrino mass order), the MSW matter enhancement of oscillations will take place between electron and muon neutrinos. For negative mass squared difference (inverted order), the matter oscillation enhancement will take place for the corresponding antineutrinos.
The electron number density in the Earth’s mantle can be estimated assuming a constant matter density ρ m 5 g/cm3 with an electron fraction number Y e 0.5 and Avogadro constant, N A , as N e = Y e ρ m N A . From Equation (4), the resonance energy is
E R = Δ m 2 2 V e μ · y R 6 GeV .
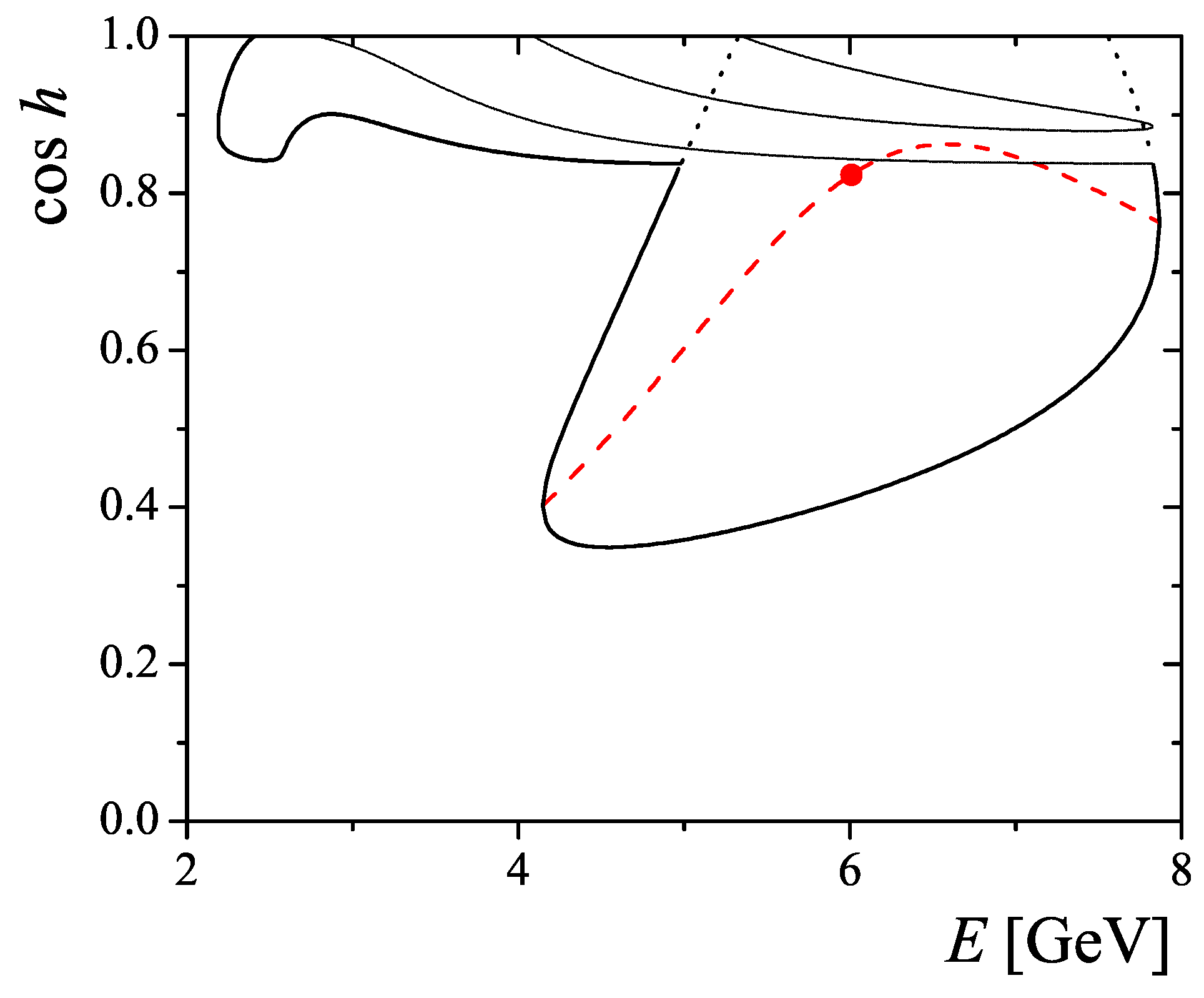
In order to calculate the distance from the Earth’s atmosphere to the detector, where the total neutrino conversion takes place, we will use Equation (6),
cos h R = π R V e μ · x R 0.82 cos ( 35 ) ,
where h is the nadir angle and R 6371 km is the Earth’s radius. The position of the absolute maximum is presented in Figure 6.
It corresponds to neutrino trajectory in the mantle close to the Earth’s core, which has a radius R c 3480 km. Therefore, the neutrino trajectories with a nadir angle less than h c 33 , crossing both the mantle and the core of the Earth, which have different matter densities and MSW resonance description, is not applicable for this region. The MSW resonance shape ( P 2 = 1 / 2 ) is shown in Figure 6 with a solid line for the applicable region h h c and with a dotted line for the unphysical case when the Earth’s interior had a constant matter density ρ m .
The resonance shape of the probability distribution of the neutrino trajectories with h < h c cannot be described by the MSW resonance curve (1). In this region, another matter effect is operative: the interference effect between neutrino wave functions in the mantle and in the core [7].

6. Discussion

The neutrino propagation in the medium can be described using the MSW approach [3,4,5]. The probability of oscillations between two ultrarelativistic neutrino species for a constant matter density and its constant electron fraction number is described by Equation (1). There is a phenomenon of resonant enhancement of transition between species, which leads to a maximal mixing angle in the matter θ m = π / 4 and total neutrino conversion.
It is usually accepted that the resonance half-widths are symmetric and given by Equation (5). In this paper, we investigate the resonance shape of the probability distribution P 2 Equation (1) on two independent parameters, x and y, which are proportional to the distance travelled by the neutrino and neutrino energy E, correspondingly. Using the analytical Equations (16)–(18), for the first maximum it is shown that the resonance shape is highly asymmetric (Figure 4). Equation (16) can be easily generalised for the n-th maximum
x n ( y ) = ( 2 n 1 ) y 2 sin 2 2 θ + ( y cos 2 θ ) 2 ,
while the equations for the half-widths (17) and (18) are valid for any resonance maximum.
Our formulae are applicable for any fixed vacuum mixing angles θ . However, it should be pointed out that Equation (4) leads to the solution E = 0 at the maximal vacuum mixing angle θ = π / 4 . Certainly, such a solution with zero neutrino energy corresponds to an unphysical case, because Equation (1) is applicable only to a ultrarelativistic neutrino. This limiting case will be considered in details elsewhere.

Funding

This research received no external funding.

Conflicts of Interest

The author declares no conflict of interest.

Abbreviations

The following abbreviations are used in this manuscript:
PMNSPontecorvo—Maki—Nakagawa—Sakata
MSWMikheyev—Smirnov—Wolfenstein

References

  1. Lehnert, R. CPT Symmetry and Its Violation. Symmetry 2016, 8, 114. [Google Scholar] [CrossRef] [Green Version]
  2. Antonelli, V.; Miramonti, L.; Torri, M.D.C. Phenomenological Effects of CPT and Lorentz Invariance Violation in Particle and Astroparticle Physics. Symmetry 2020, 12, 1821. [Google Scholar] [CrossRef]
  3. Wolfenstein, L. Neutrino oscillations in matter. Phys. Rev. D 1978, 17, 2369–2374. [Google Scholar] [CrossRef]
  4. Mikheyev, S.P.; Smirnov, A.Y. Resonance enhancement of oscillations in matter and solar neutrino spectroscopy. Sov. J. Nucl. Phys. 1985, 42, 913–917. [Google Scholar]
  5. Mikheyev, S.P.; Smirnov, A.Y. Resonant Amplification of ν Oscillations in Matter and Solar-Neutrino Spectroscopy. Nuovo Cim. C 1986, 9, 17–26. [Google Scholar] [CrossRef]
  6. Lunardini, C.; Smirnov, A.Y. The minimum width condition for neutrino conversion in matter. Nucl. Phys. B 2000, 583, 260–290. [Google Scholar] [CrossRef] [Green Version]
  7. Chizhov, M.V.; Petcov, S.T. Enhancing mechanisms of neutrino transitions in a medium of nonperiodic constant-density layers and in the Earth. Phys. Rev. D 2001, 63, 073003. [Google Scholar] [CrossRef] [Green Version]
Figure 1. A comparison between the half-widths: The sign-dependent ratio of the exact numerical solution of Equation (8) to the analytical guess of Equation (5).
Figure 1. A comparison between the half-widths: The sign-dependent ratio of the exact numerical solution of Equation (8) to the analytical guess of Equation (5).
Symmetry 14 00176 g001
Figure 2. The difference between the upper and lower curves presents the absolute half-width dependence, with respect to tan 2 θ .
Figure 2. The difference between the upper and lower curves presents the absolute half-width dependence, with respect to tan 2 θ .
Symmetry 14 00176 g002
Figure 3. The total width dependence, with respect to the parameter θ for the variable y (solid line) and maximal width for the variable x (dashed line).
Figure 3. The total width dependence, with respect to the parameter θ for the variable y (solid line) and maximal width for the variable x (dashed line).
Symmetry 14 00176 g003
Figure 4. Resonance shapes (solid lines for P 2 = 1 / 2 ) for the mixing parameters π / 100 (a), 2 π / 25 (b), and π / 4 (c). Dashed lines correspond to Equation (16), and the dots show the absolute maxima.
Figure 4. Resonance shapes (solid lines for P 2 = 1 / 2 ) for the mixing parameters π / 100 (a), 2 π / 25 (b), and π / 4 (c). Dashed lines correspond to Equation (16), and the dots show the absolute maxima.
Symmetry 14 00176 g004
Figure 5. Comparison of the minimal width of the medium in units of d 0 from Equation (21) (dashed line) and direct calculations (solid line).
Figure 5. Comparison of the minimal width of the medium in units of d 0 from Equation (21) (dashed line) and direct calculations (solid line).
Symmetry 14 00176 g005
Figure 6. Resonance shape of the probability distribution (solid lines for P 2 = 1 / 2 ) for the atmospheric neutrinos in Earth. Dashed line corresponds to Equation (16) and dot shows absolute maximum.
Figure 6. Resonance shape of the probability distribution (solid lines for P 2 = 1 / 2 ) for the atmospheric neutrinos in Earth. Dashed line corresponds to Equation (16) and dot shows absolute maximum.
Symmetry 14 00176 g006
Publisher’s Note: MDPI stays neutral with regard to jurisdictional claims in published maps and institutional affiliations.

Share and Cite

MDPI and ACS Style

Chizhov, M. On Mikheyev–Smirnov–Wolfenstein Resonance Widths. Symmetry 2022, 14, 176. https://doi.org/10.3390/sym14010176

AMA Style

Chizhov M. On Mikheyev–Smirnov–Wolfenstein Resonance Widths. Symmetry. 2022; 14(1):176. https://doi.org/10.3390/sym14010176

Chicago/Turabian Style

Chizhov, Mihail. 2022. "On Mikheyev–Smirnov–Wolfenstein Resonance Widths" Symmetry 14, no. 1: 176. https://doi.org/10.3390/sym14010176

APA Style

Chizhov, M. (2022). On Mikheyev–Smirnov–Wolfenstein Resonance Widths. Symmetry, 14(1), 176. https://doi.org/10.3390/sym14010176

Note that from the first issue of 2016, this journal uses article numbers instead of page numbers. See further details here.

Article Metrics

Back to TopTop