Next Article in Journal
Fuzzy Rough Programming Models: An Expected Value Perspective
Next Article in Special Issue
Big Bang Nucleosynthesis Constraints and Indications for Beyond Standard Model Neutrino Physics
Previous Article in Journal
Topological Structure of Single-Valued Neutrosophic Hesitant Fuzzy Sets and Data Analysis for Uncertain Supply Chains
Previous Article in Special Issue
On Mikheyev–Smirnov–Wolfenstein Resonance Widths
 
 
Font Type:
Arial Georgia Verdana
Font Size:
Aa Aa Aa
Line Spacing:
Column Width:
Background:
Article

Effective Majorana Neutrino Mass for ΔL = 2 Neutrino Oscillations

1
Faculty of Mathematics, Physics and Informatics, Comenius University, Mlynská dolina F1, SK842 48 Bratislava, Slovakia
2
Institute of Experimental and Applied Physics, Czech Technical University in Prague, 110 00 Prague, Czech Republic
*
Authors to whom correspondence should be addressed.
Symmetry 2022, 14(7), 1383; https://doi.org/10.3390/sym14071383
Submission received: 10 June 2022 / Revised: 28 June 2022 / Accepted: 30 June 2022 / Published: 5 July 2022
(This article belongs to the Special Issue Recent Advances in Neutrino Physics)

Abstract

It is well known that the observations of neutrinoless double-beta decay prove the Majorana nature of the neutrino. However, with specific values of Majorana phases, the effective Majorana neutrino mass to be estimated from the observation of neutrinoless double-beta decay experiments is strongly suppressed if the neutrino mass pattern adheres to a normal ordering. In this case, double-beta decay might not be observed even though the neutrino is Majorana in nature. We show if neutrinos oscillate to antineutrinos in their propagation; then, the observation of this oscillation proves that neutrinos are Majorana and will provide a measurement of neutrino masses and Majorana phases.

1. Introduction

The discovery of neutrino oscillation proves that at least two neutrinos should have nonzero mass and three of the flavors mix among each other [1]. Neutrino oscillation data are sensitive to the mass-squared differences of the neutrino ( Δ m 21 2 and Δ m 31 2 ), which allows us to set an upper limit on the absolute mass of two neutrinos. The current best fit value of Δ m 21 2 = 7.42 × 10 5 eV 2 and Δ m 31 2 = 2.51 × 10 3 eV 2 [2] leads to the upper limits m 2 8.6 meV and m 3 50 meV for normal ordering (NO, m 1 < m 2 < m 3 ). One of the the direct ways of measuring the absolute mass of a neutrino is by precisely measuring the energy spectrum of beta particles from single β -decay. In addition, the cosmological observation provides the upper limit on the sum of neutrino masses.
Another important way to probe the neutrino mass is by detecting neutrinoless double-beta decay, which would occur if neutrinos are Majorana particles, i.e., neutrinos are their own anti-particle, and the active light neutrinos are the mediator of the decay [3,4,5,6]. The Majorana nature of the neutrino allows the process of neutrino to antineutrino oscillation, which is studied in several works [7,8,9,10,11,12,13,14,15,16,17,18]. In this paper, we study the effective Majorana neutrino mass with neutrino to antineutrino oscillation.
This paper is organized in the following way. Section 2 describes the theory of neutrino to antineutrino oscillations. In Section 3, we derive the expressions for Majorana phases that result in the lowest possible effective Majorana neutrino mass. We show the enhancement in the lowest possible effective Majorana masses due to neutrino to antineutrino oscillation in Section 4. Finally, we summarize and conclude this work in Section 5.

2. Neutrino to Antineutrino Oscillation

The oscillation between a neutrino and antineutrino is an allowed process if the lepton number is not a good quantum number, which is true if the neutrino is a Majorana particle. The rate of this oscillation is suppressed due to the small mass of the neutrino. The amplitude of ν α ν ¯ γ in propagation from the source to a detector at a distance L is given by [7,8,9,10,11,12,13,14,15,16,17,18]
A ( ν α ν ¯ γ ) = i [ U α i * U γ i * m i E e x p ( i m i 2 2 E L ) ] K ¯ .
The same for the CP-conjugate process ν ¯ α ν γ is
A ( ν ¯ α ν γ ) = i [ U α i U γ i m i E e x p ( i m i 2 2 E L ) ] K .
where K and K ¯ are functions of kinematical factors and nuclear matrix elements, and K = K ¯ due to the CP invariance in a strong interaction. The neutrino mass is denoted by m i with i 1 , 2 , 3 , and E stands for neutrino energy. The parameters U α / γ i ( α , γ e , μ , τ ) are elements of the PMNS matrix, which is the lepton mixing matrix, and it is parameterized with three mixing angles, one Dirac CP phase, and two Majorana phases (if the neutrino is a Majorana particle):
U = c 12 c 13 s 12 c 13 s 13 e i δ s 12 c 23 c 12 s 23 s 13 e i δ c 12 c 23 s 12 s 23 s 13 e i δ s 23 c 13 s 12 s 23 c 12 c 23 s 13 e i δ c 12 s 23 s 12 c 23 s 13 e i δ c 23 c 13 e i ϕ 1 0 0 0 e i ϕ 2 0 0 0 e i δ
where c i j cos θ i j , s i j sin θ i j . The neutrino oscillation in propagation depends on mixing angles θ 12 , θ 13 , θ 23 , and one Dirac CP phase δ , along with neutrino mass-squared differences. On the other hand, the Majorana phases (without losing generality, Majorana phases can be restricted in [ 0 , π ] ), ϕ 1 and ϕ 2 , have no impact on neutrino oscillation; thus, the neutrino oscillation experiments are blind to these phases.
The probability of neutrino to antineutrino oscillation is given by
P ( ν α ν ¯ γ ) = | K ¯ | 2 E 2 ( m ¯ α γ L ) 2
with
m ¯ α γ L = i [ U α i * U γ i * m i e x p ( i m i 2 2 E L ) .
We can write the same for the CP-conjugate process ν ¯ α ν γ as
P ( ν ¯ α ν γ ) = | K | 2 E 2 ( m α γ L ) 2
with
m α γ L = i [ U α i U γ i m i e x p ( i m i 2 2 E L ) .
We call m α γ L and m ¯ α γ L the “effective neutrino mass” in the presence of ν ν ¯ oscillations. Equation (6) boils down to the effective Majorana neutrino mass ( m β β ) with L = 0 , and this can be measured in neutrinoless double-beta decay experiments. We discuss m β β in the next section.

3. Neutrinoless Double-Beta Decay

The observation of neutrinoless double-beta decay not only confirms the Majorana nature of the neutrino but provides the measurement of ethe ffective neutrino mass [3,4,5,6],
m β β = | i U e i 2 m i | .
where m i is the neutrino mass for i = 1, 2, 3. The effective neutrino mass m β β depends on Majorana phases ϕ 1 and ϕ 2 . Putting the elements of the PMNS matrix in Equation (7), one can write
m β β = | ρ 1 e 2 i ϕ 1 + ρ 2 e 2 i ϕ 2 + ρ 3 | , ρ 1 = c 12 2 c 13 2 m 1 , ρ 2 = s 12 2 c 13 2 m 2 , ρ 3 = s 13 2 m 3 .
The minimum value of m β β is [19]
min ϕ 1 , ϕ 2 m β β = | ρ 2 ρ 3 | ρ 1 , if ρ 1 < | ρ 2 ρ 3 | : region I , 0 , if | ρ 2 ρ 3 | ρ 1 ρ 2 + ρ 3 : region II , ρ 1 ( ρ 2 + ρ 3 ) , if ρ 2 + ρ 3 < ρ 1 : region III .
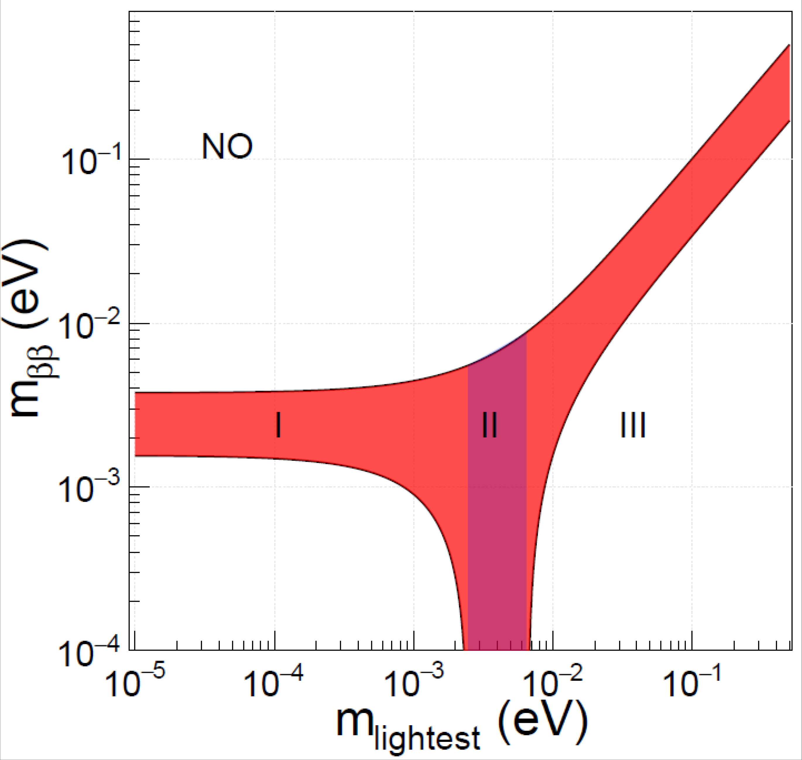
Comparing Equations (8) and (9), Majorana phases corresponding to a minimum m β β in different regions are estimated. In region I (we checked that in region I, the condition ρ 2 > ρ 3 is true over whole range of m 1 with the allowed range of m 1 ; therefore, | ρ 2 ρ 3 | = ρ 2 ρ 3 ), the values of Majorana phases are ϕ 1 = 0 and ϕ 2 = ± π / 2 , whereas in region III, ϕ 1 = ± π / 2 , and ϕ 2 = 0 with the minimum value of m β β . Therefore, Majorana phases responsible for minimum m β β are different in regions I to III. In region II, there is a continuous change of ϕ 1 and ϕ 2 as the functions of the lightest neutrino mass. This dependence of ϕ 1 and ϕ 2 on neutrino mixing angles and masses is given by
ϕ i ± = 1 2 tan 1 Y i ± X i ± ,
where
X 1 ± = ( ρ 1 2 ρ 2 2 + ρ 3 2 ) ρ 1 ρ 3 , Y 1 ± = ( 2 ρ 1 2 ρ 2 2 + 2 ρ 1 2 ρ 3 2 + 2 ρ 2 2 ρ 3 2 ρ 1 4 ρ 2 4 ρ 3 4 ) ρ 1 ρ 3 , X 2 ± = ( ρ 1 2 ρ 2 2 ρ 3 2 ) ρ 2 ρ 3 , Y 2 ± = ± ( 2 ρ 1 2 ρ 2 2 + 2 ρ 1 2 ρ 3 2 + 2 ρ 2 2 ρ 3 2 ρ 1 4 ρ 2 4 ρ 3 4 ) ρ 2 ρ 3 .
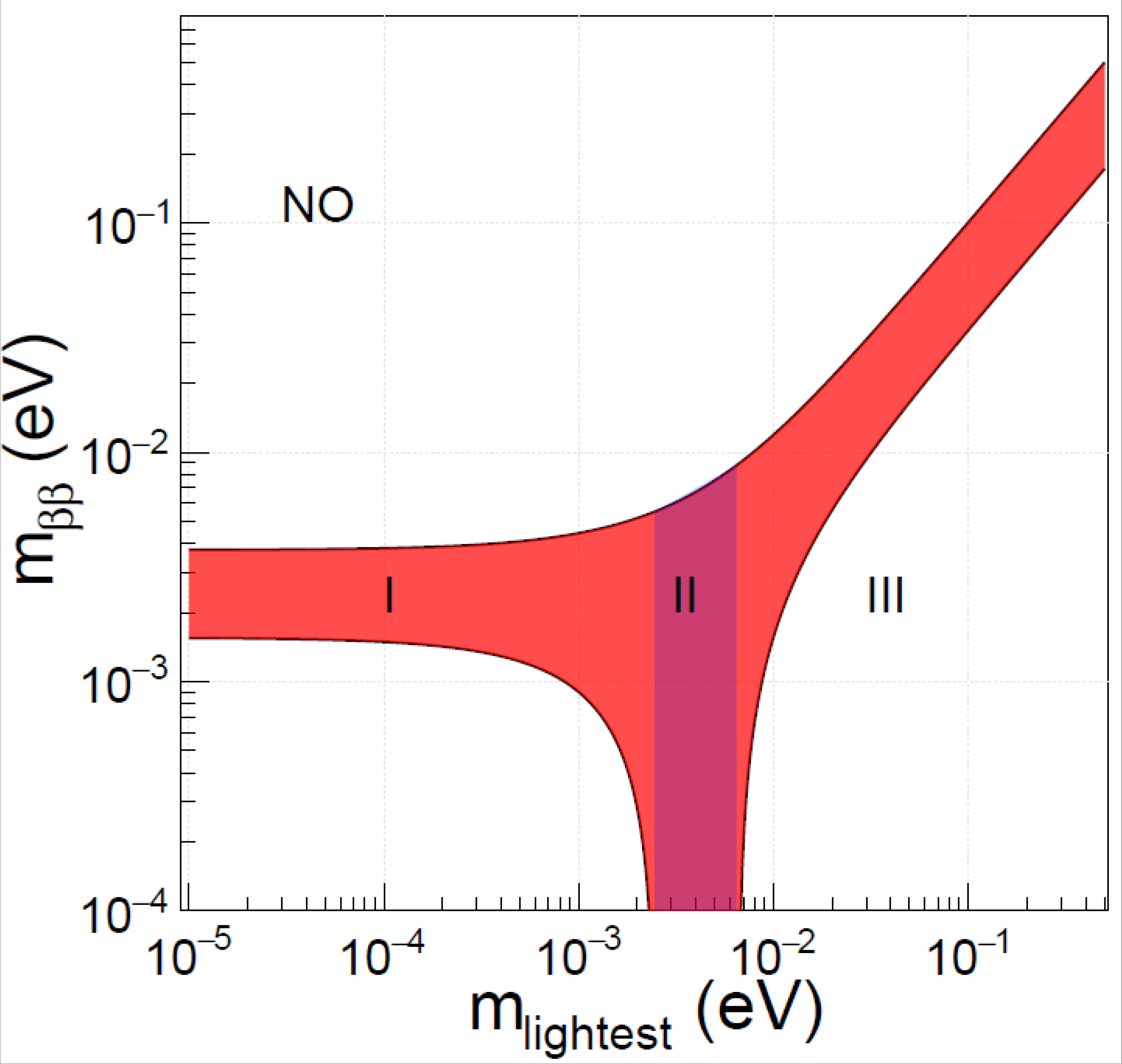
With oscillation parameters θ 12 = 34 , θ 13 = 8 . 5 , Δ m 21 2 = 7.5 × 10 5 eV 2 , and Δ m 21 2 = 2.5 × 10 3 eV 2 , we find that the minimum value of m β β is zero in the range of 2.5 meV < m lightest < 6.5 meV. In Figure 1, we show these regions as functions of lightest mass ( m 1 for NO).
We note that in the case of a neutrino mass spectrum with normal ordering, one can have m β β = 0 as a consequence of an “accidental” relation involving neutrino masses, mixing angles, and the Majorana phases. However, there does not exist a symmetry which forbids neutrinoless double-beta decay, although in this case, the neutrinoless double-beta decay will be allowed. The corresponding effective Majorana mass parameter is determined by [20]
j = 1 3 U e j 2 m j q 3 ,
where q is the momentum of the virtual Majorana neutrino. For the average momentum q , one typically has | q | 2 ( 100 MeV ) 2 . Thus, if the region m β β is equal to zero, this contribution is nonzero, but negligible [20].

4. Results

This section is devoted to describing the results obtained in this study. First, we discuss the modification of the effective Majorana neutrino mass due to the propagation of antineutrinos and detect this as a neutrino in a detector at a distance L from the source. We rewrite Equation (6) in terms of mass-squared differences as
m β β L = U e 1 2 m 1 + U e 2 2 m 2 e x p ( i Δ m 21 2 2 E L ) + U e 3 2 m 3 e x p ( i Δ m 31 2 2 E L ) .
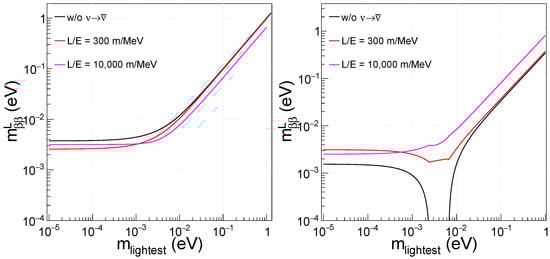
Figure 2 shows the L / E dependence of m β β L with three choices of the lightest neutrino masses, 0.1 meV, 3 meV, and 20 meV, which are in region I, II, and III, respectively. In this paper, we describe all the results with L / E in units of m/MeV. These results are also valid for L / E of same value but in units of km/GeV. The amplitude of oscillation depends on the neutrino mixing angles as well as on the neutrino masses, whereas the frequency depends on the mass-squared difference and L / E . The imprint of two independent mass-squared differences are seen in the plot of m β β L .
With L / E < 2000 m/MeV, the oscillation is predominantly due to Δ m 31 2 L / 2 E , and the amplitude is m 3 sin 2 θ 13 . For L / E > 2000 m/MeV, the second term starts to grow, and its effect is visible in the second and third panel of Figure 2. Since neutrino to antineutrino oscillation introduces an additional phase into the expression of effective neutrino mass, the allowed regions of m β β and m β β L are same. However, an important point to note is that if the value of Majorana phases and the lightest neutrino mass in nature are such that the effective mass of the neutrino is suppressed, and 0 ν β β events are therefore suppressed, then the observation of neutrino to antineutrino oscillation can be a signature for measuring the Majorana phases as well as neutrino masses.
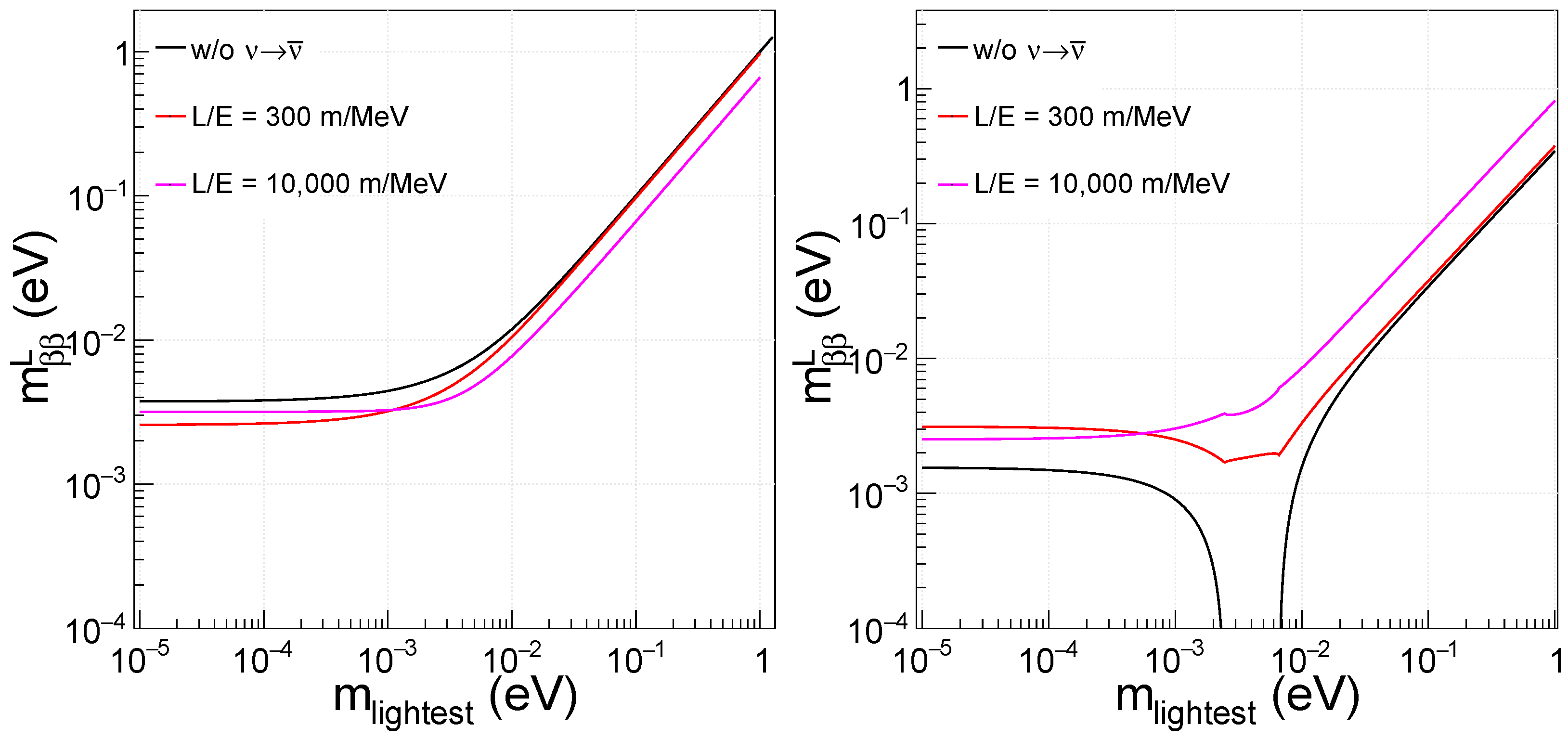
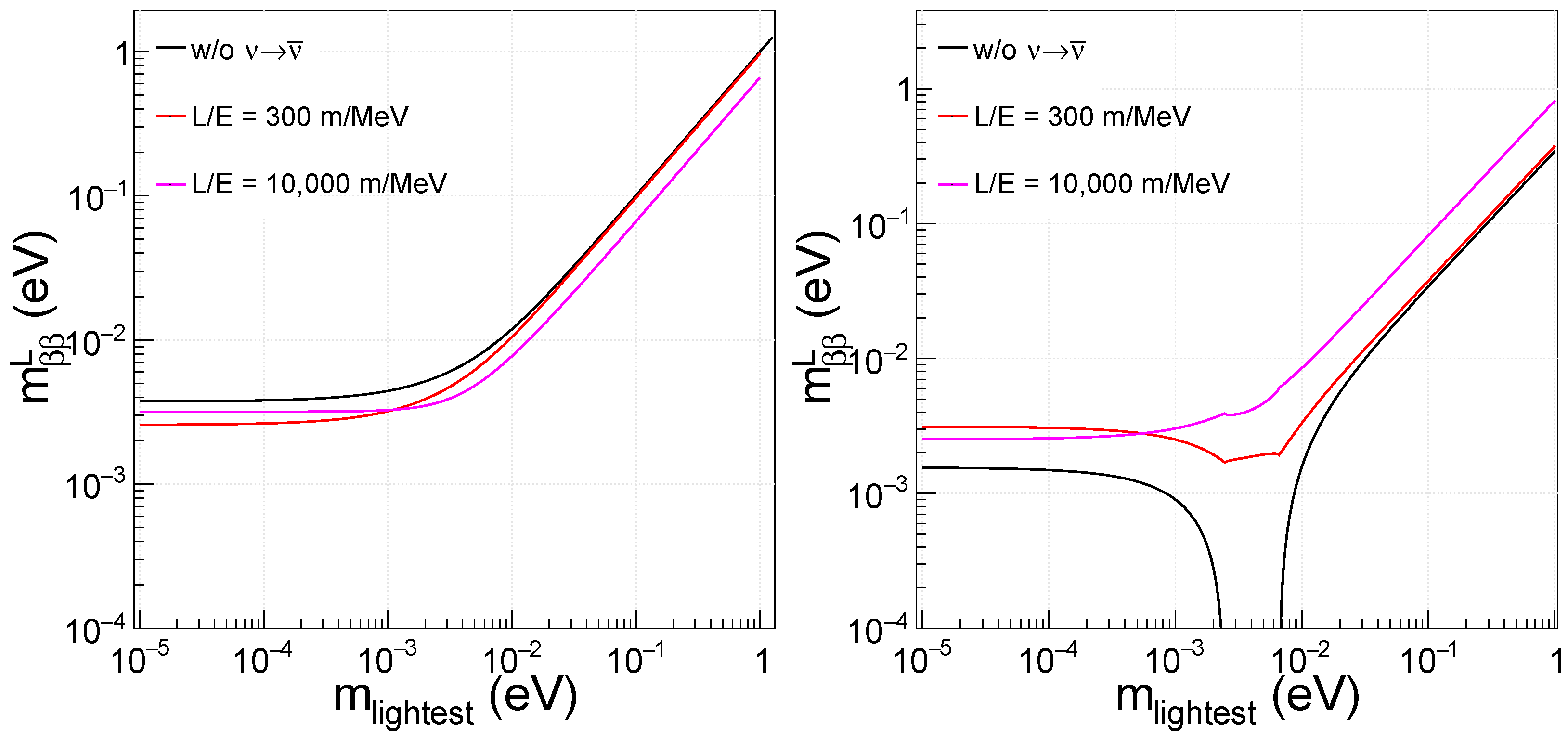
In Figure 3, we present the dependence of m β β L on the lightest mass ( m 1 for NO) for three different L / E values. With L / E = 300 m/MeV (or km/GeV), the major contributing factor to the difference between m β β and m β β L arises due to the third term in Equation (13). For the lightest neutrino at around 0.1 meV, the oscillation due to Δ m 31 2 can change the effective mass from its maximum value to a small—close to minimum—value and vice versa. As the lightest neutrino mass increases, Δ m 31 2 -induced oscillation cannot cover the whole range between the highest and lowest limit of m β β . In this case, with higher values of L / E , Δ m 21 2 -induced oscillation can change m β β L significantly. This explains why we see a larger relative change in m β β L at lower m 1 with L / E = 300 m/MeV, and almost no change m 1 > 1 meV. We find a relative change in m β β L over the whole range of m 1 with L / E = 10 4 m/MeV staying almost the same. The discontinuity feature with a minimum m β β with a nonzero L / E arises due to the different behavior of Majorana phases in the three regions we describe in Section 3.
If the neutrino mass ordering is an inverted ordering (IO), m β β is nonzero over the whole range of m lightest , suppressions of 0 ν β β events due to zero m β β do not arise. In addition, the bands of m β β are rather narrow for IO in the whole range of m lightest , and m β β L remains inside this band; therefore, the difference between m β β and m β β L for IO will not be large.

5. Conclusions

The observation of neutrinoless double-beta decay confirms the Majorana nature of the neutrino. The rate of 0 ν β β events provides the measurement of the effective neutrino mass. The dependence of m β β on unknown Majorana phases results in a large uncertainty in the interpretation of the lightest neutrino mass from m β β . In addition, it is important to note that if the neutrino mass ordering adheres to a normal order and if m lightest is in range of [2.5–6] meV, m β β = 0 with a certain combination of Majorana phases.
In this study, we have derived the expressions for Majorana phases for which effective the Majorana mass becomes zero. We have distinguished three regions of neutrino mass for which the Majorana phases corresponding to the minimum m β β behave in a different way. These are region I: m 1 2.5 meV, II: 2.5 meV < m 1 < 6.5 meV, and III: m 1 6.5 meV with NO. We have considered neutrino to antineutrino oscillation, which is a theoretically allowed process if a neutrino is a Majorana particle, and explored its role in the effective Majorana neutrino mass measurement. The neutrino to antineutrino oscillation provides an indirect measurement of the effective Majorana neutrino mass, which would be different than that measured in the 0 ν β β experiment due to the additional phases introduced in propagation. This oscillation phase depends on neutrino mass-squared differences and L / E -like neutrino flavor oscillation. However, the amplitude of ν ν ¯ oscillation not only depends on mixing angles but also on the absolute masses of neutrinos. This feature of neutrino to antineutrino oscillation will play an important role in neutrino mass measurement.
We have shown that the effective Majorana neutrino ( m β β L ) mass in neutrino to antineutrino oscillation is changed by a larger amount when the lightest neutrino mass is less than region I and II when L / E is as small as 300 m/MeV or km/GeV, where Δ m 31 2 -induced oscillation contributes to the additional phases. Therefore, reactor and accelerator-based neutrino experiment data can be used to search for the signature of m β β L if m 1 lies in region I and II. If L / E becomes as large as 10 4 m/MeV or km/GeV, then m β β L is different than m β β for the whole range of m 1 we consider this study, which is [0.01– 10 3 ] meV. The experimental techniques and possible backgrounds for measuring m β β L are within the scope of more detailed study.

Author Contributions

A.K. and F.Š. contributed equally to the manuscript. All authors have read and agreed to the published version of the manuscript.

Funding

F.Å . acknowledges support by the VEGA Grant Agency of the Slovak Republic under Contract No. 1/0607/20 and by the Ministry of Education, Youth and Sports of the Czech Republic under the INAFYM Grant No. CZ.02.1.01/0.0/0.0/16_019/0000766. A.K. acknowledges support by the VEGA Grant Agency of the Slovak Republic under Contract No. 1/0418/22.

Institutional Review Board Statement

Not applicable.

Informed Consent Statement

Not applicable.

Data Availability Statement

No data is used except the derivation done in our article.

Acknowledgments

F.Š. acknowledges support by the VEGA Grant Agency of the Slovak Republic under Contract No. 1/0607/20 and by the Ministry of Education, Youth and Sports of the Czech Republic under the INAFYM Grant No. CZ.02.1.01/0.0/0.0/16_019/0000766. A.K. acknowledges support by the VEGA Grant Agency of the Slovak Republic under Contract No. 1/0418/22.

Conflicts of Interest

The authors declare no conflict of interest.

References

  1. Tanabashi, M.; Hagiwara, K.; Hikasa, K.; Nakamura, K.; Sumino, Y.; Takahashi, F.; Tanaka, J.; Agashe, K.; Aielli, G.; Amsler, C.; et al. Review of Particle Physics. Phys. Rev. D 2018, 98, 030001. [Google Scholar] [CrossRef]
  2. Esteban, I.; Gonzalez-Garcia, M.C.; Maltoni, M.; Schwetz, T.; Zhou, A. The fate of hints: Updated global analysis of three-flavor neutrino oscillations. J. High Energy Phys. 2020, 9, 178. [Google Scholar] [CrossRef]
  3. Vergados, J.D.; Ejiri, H.; Šimkovic, F. Neutrinoless double beta decay and neutrino mass. Int. J. Mod. Phys. E 2016, 25, 1630007. [Google Scholar] [CrossRef]
  4. Engel, J.; Menéndez, J. Status and Future of Nuclear Matrix Elements for Neutrinoless Double-Beta Decay: A Review. Rept. Prog. Phys. 2017, 80, 046301. [Google Scholar] [CrossRef]
  5. Dolinski, M.J.; Poon, A.W.P.; Rodejohann, W. Neutrinoless Double-Beta Decay: Status and Prospects. Ann. Rev. Nucl. Part. Sci. 2019, 69, 219–251. [Google Scholar] [CrossRef]
  6. Cirigliano, V.; Davoudi, Z.; Dekens, W.; de Vries, J.; Engel, J.; Feng, X.; Gehrlein, J.; Graesser, M.L.; Gráf, L.; Hergert, H.; et al. Neutrinoless Double-Beta Decay: A Roadmap for Matching Theory to Experiment. arXiv 2022, arXiv:2203.12169. [Google Scholar]
  7. Bahcall, J.N.; Primakoff, H. Neutrino-anti-neutrinos Oscillations. Phys. Rev. D 1978, 18, 3463–3466. [Google Scholar] [CrossRef]
  8. Li, L.F.; Wilczek, F. Physical Processes Involving Majorana Neutrinos. Phys. Rev. D 1982, 25, 143. [Google Scholar] [CrossRef]
  9. Schechter, J.; Valle, J.W.F. Neutrino Oscillation Thought Experiment. Phys. Rev. D 1981, 23, 1666. [Google Scholar] [CrossRef]
  10. Chang, L.N.; Chang, N.P. Structure of the Vacuum and Neutron and Neutrino Oscillations. Phys. Rev. Lett. 1980, 45, 1540. [Google Scholar] [CrossRef]
  11. Bernabeu, J.; Pascual, P. CP Properties of the Leptonic Sector for Majorana Neutrinos. Nucl. Phys. B 1983, 228, 21–30. [Google Scholar] [CrossRef]
  12. Langacker, P.; Wang, J. Neutrino anti-neutrino transitions. Phys. Rev. D 1998, 58, 093004. [Google Scholar] [CrossRef]
  13. de Gouvea, A.; Kayser, B.; Mohapatra, R.N. Manifest CP Violation from Majorana Phases. Phys. Rev. D 2003, 67, 053004. [Google Scholar] [CrossRef]
  14. Delepine, D.; Gonzalez Macias, V.; Khalil, S.; Castro, G.L. Probing Majorana neutrino CP phases and masses in neutrino-antineutrino conversion. Phys. Lett. B 2010, 693, 438–442. [Google Scholar] [CrossRef][Green Version]
  15. Xing, Z.Z. Properties of CP Violation in Neutrino-Antineutrino Oscillations. Phys. Rev. D 2013, 87, 053019. [Google Scholar] [CrossRef]
  16. Xing, Z.Z.; Zhou, Y.L. Majorana CP-violating phases in neutrino-antineutrino oscillations and other lepton-number-violating processes. Phys. Rev. D 2013, 88, 033002. [Google Scholar] [CrossRef]
  17. Kimura, K.; Takamura, A. Unification of Neutrino-Neutrino and Neutrino-Antineutrino Oscillations. arXiv 2021, arXiv:2101.04509. [Google Scholar]
  18. Wang, Y.; Zhou, S. Non-unitary leptonic flavor mixing and CP violation in neutrino-antineutrino oscillations. Phys. Lett. B 2022, 824, 136797. [Google Scholar] [CrossRef]
  19. Krivoruchenko, M.I. Private Communication. 2017. [Google Scholar]
  20. Pascoli, S.; Petcov, S.T. Majorana Neutrinos, Neutrino Mass Spectrum and the |<m>|~ 10−3 eV Frontier in Neutrinoless Double Beta Decay. Phys. Rev. D 2008, 77, 113003. [Google Scholar] [CrossRef]
Figure 1. The effective neutrino mass as a function of the lightest neutrino mass assuming normal ordering ( m 1 < m 2 < m 3 ). The blue shaded region depicts region II, where m lightest is in the range of [2.5–6] meV and m β β is obtained as zero.
Figure 1. The effective neutrino mass as a function of the lightest neutrino mass assuming normal ordering ( m 1 < m 2 < m 3 ). The blue shaded region depicts region II, where m lightest is in the range of [2.5–6] meV and m β β is obtained as zero.
Symmetry 14 01383 g001
Figure 2. The dependence of the effective neutrino mass m β β L with (dashed lines) and without (solid lines) ν ν ¯ oscillation. The red and blue lines are obtained with Majorana phases corresponding to the maximum ( ϕ 1 = 0 , ϕ 2 = 0 ) and minimum m β β (Equation (10)). Note that y-axis ranges are different in the three panels.
Figure 2. The dependence of the effective neutrino mass m β β L with (dashed lines) and without (solid lines) ν ν ¯ oscillation. The red and blue lines are obtained with Majorana phases corresponding to the maximum ( ϕ 1 = 0 , ϕ 2 = 0 ) and minimum m β β (Equation (10)). Note that y-axis ranges are different in the three panels.
Symmetry 14 01383 g002
Figure 3. Dependence of m β β L on lightest mass ( m 1 for NO) with Majorana phases corresponding to maximum ( ϕ 1 = 0 , ϕ 2 = 0 ) and minimum m β β (Equation (10)) in left and right panels, respectively, with two choices of L / E .
Figure 3. Dependence of m β β L on lightest mass ( m 1 for NO) with Majorana phases corresponding to maximum ( ϕ 1 = 0 , ϕ 2 = 0 ) and minimum m β β (Equation (10)) in left and right panels, respectively, with two choices of L / E .
Symmetry 14 01383 g003
Publisher’s Note: MDPI stays neutral with regard to jurisdictional claims in published maps and institutional affiliations.

Share and Cite

MDPI and ACS Style

Khatun, A.; Šimkovic, F. Effective Majorana Neutrino Mass for ΔL = 2 Neutrino Oscillations. Symmetry 2022, 14, 1383. https://doi.org/10.3390/sym14071383

AMA Style

Khatun A, Šimkovic F. Effective Majorana Neutrino Mass for ΔL = 2 Neutrino Oscillations. Symmetry. 2022; 14(7):1383. https://doi.org/10.3390/sym14071383

Chicago/Turabian Style

Khatun, Amina, and Fedor Šimkovic. 2022. "Effective Majorana Neutrino Mass for ΔL = 2 Neutrino Oscillations" Symmetry 14, no. 7: 1383. https://doi.org/10.3390/sym14071383

APA Style

Khatun, A., & Šimkovic, F. (2022). Effective Majorana Neutrino Mass for ΔL = 2 Neutrino Oscillations. Symmetry, 14(7), 1383. https://doi.org/10.3390/sym14071383

Note that from the first issue of 2016, this journal uses article numbers instead of page numbers. See further details here.

Article Metrics

Back to TopTop