Abstract
This paper is devoted to comparing the asymptotics of a solution, describing the wave motion of a discrete lattice and its continuous approximations. The transition from a discrete medium to a continuous one changes the symmetry of the system. The influence of this change on the asymptotic behavior of waves is of great interest. For the discrete case, Schrödinger’s analytical solution of the initial-value problem for the Lagrange lattice is used. Various continuous approximations are proposed to approximate the lattice. They are based on Debye’s concept of quasicontinuum. The asymptotics of the initial motion and the behavior of the systems in the vicinity of the quasifront and at large times are compared. The approximations of phase and group velocities is analyzed. The merits and limitations of the described approaches are discussed.
1. Introduction
We live in the era of big data, AI, ANNs, and powerful commercial codes. Large datasets are becoming increasingly available and important in science and technology. However, our ability to understand various physical phenomena and processes, since Galileo and Newton times, is based on continuous models [1,2].
Such models are usually described by ODEs or PDEs. Calculus, functional analysis, theory of differential equations, and other branches of continuous mathematics have accumulated a huge arsenal of tools for analyzing and understanding these models. At the same time, computers operate with discrete models. Establishing a relationship between discrete and continuous models, i.e., between nonlocal (difference or integral) and local (differential) operators, is nontrivial and interesting problem [2]. Both the problems of discretization of continuous systems and the continualization of discrete systems are important [3]. Among these problems is the approximation of nonlocal theories by gradient ones while preserving the key features of discrete systems.
There is a vast body of literature on continualization of discrete chains. We will restrict ourselves to mentioning papers and books [4,5,6,7,8,9,10,11,12,13,14,15,16] (see also the references cited in these works). As a rule, this research is devoted to continuous models that approximate well the vibration frequencies of discrete lattices. Problems of the simulation of wave propagation in discrete media by continuous models have been studied to a lesser degree [17,18,19,20]. Attention to this circumstance is drawn in the paper [21]. Seeger pointed to Schrödinger’s analytical solution of the initial-value problem for the infinite one-dimensional lattice of a uniformly spaced point mass with nearest-neighbor coupling by springs [22,23]. This solution is described by Bessel function with well-studied asymptotics.
In our paper, we study the possibility of constructing continuous models that satisfactorily approximate both the asymptotic behavior of the wave motions of the Lagrange chain and its behavior in the vicinity of the quasifront. The transition from a discrete medium to a continuous one changes the symmetry of the system. The influence of this change on the asymptotic behavior of waves is of great interest. When can a good quantitative approximation be achieved, and when can only a qualitative match be expected?
The paper is organized as follows: Section 2.1, Section 2.2, Section 2.3 and Section 2.4 contain the preliminary results. Section 2.1 is devoted to the statement of the problem and the solution of the discrete problem. Section 2.2 describes the classical continuous approximation by the wave equation. Section 2.3 describes the various continuous models, guaranteeing good approximation of the dispersion curve of the lattice. Section 2.4 is devoted to asymptotics of the solution of the discrete problem. Section 2.5 describes continuous models that approximated the wave motion of the discrete lattice. Section 2.6 is devoted to the approximation of phase and group velocities. Section 2.7 is devoted to asymptotics of continuous approximations and compares them with the asymptotics of a discrete solution. Section 2.8 deals with nonlinear problems. The obtained results are summarized in Section 3. The appendix contains some historical and terminological remarks.
2. Materials and Methods
2.1. Waves in Lagrange Lattice
The original discrete object is the Lagrange lattice (regarding this term, see Appendix A). This is a lattice of point masses , located in equilibrium states at the points of the axis x with coordinates and coupled by elastic springs of stiffness (Figure 1).
Figure 1.
A lattice of elastically coupled masses.
Applying Newton’s 2nd law, one obtains the following difference-differential equation (DDE) governing lattice dynamics [10]
where is the displacement of the jth material point from its static equilibrium position, and is the time.
Let us introduce new variables , ; then, DDE (1) can be transformed into the following one:
Suppose that at , all masses in the lattice are at rest with the sole exception of the mass numbered zero, which is displaced by 1
where is the Kronecker delta.
We use ansatz [24]
where and denote the frequency and the wave number, respectively.
The dispersive relationship is
By reflectional symmetry and periodicity, it suffices to consider the wave numbers in the interval Brillouin first zone [18].
The solution of DDE (2) with initial conditions (3) can be written as follows [24]
where is the Bessel function of the first kind, of integer order 2m.
2.2. Classical Continuous Approximations by Wave Equation
Now, we use the continuous coordinate scaled in such a way that at the nodes of the lattice. We assume that is a discrete approximation to a continuous function ,
Let us introduce a pseudo-differential operator
Then DDE (2) can be rewritten as a pseudo-differential equation
Leaving only the first term in expansion (8), we obtain the classical wave equation, i.e., the partial differential equation (PDE) of hyperbolic type
Let us rewrite initial conditions (3) using the Whittaker–Kotel’nikov–Shannon interpolating function [4,25]
This means that in what follows, we consider the problem in the framework of Debye quasicontinuum [4].
The solution of the initial-value problem (10), (11) can be expressed as follows
Some results of the comparisons of the solution of discrete (6) and continuous (12) models are shown in Figure 2, Figure 3, Figure 4 and Figure 5. The ordinates are the values of the functions and .
Figure 2.
Comparison of continuous (12) (blue curve) and discrete (6) (red points) solutions for t = 1.
Figure 3.
Comparison of continuous (12) (blue curve) and discrete (6) (red points) solutions f or t = 10.
Figure 4.
Comparison of continuous (12) (blue curve) and discrete (6) (red curve) solutions for x = mh, m = [1/h]; [] denotes the integer part of the number. The red curve conditionally connects the values at discrete points.
Figure 5.
Comparison of continuous (12) (blue curve) and discrete (6) (red curve) solutions for x = m, m = [10/h]; [] denotes the integer part of the number. The red curve conditionally connects the values at discrete points.
Obviously, the coincidence is, at best, qualitative.
2.3. Various Gradient Models
Leaving a finite number of terms in expansion (8), one obtains the so-called intermediate continuous model [8]. The use of Padé approximations [14,17] gives a “model with modified inertia” (the term was proposed in [26]). Two-point Padé approximations or other interpolation methods [6,14,20] are also used.
It is interesting to compare different approaches to the determination of coefficients in the equation described in various gradient theories
The easiest way is to expand the original nonlocal pseudo-differential operator (8) in a Maclaurin series. In this case, one obtains , .
Unfortunately, a simple increase in the number of terms in such an expansion insignificantly increases the accuracy of the approximation, leading at the same time to an increase in the order of the approximating PDEs [8,9]. One can improve approximations without significantly increasing the PDE order using Padé approximations [17]. In the simplest case, one obtains , . The approximation accuracy increases; however, it is not possible to approximate well the dispersion curve of the discrete lattice in the entire first Brillouin zone. Various interpolation methods turned out to be more promising, using the beginning and end of the first Brillouin zone as interpolation nodes.
Eringen’s model [5] used calibration , , . Andrianov, using two-point Padé approximations [6], obtained , . Two-point Padé approximation with a larger number of terms gives [20] , , . This calibration excellently approximates the lattice dispersion curve in the first Brillouin zone.
Kunin’s calibration is [4] , .
Lazar et al. [11] called this model the theory of nonlocal elasticity of bi-Helmholtz type and proposed it for the one-dimensional case , .
The mixed nonlocal model proposed by Challamel et al. [13] used the following parameters: , .
Askes et al. [12] discussed a number of gradient models, including those involving the fourth time derivatives. Usually, the fourth-time derivative is used for providing the causality of the gradient models [27] (by analogy with Timoshenko’s theory for beams). However, for the original model—the Lagrange lattice—the perturbation propagates instantly [21]. This is due to the fact that the masses are connected by inertialess elements. There is nothing surprising in the fact that the continuous approximations of the Lagrange lattice also do not satisfy the causality principle. To construct a Timoshenko beam theory, physical effects, such as rotary inertia and shear deformations, were additionally taken into account. The physical model of the lattice that provides the causality principle should be more complex than the Lagrange lattice. Such meta-lattices are a popular object of actual research, but this topic is far from the aims of our paper.
In [15], the authors described another strategy for constructing a continuous theory assuming that there are two masses per periodic cell (so-called two-field continuum theory). In this case, the continuous model is described by two coupled PDEs. The advantage of this theory lies in the naturalness of generalization to the nonlinear case [28,29].
The order of the PDE that described continuous approximation, i.e., the number of retained coefficients beta, depends on the number of requirements for the approximation. It should be specified in advance what exactly and in what ranges of variation of which variables should be well described by the continuous model. The results described in this section show that the 4 coefficients give a good approximation, wherein PDE has the 4th order in the spatial variable.
2.4. Asymptotic Behavior of Schrödinger‘s Solution
The solution of a discrete problem (6) predicts that even at arbitrarily small t all masses begin to move. Displacement of m-th mass rapidly decreases with the increase in m, as may be seen from the leading term of the Maclaurin expansion of the Bessel function [30], 9.1.7.
where is the gamma function.
Thus, the speed of propagation of disturbances along the Lagrange lattice is infinite. This fact is a consequence of the use of the static elastic Hooke’s law for the bond connecting neighboring masses in the lattice. In molecular dynamics, such an approximation can be used as long as the conditions for the applicability of the Born–Oppenheimer approximation are satisfied [31,32]. This approximation uses the assumption that the motion of atomic nuclei and electrons in a molecule can be treated separately based on the fact that the nuclei are much heavier than the electrons.
However, it should be noted that the causality principle is not formally fulfilled in this case, which must be taken into account in some cases [27].
Schrödinger‘s solution has the following asymptotic for large t and fixed x [30,33]
At the region of the quasifront, the Nicholson-type asymptotic with the following leading term is valid [21,34,35]
where denotes the Airy function.
Numerical results obtained in [19,36] show that the behavior of the solutions of a discrete system is fundamentally different from the behavior of the solutions of classical continuous approximation both in the vicinity of the quasifront and in various asymptotic limits.
2.5. Improved Continuous Models for Describing Wave Motion
Calibrations of Equation (13) are aimed at the most accurate approximation of the dispersive curve of the lattice model. Below, we set the problem of the best calibration of Equation (13) to describe the wave motion of the lattice.
The solution of the initial-value problem (11), (13) can be written as follows
where function is
For a good approximation of the phase velocity, we require
This velocity characterizes well only monochromatic waves. “This is not the velocity of physical propagation of any quantity” ([37], page 291).
In the case of superposition of monochromatic waves forming a wave train with close wave number values, the proposed Hamilton group velocity [38,39,40] is used as a useful characteristic. It characterizes the motion of the wave train as a whole with high accuracy. Therefore, it is important to provide a good approximation of the group velocity; for this aim, we require
For a good approximation of the discrete solution at the region of the quasifront, it is necessary that
For a better approximation of the dispersive curve of the lattice model, it is also useful to set the condition
In any case, there should be
This condition guarantees the stability of the solution [18].
Unfortunately, it is impossible to satisfy conditions (20)–(24) simultaneously. We have to use some weakening of the above requirements; e.g., we can weaken condition (22) in the following way
This leads to a less accurate approximation of the lattice quasifront.
From conditions (20), (21), (23)–(25), one obtains
Another option is to neglect condition (23), slightly worsening the approximation of the lattice dispersive curve in the first Brillouin zone. Then, from conditions (20)–(22), (24), one obtains
2.6. Approximation of Phase and Group Velocities
Phase and group velocities for discrete lattice (2) can be written as follows [4,40]:
Since we use Debye quasicontinuum [4], we can consider the wave numbers in the interval Brillouin first zone, .
The phase and group velocities of the continuous approximations (13) are
where .
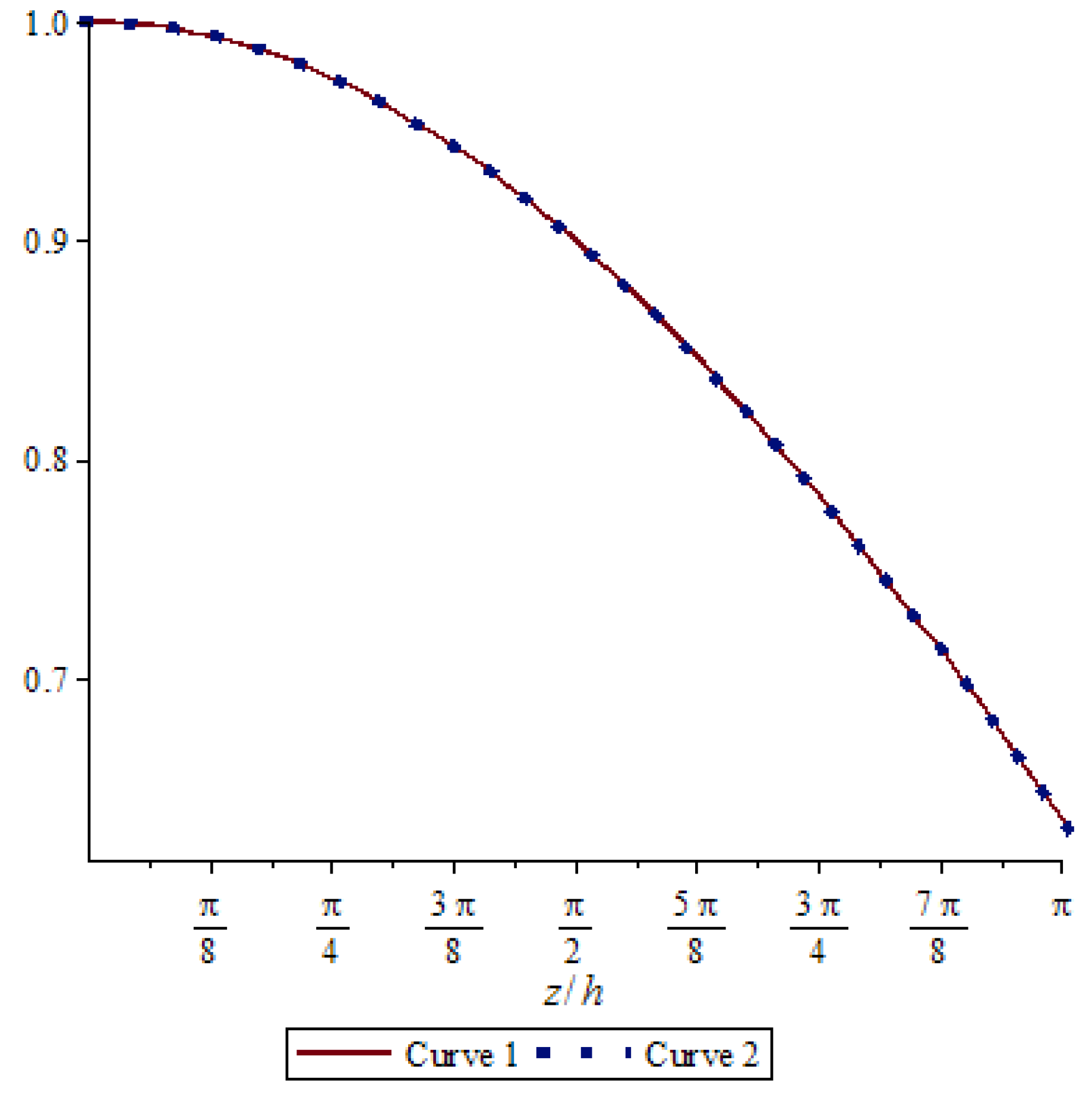
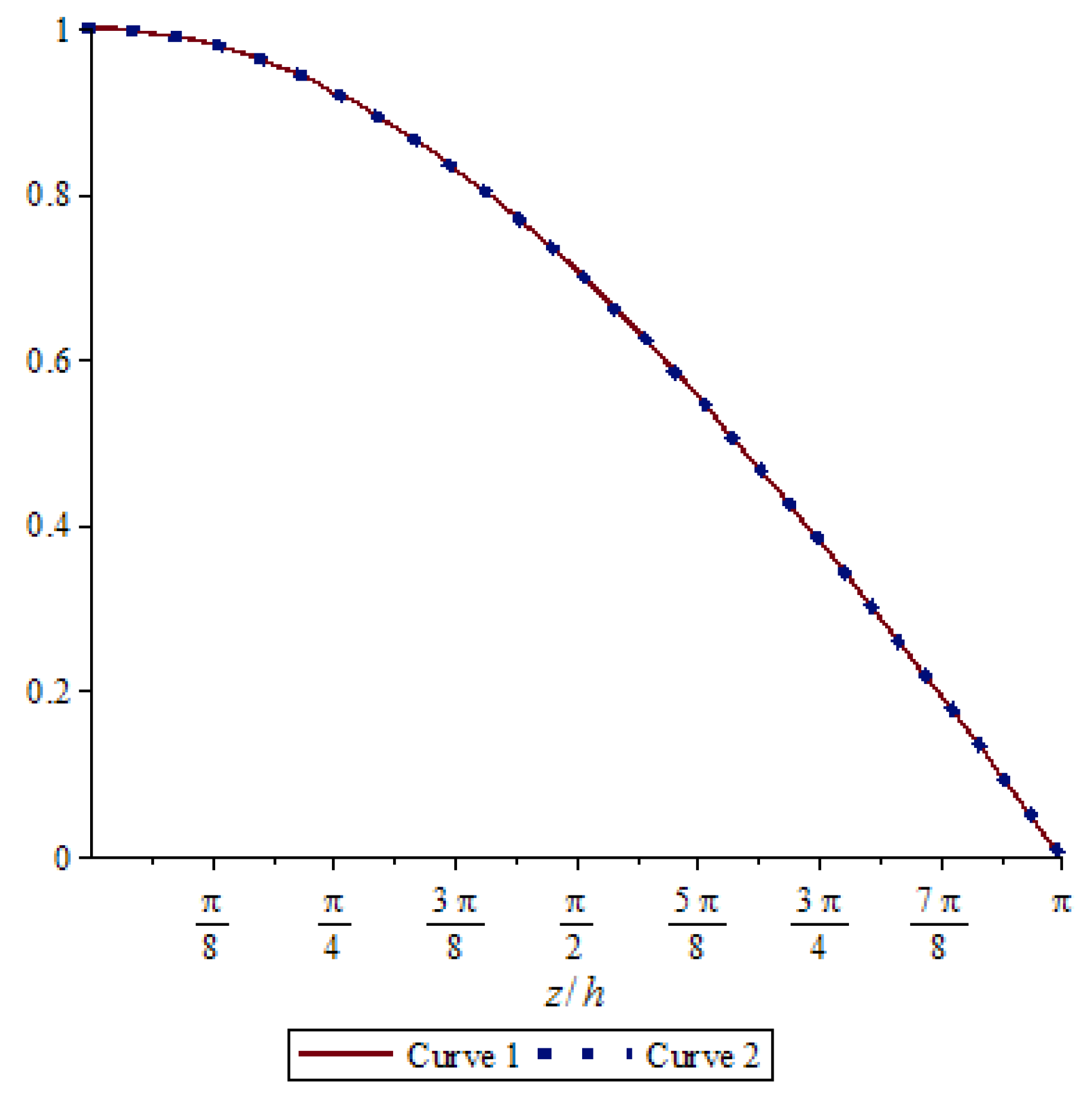
Calculations using parameter (26) or (27) give identical results, so we restrict ourselves to values (27). Figure 6 and Figure 7 present the results of comparing the phase and group velocities of the discrete model and its continuous approximation (13) with parameters (27). The results for discrete and continuous models are in excellent agreement.
Figure 6.
Comparison of phase velocities for continuous (13), (27) (curve 1) and discrete (2) (curve 2) models. The abscissa shows the values ; the ordinates show the values . Curve 2 conditionally connects the values at discrete points.
Figure 7.
Comparison of group velocities for continuous (13), (27) (curve 1) and discrete (2) (curve 2) models. The abscissa shows the values ; the ordinates show the values . Curve 2 conditionally connects the values at discrete points.
2.7. Asymptotic Behavior of Continuous Approximations
Let us construct the asymptotics of the continuous approximations. We obtain the asymptotics of the initial motion from expression (18) by expanding the integrand into a Maclaurin series and leaving the first term of the expansion. As a result, we obtain
To compare formulas (32) and (14), the numerical values of the functions (for parameters (27)) and are presented in Figure 8, Figure 9, Figure 10 and Figure 11.
Figure 8.
Function at .
Figure 9.
Function at .
Figure 10.
Function at . The curve conditionally connects the values at discrete points.
Figure 11.
Function at . The curve conditionally connects the values at discrete points.
Using stationary phase approximation [33], we obtained asymptotics of solution (18) for large t and fixed x
Here, A ≈ 0.564354394 for parameters (26) and for parameters (27).
The structure of the asymptotics of solutions to the discrete and continuous problems in this case is the same; for the discrete problem, we have . The choice of parameters in the form (26) has a clear advantage.
A good approximation of the behavior of the solution in the vicinity of the quasifront is important. From expression (18), we have
Here, for parameters (26) and for parameters (27).
The structure of the asymptotics of solutions to the discrete and continuous problems in this case is the same; for the discrete problem, we have . The choice of parameters in form (26) has a clear advantage.
2.8. Nonlinear Problems
Investigation of the asymptotic behavior of nonlinear waves in discrete and continuous systems is a separate, complex problem. The fact that the improvement of the approximation of the pseudo-differential part of the operators improves the general approximation of the discrete system has been shown both numerically and analytically in a number of works, for example, [41,42,43,44].
In this article, we make only some obvious points about the asymptotic behavior of nonlinear solutions. Let the quasilinear discrete chain have the form
Its continuous approximation can be written as follows:
Analyzing the asymptotic formulas obtained in previous sections, it is easy to verify that the behavior of discrete and continuous systems at small times, as well as at large t and fixed x, coincides with the behavior of linear systems. The approximation of the wave front and quasifront requires additional research; for example, see [41].
3. Results and Discussion
The Lagrange lattice is a good benchmark for testing gradient elasticity theories. Using these theories allows one to describe wave propagation in a discrete medium that retains (at least qualitatively) the asymptotic properties of the original lattice.
The results of our research can be formulated as follows: The use of continuous models described by low-order PDEs allows a good quantitative approximation of the behavior of a discrete system at large t and fixed x, as well as in the vicinity of the quasifront. The approximation of the behavior of a discrete system is used for small times.
Kolmogorov wrote about the nontrivial relations between discrete and continuous mathematics [2]: “It is quite probable that with the development of modern computing techniques, it will become understood that in many cases it is reasonable to study real phenomena without making use of the intermediate step of their stylization in the form of infinite and continuous mathematics, passing directly to discrete models.
Pure mathematics was successful developed mainly as the science of the infinite. Apparently this state of affairs is deeply rooted in our consciousness, which operates with great ease with an intuitively clear understanding of unbounded sequences, limiting processes, continuous and even smooth manifolds, etc.”.
The advantage of continuous models lies in the possibility of using the powerful arsenal of continuous mathematics for their analysis. At the same time, in applying the continuous models to describe a discrete structure, one must bear in mind the natural limitations of these approximations in order to avoid various “paradoxes” and artifacts [1,45].
Author Contributions
Conceptualization, I.A.; methodology, I.A.; S.K. and G.S.; investigation, I.A.; S.K. and G.S.; writing—original draft preparation, I.A.; software, G.S.; writing—review and editing, I.A. and G.S.; formal analysis, S.K. All authors have read and agreed to the published version of the manuscript.
Funding
This research received no external funding.
Institutional Review Board Statement
Not applicable.
Informed Consent Statement
Not applicable.
Data Availability Statement
Data are contained within the article.
Acknowledgments
We are grateful to Malyi V.I. and Zemlyanukhin A.I. for valuable discussions.
Conflicts of Interest
The authors declare that they have no conflicts of interest.
Appendix A
Some Terminological Remarks
In this paper, we use the term “Lagrange lattice”. This term is often used in the literature, see, e.g., [38]. On the other hand, Brillouin [40] and some others authors use the term “Newton lattice”, referring to Principia (livre II, proposition XLIX). However, this section of the Principia, dedicated to the definition of the speed of sound, does not contain any equations in explicit form.
Some authors [19,46] mention research by Johann (Iohann) Bernoulli in connection with the lattice under consideration. These studies were originally described by J. Bernoulli in letters to his son Daniel on 11 October and 26 December 1727 (see [47]) and published in 1728 [48]. J. Bernoulli’s goal was to determine the spatial form of the fundamental vibration mode of a continuous string. Since he could only operate with ODE, J. Bernoulli replaced the problem of vibrations of a continuous string with a problem of vibrations of a weightless stretched finite elastic thread along which equal point masses are located on equal distances. Increasing the number of masses from 2 to 6 and examining each of these cases, J. Bernoulli made a general conclusion about the shape of the fundamental vibration mode of continuous string.
Conventionally, one can discuss “Johann Bernoulli’s method of finding the shape of the fundamental mode from the infinite limit of lumped masses on an elastic string (1727)” [49] and consider J. Bernoulli a pioneer of the continualization method. It can also be noted that the equations contained in [45], in modern notation, are written in the form (1) [10].
The term Born–Kármán model of lattice dynamics is also often used for the DDE (1) [11,13,21]. This is quite justified in molecular physics because in this science, it is an asymptotic model based on the Born–Oppenheimer approximation [31,32].
As for classical mechanics, we can mention that Lagrange in his Analytical Mechanics [50] not only wrote Equation (1) in modern form but also studied its solutions and properties for the first time. This allows us to consider the use of the term “Lagrange lattice” to be justified.
References
- Andrianov, I.V.; Manevitch, L.I. Asymptotology: Ideas, Methods, and Applications; Kluwer: Dordrecht, The Netherlands, 2002. [Google Scholar]
- Kolmogorov, A.N. Combinatorial foundations of information theory and the calculus of probabilities. Russ. Math. Surv. 1983, 38, 29–40. [Google Scholar] [CrossRef]
- Andrianov, I.; Starushenko, G.; Kvitka, S.; Khajiyeva, L. The Verhulst-like equations: Integrable O∆E and ODE with chaotic behavior. Symmetry 2019, 11, 1446. [Google Scholar] [CrossRef]
- Kunin, I.A. Elastic Media with Microstructure. 1. One-dimensional Models; Springer: Berlin/Heidelberg, Germany, 1982. [Google Scholar]
- Eringen, A.C. On differential equations of nonlocal elasticity and solutions of screw dislocation and surface waves. J. Appl. Phys. 1983, 54, 4703–4710. [Google Scholar] [CrossRef]
- Andrianov, I.V. Continuous approximation of higher-frequency oscillation of a chain. Dokl. AN Ukr. SSR Ser. A 1991, 2, 13–15. (In Russian) [Google Scholar]
- Kurchanov, P.; Myshkis, A.; Filimonov, A. Vibrations of rolling stock and a theorem of Kronecker. J. Appl. Math. Mech. 1991, 55, 870–876. [Google Scholar] [CrossRef]
- Filimonov, A.M. Continuous approximations of difference operators. J. Differ. Equ. Appl. 1996, 2, 411–422. [Google Scholar] [CrossRef]
- Metrikine, A.V.; Askes, H. One-dimensional dynamically consistent gradient elasticity models derived from a discrete microstructure—Part 1: Generic formulation. Eur. J. Mech. A/Solids 2002, 21, 555–572. [Google Scholar] [CrossRef]
- Myshkis, A.D. Mixed functional differential equations. J. Math. Sci. 2005, 129, 4111–4226. [Google Scholar] [CrossRef]
- Lazar, M.; Maugin, G.A.; Aifantis, E.C. On a theory of nonlocal elasticity of bi-Helmholtz type and some applications. Int. J. Solids Struct. 2006, 43, 1404–1421. [Google Scholar] [CrossRef]
- Askes, H.; Metrikine, A.V.; Pichugin, A.V.; Bennett, T. Four simplified gradient elasticity models for the simulation of dis-persive wave propagation. Philos. Mag. 2008, 88, 3415–3443. [Google Scholar] [CrossRef]
- Challamel, N.; Rakotomanana, L.; Le Marrec, L. A dispersive wave equation using non-local elasticity. C. R. Mécanique 2009, 337, 591–595. [Google Scholar] [CrossRef]
- Andrianov, I.V.; Awrejcewicz, J.; Weichert, D. Improved continuous models for discrete media. Math. Probl. Eng. 2010, 2010, 1–35. [Google Scholar] [CrossRef]
- Vasiliev, A.; Dmitriev, S.; Miroshnichenko, A. Multi-field approach in mechanics of structural solids. Int. J. Solids Struct. 2010, 47, 510–525. [Google Scholar] [CrossRef]
- Askes, H.; Aifantis, E.C. Gradient elasticity in statics and dynamics: An overview of formulations, length scale identification procedures, finite element implementations and new results. Int. J. Solids Struct. 2011, 48, 1962–1990. [Google Scholar] [CrossRef]
- Collins, M.A. A quasicontinuum approximation for solitons in an atomic chain. Chem. Phys. Lett. 1981, 77, 342–347. [Google Scholar] [CrossRef]
- Truskinovsky, L.; Vainchtein, A. Quasicontinuum modelling of short-wave instabilities in crystal lattices. Philos. Mag. 2005, 85, 4055–4065. [Google Scholar] [CrossRef]
- Andrianov, I.; Starushenko, G.; Weichert, D. Numerical investigation of 1D continuum dynamical models of discrete chain. ZAMM 2012, 92, 945–954. [Google Scholar] [CrossRef]
- Andrianov, I.V.; Danishevskyy, V.V.; Kaplunov, J.D.; Markert, B. Wide frequency higher-order dynamic model for transient waves in a lattice. In Problems of Nonlinear Mechanics and Physics of Materials; Andrianov, I.V., Manevich, A.I., Mikhlin, Y.V., Gendelman, O.V., Eds.; Springer Nature: Cham, Switzerland, 2018; pp. 3–12. [Google Scholar]
- Seeger, A. Historical note: On the simulation of dispersive wave propagation by elasticity models. Philos. Mag. 2010, 90, 1101–1104. [Google Scholar] [CrossRef][Green Version]
- Schrödinger, E. Zur Dynamik elastisch gekoppelter Punktsysteme. Ann. Phys. 1914, 349, 916–934. [Google Scholar] [CrossRef]
- Mühlich, U.; Abali, B.E.; dell’Isola, F. Commented translation of Erwin Schrödinger’s paper ‘On the dynamics of elastically coupled point systems’ (Zur dynamik elastisch gekoppelter Punktsysteme). Math. Mech. Solids 2021, 26, 133–147. [Google Scholar] [CrossRef]
- Gao, Q.; Wu, F.; Zhang, H.; Zhong, W.; Howson, W.; Williams, F. Exact solutions for dynamic response of a periodic spring and mass structure. J. Sound Vib. 2012, 331, 1183–1190. [Google Scholar] [CrossRef]
- Charlotte, M.; Truskinovsky, L. Lattice dynamics from a continuum viewpoint. J. Mech. Phys. Solids 2012, 60, 1508–1544. [Google Scholar] [CrossRef]
- Kaplunov, J.; Kossovich, L.Y.; Nolde, E. Dynamics of Thin Walled Elastic Bodies; Academic Press: San Diego, CA, USA, 1998. [Google Scholar]
- Metrikine, A. On causality of the gradient elasticity models. J. Sound Vib. 2006, 297, 727–742. [Google Scholar] [CrossRef]
- Zabusky, N.J.; Deem, G.S. Dynamics of nonlinear lattices I. Localized optical excitations, acoustic radiation, and strong nonlinear behavior. J. Comput. Phys. 1967, 2, 126–153. [Google Scholar] [CrossRef]
- Andrianov, I.V.; Danishevskyy, V.V.; Rogerson, G. Vibrations of nonlinear elastic lattices: Low- and high-frequency dynamic models, internal resonances and modes coupling. Proc. R. Soc. A 2020, 476, 20190532. [Google Scholar] [CrossRef]
- Abramowitz, M.; Stegun, I.A. (Eds.) Handbook of Mathematical Functions, with Formulas, Graphs, and Mathematical Tables; Dover: New York, NY, USA, 1965. [Google Scholar]
- Peierls, R.E. Quantum Theory of Solids; Clarendon Press: Oxford, UK, 1955. [Google Scholar]
- Schiff, L.I. Quantum Mechanics; McGraw-Hill: New York, NY, USA, 1968. [Google Scholar]
- Bauer, S.M.; Filippov, S.B.; Smirnov, A.L.; Tovstik, P.E.; Vaillancourt, R. Asymptotic Methods in Mechanics of Solids; Birkhäuser: Basel, Switzerland, 2015. [Google Scholar]
- Watson, G.N. A Treatise on the Theory of Bessel Functions, 2nd ed.; Cambridge UP: Cambridge, UK, 1966. [Google Scholar]
- Magnus, W.; Oberhettinger, F.; Soni, R.P. Formulas and Theorems for the Special Functions of Mathematical Physics; Springer: Berlin, Germany, 1966. [Google Scholar]
- Slepyan, L.I. Non-Steady-State Elastic Waves; Sudostroyenie: Leningrad, URSS, 1972. (In Russian) [Google Scholar]
- Landau, L.D.; Lifshitz, E.M. Electrodynamics of Continuous Media, 2nd ed.; Pergamon Press: London, UK, 1984. [Google Scholar]
- Levin, M.L. How light conquers darkness (W.R. Hamilton and the concept of group velocity). Sov. Phys. Uspekhi 1978, 21, 639–640. [Google Scholar] [CrossRef]
- Brillouin, L. Wave Propagation and Group Velocity; Academic Press: New York, NY, USA, 1960. [Google Scholar]
- Brillouin, L. Wave Propagation in Periodic Structures: Electric Filters and Crystal Lattices, 2nd ed.; Dover: Mineola, NY, USA, 2003. [Google Scholar]
- Clerc, M.G.; Elías, R.G.; Rojas, R.G. Continuous description of lattice discreteness effects in front propagation. Philos. Trans. R. Soc. A Math. Phys. Eng. Sci. 2011, 369, 412–424. [Google Scholar] [CrossRef] [PubMed]
- Rosenau, P. Dynamics of nonlinear mass-spring chains near the continuum limit. Phys. Lett. A 1986, 118, 222–227. [Google Scholar] [CrossRef]
- Rosenau, P. Dynamics of dense lattices. Phys. Rev. B 1987, 36, 5868–5876. [Google Scholar] [CrossRef]
- Scott, A. Nonlinear Science. Emergence and Dynamics of Coherent Structures, 2nd ed.; Cambridge UP: Cambridge, UK, 2003. [Google Scholar]
- Andrianov, I.V. Mathematical models in pure and applied mathematics. In Nonlinear Dynamics of Discrete and Continuous Systems; Abramyan, A.K., Andrianov, I.V., Gaiko, V.A., Eds.; Springer Nature: Cham, Switzerland, 2021; pp. 15–30. [Google Scholar]
- Pinney, E. Ordinary Difference-Differential Equations; University California Press: Berkeley, CA, USA, 1958. [Google Scholar]
- Burkhardt, H. Entwicklungen nach oscillirenden Funktionen und Integration der Differentialgleichungen der mathematischen Physik. Jahresber. Dtsch. Math. Ver. 1908, 10, 1–1804. [Google Scholar]
- Bernoulli, I. Meditationes de chordis vibrantibus. Comment. Acad. Sci. Imper. Petropol. 1728, 3, 13–28. [Google Scholar]
- Giblak, N. Resolution of the 300-year-old vibrating string controversy. arXiv 2018, arXiv:1803.05287. Available online: https://arxiv.org/abs/1803.05287 (accessed on 1 January 2021).
- Lagrange, J.L. Méchanique Analitique; Chez la Veuve Desaint: Paris, 1788; Eng. Transl.: Analytical Mechanics; Springer: Dordrecht, The Netherlands, 1977. [Google Scholar]
Publisher’s Note: MDPI stays neutral with regard to jurisdictional claims in published maps and institutional affiliations. |
© 2021 by the authors. Licensee MDPI, Basel, Switzerland. This article is an open access article distributed under the terms and conditions of the Creative Commons Attribution (CC BY) license (https://creativecommons.org/licenses/by/4.0/).










