Next Article in Journal
Transition from Discrete to Continuous Media: The Impact of Symmetry Changes on Asymptotic Behavior of Waves
Next Article in Special Issue
Comparing Quantum Gravity Models: String Theory, Loop Quantum Gravity, and Entanglement Gravity versus SU(∞)-QGR
Previous Article in Journal
Equivalent Properties of Two Kinds of Hardy-Type Integral Inequalities
Previous Article in Special Issue
Bremsstrahlung of Light through Spontaneous Emission of Gravitational Waves
 
 
Font Type:
Arial Georgia Verdana
Font Size:
Aa Aa Aa
Line Spacing:
Column Width:
Background:
Article

Schrödinger–Newton Model with a Background

by
José Tito Mendonça
IPFN, Instituto Superior Técnico, Universidade de Lisboa, 1049-001 Lisboa, Portugal
Symmetry 2021, 13(6), 1007; https://doi.org/10.3390/sym13061007
Submission received: 3 May 2021 / Revised: 25 May 2021 / Accepted: 2 June 2021 / Published: 4 June 2021
(This article belongs to the Special Issue Quantum Gravity)

Abstract

This paper considers the Schrödinger–Newton (SN) equation with a Yukawa potential, introducing the effect of locality. We also include the interaction of the self-gravitating quantum matter with a radiation background, describing the effects due to the environment. Matter and radiation are coupled by photon scattering processes and radiation pressure. We apply this extended SN model to the study of Jeans instability and gravitational collapse. We show that the instability thresholds and growth rates are modified by the presence of an environment. The Yukawa scale length is more relevant for large-scale density perturbations, while the quantum effects become more relevant at small scales. Furthermore, coupling with the radiation environment modifies the character of the instability and leads to the appearance of two distinct instability regimes: one, where both matter and radiation collapse together, and others where regions of larger radiation intensity coincide with regions of lower matter density. This could explain the formation of radiation bubbles and voids of matter. The present work extends the SN model in new directions and could be relevant to astrophysical and cosmological phenomena, as well as to laboratory experiments simulating quantum gravity.

1. Introduction

The Schrödinger–Newton (SN) equation, sometimes also called Schrödinger–Poisson, was promoted by [1,2] and explored by many researchers [3,4,5,6,7,8,9] as a simple model to introduce quantum effects in gravitational problems. It is a nonlinear version of the Schrödinger equation, where nonlinearity is associated with a Newtonian potential, as determined by Poisson’s equation. The SN equation therefore describes quantum self-gravitating matter and contains elements of two apparently irreducible theories, quantum mechanics and gravitation. The same equation also applies to a variety of different systems, such as atomic gases in interaction with laser beams [10,11,12] and quantum plasmas [13,14,15]. A bridge with Bose–Einstein condensates can also be established [16,17]. These similarities open the way for studies of laboratory analogues of gravity [18,19,20].
The main interest of the SN equation is that it introduces a kind of wavefunction collapse, due to gravity, which is independent of any measurement process. This could have possible implications to the interpretation of quantum mechanics [21], a problem that we avoid here. However, it does not solve the main contradictions between quantum mechanics and gravitation, namely the problem of non-locality. It is true that a gravitational collapse reveals some appearance of locality, but the SN equation ignores the limits imposed by the speed of light, because the Newton potential acts instantaneously at infinite distances. Therefore, the SN equation is completely non-local. Even if it is able to describe a spontaneous reduction of the wavefunction, due to gravitational collapse, it still ignores locality.
Here, we extend the SN model in two different directions. First, we incorporat non-standard gravity, replacing the usual Newton potential by a Yukawa potential. Such potentials naturally occur in plasma theory and have also been explored in gravitational models [22,23,24,25]. They introduce a characteristic scale length to the gravitational interactions, therefore reducing the potential interactions to finite distances. Gravitational field sources have been introduced into the SN equation [26], which has some resemblance to our present Yukawa model.
Second, we include a background medium, coupled with the self-gravitating matter. For this purpose, the SN equation is completed with a radiation transport equation describing the background. Our inspiration for introducing a background was the universal presence of the cosmic background radiation and its possible effect on the gravitational collapse. However, our model could equally describe a background of weakly coupled dark matter. Another, less obvious, but also possible, background could be due to quantum gravitational fluctuations, such as that of the Brownian particle model proposed to test quantum gravity [27,28,29]. In the present work, the SN equation includes an external potential depending on the radiation intensity, and the radiation transport equation contains a diffusion coefficient due to photon scattering, therefore coupling matter with radiation.
As shown here, coupling with a background changes the conditions for gravitational collapse, by modifying the Jeans criterion. It also leads to the occurrence of a new type of instability, associated with the possible formation of voids. A classical description of such instabilities is possible and can be found in a recent paper concerning photon transport in astrophysical dust clouds [30,31]. Apart from the use of a Yukawa potential, the present work can be seen as the quantum version of this previous classical model. Quantum effects modify the gravitational collapse, by introducing changes to the instability criterion, leading to collapse. The quantum corrections are mainly visible on small length scales, while the Yukawa potential introduces changes on large scales, as expected. More interestingly, new types of instability can occur, which look different and in a certain sense opposite collapse, and lead to the formation of photon bubbles and voids of matter. This can be relevant to understand the structure of dust nebula and on a much larger scale of cosmological voids. In this case, the photon bubbles considered here should eventually be replaced by bubbles of dark matter [32,33]. Photon bubbles have been proposed in astrophysics and advocated in various areas as an important process of radiation transport, from massive stars to binary pulsars and accretion disks [34,35,36]. More recently, a possible observation in the laboratory was proposed, using laser-cooled atomic gases [37], which seems now to be confirmed by experiments [38]. The present work could therefore inspire future laboratory experiments, exploring possible analogues of weak quantum gravity [39].
In this paper, we use the wave-kinetic formulation of the SN equation. This formulation is particularly useful to study unstable regimes. The wave-kinetic equation describes the evolution of a Wigner function and is derived from the SN equation using the standard Moyal procedure [40,41,42,43]. This procedure was introduced to transform the Schrödinger equation into a Liouville-type equation and is able to describe the quantum state of a system in classical phase-space. We recently showed that this approach can be used to bridge many different physical phenomena, including laser-cooled atoms, Bose–Einstein condensates, turbulent quasi-particles, and quantum plasmas [17]. It is also well adapted to bridge classical, relativistic, and quantum physics. Our present version of the wave-kinetic equation includes an external potential associated with the background radiation.
The structure of this paper is as follows. In Section 2, we establish the SN equation and derive the corresponding wave-kinetic equation. This includes the replacement of the Newtonian by the Yukawa potential, with a characteristic length scale. Section 3 is devoted to the gravitational collapse of a self-gravitating gas of identical particles, ignoring the influence of the background. Section 4 introduces the background radiation and the coupling between a more general wave-kinetic equation and the radiation transport equation. In Section 5, we consider the modified Jeans instability describing the gravitational collapse in the presence of radiation. This includes quantum effects, as well as thermal effects and radiation pressure. In Section 6, we deal with the new instability regimes, leading to the formation of matter voids and photon bubbles in a quantum gas, and discuss the symmetric role played by gravity and radiation pressure. This discussion leads to the formulation of a more global concept, that of a quantum Jeans-bubble instability, which includes both collapse and bubbles, as equally important phenomena. Finally, in Section 7, we state some conclusions.

2. Extended SN Equation

The basic SN equation results from the inclusion of a gravitational potential on the Schrödinger equation. We assume that the system of a large number of identical self-gravitating particles with mass M creates a gravitational potential V G and, under certain conditions, can be described by a single wavefunction, valid in the mean-field approximation [7]. We then have:
i ψ t = 2 2 M 2 + V 0 + M V G ψ ,
where V 0 is an external potential to be specified. If V G is a Newtonian potential, it can be determined by Poisson’s equation:
2 V G = 4 π M G | ψ | 2 ,
where G is the gravitational constant. These two equations are equivalent to the integro-differential equation:
i ψ t = 2 2 M 2 + V 0 + g U ( r r ) | ψ ( r , t ) | 2 d r ψ .
The coupling parameter g and the interaction potential function U are defined as:
g = M 2 G , U ( r r ) = 1 | r r | .
This form of the SN equation is interesting because it stays valid for a number of other physical systems, which helps in the discussion of possible laboratory simulations of gravitational processes, as shown in [17]. Our formulation is valid for a flat space-time described by the Minkowski metric tensor η α β = d i a g . ( 1 , 1 , 1 , 1 ) . Let us consider a Friedman–Robertson–Walker (FRW) metric defined by the elementary interval:
d s 2 = g α β d x α d x β = d t 2 a 2 ( t ) d r 2 ,
where the function a ( t ) scales the flat metric d r 2 = d x 2 + d y 2 + d z 2 at different times. Introducing the conformal time τ , we obtain:
d s 2 = a 2 ( τ ) ( d τ 2 d r 2 ) , τ = t d t a ( t ) .
This is a flat space-time, where the metric tensor is now defined by:
g α β = a 2 ( t ) η α β = 1 a 2 ( t ) η α β .
In this conformal space-time, the above Poisson’s equation can be conveniently replaced by a post-Newtonian equation of the type:
2 V G = 4 π M G | ψ | 2 + Λ V G .
The parameter Λ can be associated with curvature, using [44]:
Λ = 1 a 2 c 2 ( 2 H + H 2 ) , H = a a 1 a d a d τ ,
where H is the Hubble constant. A term containing the time derivative of the wavefunction ψ is sometimes added to Equation (8) [45]. For simplicity, this was ignored, but could be included in the present model, at the cost of a more complicated formalism. For the same reason, we assume that Λ is a positive constant, therefore reducing the potential V G to a pure Yukawa potential. This kind of potential has also been used to promote alternative theories of gravitation. Lower limits on the value of Λ can be found from astronomical observations [46]. If we replace the Newtonian potential of Equation (2) with the Yukawa potential of Equation (8), the SN Equation (3) stays valid, but with Equation (4) replaced by:
g = M 2 G , U ( r r ) = 1 | r r | exp ( r r ) Λ 1 / 2 .
Let us now consider the wave-kinetic version of the SN equation. For that purpose, we define the Wigner function associated with the wavefunction ψ as:
W ( r , q , t ) = ψ * ( r s / 2 , t ) ψ ( r + s / 2 , t ) exp ( i q · s ) d s .
This quantity is just the spatial Fourier transform of the wavefunction auto-correlation and is sometimes called a quasi-probability, because it can take negative values, but tends to the usual probability in the classical limit. Following the well-known Moyal procedure [41,42], we can transform the SN Equation (3) into an evolution equation of the Wigner function W, of the form [17]:
i t + v q · W = g U ( k ) n ( k , t ) Δ W e i k · r d k ( 2 π ) 3 ,
where v q = q / M represents the particle velocity field and q is the particle linear momentum. The quantity n ( k , t ) is the spatial Fourier transform of the probability density, defined as:
n ( r , t ) = ψ ( r , t ) 2 = W ( r , q , t ) d q ( 2 π ) 3 .
To simplify the formalism, we also introduced the auxiliary quantity:
Δ W = W W + , W ± = W ( r , q ± k / 2 , t ) ,
and defined the function:
U ( k ) = 4 π k 2 + Λ .
This clearly shows that the quantity 1 / Λ 1 / 2 sets a scale, the Yukawa length scale, which determines the range of locality for the quantum gravitational interaction. When it goes to infinity, Λ 0 , the locality vanishes, and it is reduced to the usual Newtonian potential.

3. Gravitational Collapse

In order to understand how the above wave-kinetic formulation of the SN equation is able to describe a gravitational collapse, which can be identified with some kind of wavefunction collapse, we consider elementary perturbations of the Wigner quasi-probability, defined as W ˜ k = W W 0 , where W 0 is the equilibrium state, evolving with wavevector k and frequency ω , as W ˜ k exp ( i k · r i ω t ) . Linearizing Equation (12) with respect to the perturbed quantities W ˜ k and n ˜ k , we obtain:
W ˜ k = g U ( k ) Δ W 0 ( ω k · v q ) n ˜ k .
Integrating this expression over the entire particle momentum spectrum q and using the definition of the particle density in Equation (13), we arrive at the dispersion relation:
1 + χ G ( ω , k ) = 0 ,
with the gravitational susceptibility defined as:
χ G ( ω , k ) = g U ( k ) Δ W 0 ( ω k · v q ) d q ( 2 π ) 3 .
In order to understand the meaning of this result, we consider the simplest case of a cold gas of self-gravitating particles. This can be described by the distribution W 0 ( q = ( 2 π ) 3 n 0 δ ( q q 0 ) , where n 0 is the equilibrium density of the gas. In the gas rest frame, we can take its equilibrium momentum equal to zero, q 0 = 0 . Solving the above integral, we obtain from Equation (17) an explicit dispersion relation, of the form:
ω 2 = ω J 2 k 2 ( k 2 + Λ ) + k 2 2 M 2 .
Here, we introduced the well-known Jeans frequency ω J , defined by ω J 2 = 4 π G M n 0 . In the limit of a Newtonian potential, Λ 0 , we recover the previously known quantum Jeans dispersion [17,47]. This is just an extension to the Yukawa potential. Other, more relevant extensions are discussed later. For the moment, we just need to state the Jeans instability criterion for a quantum gas in a gravitating Yukawa potential. From Equation (19), we can see that purely growing modes with ω 2 0 , corresponding to a gravitational collapse, will occur if the gas density exceeds some critical value, as determined by the condition:
n 0 2 k 4 16 π M 3 G 1 + Λ k 2 .
This instability criterion indicates that the gravitational collapse depends on the length scale of the perturbation. For a cloud of size L, the critical density for collapse varies with L 2 . However, if the locality range is much smaller than this length and Λ 1 / L , this critical density will only depend on Λ . In the cold matter approximation used here, the threshold is a purely quantum effect. Thermal effects and radiation however give additional contributions, as shown later.

4. Diffusive Radiation

Let us now introduce the contributions from a radiation background, characterized by a given radiation intensity I I ( r , t ) . In this case, we can use the potential V 0 in Equation (1) to describe the interaction of quantum matter with radiation. For this purpose, we follow the approach used to describe collective radiation forces in atomic clouds [10,11,12] and introduce an additional Poisson’s equation, of the form:
2 V 0 = α I ( r , t ) ψ ( r , t ) 2 .
Here, the quantity α is assumed as a generic parameter, which can be determined explicitly by the scattering cross-section associated with the interaction between gravitational matter and radiation (see [30,37]). Assuming that radiation is not associated with any well-defined beam, but is diffusive and nearly isotropic, the evolution of the radiation intensity I can be described by a diffusion equation of the form [48,49]:
I t · D I = γ I + S ,
where D is the diffusion coefficient, γ the photon absorption rate, and S the source term. In equilibrium, the intensity I 0 is such that the source compensates for the losses, and I 0 = S / γ . It is known that the diffusion coefficient depends on the local density of scattering matter particles and is inversely proportional to some power of the density, as D | ψ | 2 s = n s , where s is an appropriate exponent. As a reference value, we can take s = 2 . If we include the new potential V 0 , satisfying Equation (21), in the SN Equation (3) and retain the Yukawa potential, we obtain:
i ψ t = 2 2 M 2 + j = 0 , 1 g j U j ( r r ) | ψ ( r , t ) | 2 d r ψ ,
where now we have two coupling coefficients:
g 0 = α I 4 π , g 1 = M 2 G ,
with the corresponding potential functions:
U 0 ( r r ) = 1 | r r | , U 1 ( r r ) = 1 | r r | exp ( r r ) Λ 1 / 2 .
Notice that the coupling constant g 0 g 0 ( I ) depends on the radiation intensity, and the potential function U 0 now describes the photon scattering process, while g 1 and U 1 are related to the gravitational interaction. Repeating the Moyal procedure and using the above definitions, we can then arrive at a more general wave-kinetic equation, of the form:
i t + v q · W = j = 0 , 1 U j ( k ) F j ( k , t ) Δ W e i k · r d k ( 2 π ) 3 ,
The new quantities F j ( k , t ) are given by:
F 0 ( k , t ) = α 4 π I ( r , t ) n ( r , t ) e i k · r d r ,
and F 1 ( k , t ) = g 1 n ( k , t ) . At this point, it should be noticed that this new wave-kinetic equation is coupled with the radiation transport Equation (22) in two different ways: first, through the expression of the force function F 0 , which depends on the radiation intensity I ( r , t ) and, second, through the dependence of the diffusion coefficient D on the density of matter, or equivalently, on the quasi-probability W.

5. Modified Jeans Instability

We can study the evolution of the SN system, associated with matter coupled with a background, as described by the wave-kinetic Equation (26) and the radiation transport Equation (22). We start from a given equilibrium ( I 0 , W 0 , n 0 ) and consider perturbations ( I ˜ k , W ˜ k , n ˜ k ) evolving with frequency ω and wavevector k . Replacing this in Equation (26), we obtain, after linearization:
W ˜ k = Δ W 0 ( ω k · v q ) g k ( I 0 ) n ˜ k + α n 0 k 2 I ˜ k ,
with:
g k ( I 0 ) = α I 0 k 2 + g 1 U 1 ( k ) .
Integrating Equation (28) over the particle momentum q spectrum and using the definition of the gravitational susceptibility χ G ( ω , k ) , as given by Equation (18), we obtain a relation between the perturbed matter density n ˜ k and the perturbed radiation intensity I ˜ k , of the form:
ϵ G ( ω , k ) n ˜ k = β * I ˜ k ,
where we introduced the quantities:
ϵ G ( ω , k ) = 1 + 1 + α I 0 4 π g 1 1 + Λ k 2 χ G ( ω , k ) ,
and:
β * = α n 0 4 π g 1 1 + Λ k 2 χ G ( ω , k ) .
We now turn to the perturbative analysis of the radiation transport equation. For that purpose, we use D = D 0 + D ˜ k , such that D 0 D ( n 0 ) and D ˜ k = ( D / n ) 0 n ˜ k . We then obtain from Equation (22), after linearization, a second relation between the perturbed quantities, as:
ϵ R ( ω , k ) I ˜ k = ϵ n ˜ k ,
with the new quantities:
ϵ R ( ω , k ) = i ω + γ 0 + D 0 k 2 ,
and:
ϵ = D n 0 2 I 0 + i ( k · I 0 ) .
At this point, it should be noticed that the diffusion coefficient is proportional to some exponent of the density, D n s . Therefore, this quantity is positive, ϵ > 0 , for the plausible case of a positive exponent, s > 0 . The two Equations (30) and (33) should be solved as a coupled system, but it is instructive to consider them first separately. In the absence of coupling, if we take ϵ = 0 , we directly obtain from Equation (33) the dispersion properties of a radiative diffusion precess, as defined by:
ϵ R ( ω , k ) = 0 , ω = i ( γ 0 + D 0 k 2 ) .
This simply means that any perturbation of the radiation intensity will just diffuse away and vanish. Conversely, if we take β * = 0 and the matter density is decoupled from radiation, Equation (30) reduces to:
ϵ G ( ω , k ) = 0 .
Using Equation (31) and the definition of the gravitational susceptibility χ G ( ω , k ) as defined by Equation (18), we obtain, in the cold matter limit, the new dispersion relation:
ω 2 = α n 0 M I 0 ω J 2 k 2 ( k 2 + Λ ) + k 2 2 M 2 .
Comparing with Equation (19), we can see that, even ignoring the existence of radiation intensity perturbations, the simple existence of an unperturbed radiation background ( I 0 0 ) reduces the range of the gravitational collapse and the growth rate of the Jeans instability. At this point, it should be noticed that, if thermal effects are introduced, we need to make the replacement [30]:
ω J 2 ω J 2 + 3 k 2 v t h 2 , v t h = 1 n 0 v q 2 W 0 ( q ) d q ( 2 π ) 3 ,
where v t h can be seen as a thermal velocity. This shows that thermal effects further reduce the range of the unstable region and add to the radiation pressure, by opposing the gravitational force. However, we need to go beyond this simplified analysis and study the coupled matter–radiation process, which exists when both coupling parameters, ϵ and β * , are non-zero. New instabilities are revealed, as shown next.

6. Jeans-Bubble Regime

Let us return to the coupled Equations (30) and (33). They allow us to write:
ϵ R ( ω , k ) ϵ G ( ω , k ) = β * ϵ .
Using the explicit expressions, valid in the cold matter limit, we obtain a new dispersion relation of the form:
i ω + γ 0 + D 0 k 2 ω 2 Ω J 2 = β ϵ ,
where we now use the parameter:
β = β * ω 2 2 k 4 4 M 2 = α n 0 2 M .
Apart from obvious changes of notation, Equation (41) is formally identical to Equation (23) of [30], but the frequency Ω J now includes corrections from the Yukawa parameter Λ and from quantum dispersion ( 0 ) , as given by the new expression:
Ω J 2 = ω J 2 k 2 ( k 2 + Λ ) + 2 k 4 4 M 2 + ω p 2 , ω p 2 = α n 0 M I 0 ,
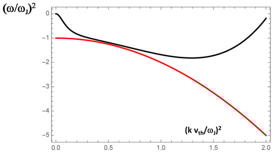
where ω p is the coupled matter–radiation frequency. The condition for gravitational collapse, as previously stated in Equation (36), is therefore equivalent to ω 2 = Ω J 2 0 . This is illustrated in Figure 1, where the present results are compared with those for classical matter in a Newtonian potential. As we can see, the Yukawa corrections associated with locality are dominant for low values of the wavenumber k, or equivalently, for large wavelength scales. In contrast, the quantum corrections dominate for large wavenumbers, or small scales. They both reduce the range of gravitational collapse.
Let us now determine the instability criterion when coupling with radiation is taken into account. In contrast with the case of Figure 1, where the growth rates increase when the absolute value of Ω J 2 is negative, now, the growth rates become larger near the critical region where Ω J 2 0 , and instability occurs for both negative and positive values. This can be shown by using ω = i Γ in the dispersion relation (41). We obtain:
( Γ + γ D ) ( Γ 2 + Ω J 2 ) = β ϵ , γ D = γ 0 + D 0 k 2 .
This can easily be solved, and the results are illustrated in Figure 2, for exact resonance conditions Ω J 2 = 0 , where a purely Jeans instability would not occur. In this figure, we represent the real positive values of Γ and normalize all the quantities to γ D . Here, in contrast, matter interaction with the radiation background allows for the existence of new unstable regimes, for both positive and negative values of the product β ϵ . Furthermore, a simple nonlinear analysis [30,37] shows that the saturation values of the density and radiation intensity perturbations satisfy the condition:
I ˜ s a t = ϵ γ D n ˜ s a t = Ω J β n ˜ s a t .
Assuming that β is always positive, for ϵ < 0 , we have an accumulation of photons in the collapsed matter regions, and this corresponds to the gravitational collapse of both matter and radiation. This gives a more complete picture of the Jeans instability. In contrast, for ϵ > 0 , the matter density decreases where the photon intensity increases, leading to the formation of matter voids, where matter is pushed away by radiation pressure. This corresponds to a new instability regime, which can be called the photon-bubble regime.
A similar behavior can be observed away from resonance, when Ω J 2 0 , as illustrated in Figure 3, for a fixed value β ϵ . In this case, the Jeans instability regime, where radiation collapses with matter, occurs for Ω J 2 < 0 . The photon-bubble regime, where matter voids are formed due to radiation pressure, occurs for Ω J 2 > 0 . This shows that the existence of a radiation background is not only able to modify the gravitational collapse, but also to introduce new instabilities where matter voids can be formed. Such processes could be relevant to astrophysical dust clouds. This would be also true over much larger scales if the radiation background is replaced by weakly interacting dark matter.

7. Conclusions

In this paper, we considered self-gravitating quantum matter, interacting with a radiation background, and introduced a finite range for the gravitational interaction. This was described by an extended Schrödinger–Newton equation, with an external radiation potential and a gravitational Yukawa potential. The finite range of this type of gravitational potentials induces an effect of locality on the quantum matter process.
We described the radiation background with a radiation transport equation, valid for diffusive radiation, with a diffusion coefficient that describes coupling with matter due photon scattering. We applied this extended SN model to the study of gravitational collapse. We showed that both the Jeans criterion for gravitational instabilities and the growth rates are modified, not only by the existence of quantum effects, but also by the Yukawa scale length of the gravitational interaction. Furthermore, coupling with the radiation environment modifies the character of the Jeans instability and introduces new instability regimes that can explain the formation of photo-bubbles and voids of matter. Matter–radiation interaction could also be responsible for decoherence effects of the quantum matter behavior, due to the existence of an environment. This important problem will be explored in the future.
The present work could have relevance to astrophysical and cosmological phenomena, as well as to laboratory experiments simulating quantum and gravity effects [18,19,20]. It could also stimulate the use of simplified models of quantum gravity, where the irreducible aspects of quantum mechanisms and gravitational theories, mainly due to the non-locality of the first and the locality of the second, could eventually be reconciled in the future. The present model makes a small step in that direction. A natural extension of this model is to use a more consistent description of curved space-time and to include dark matter. It is well known that general relativity changes the character of the Jeans instability, replacing the exponential instability growth of the perturbations by a more modest linear growth. However, this does not change the intrinsic physical meaning of the process. It would be interesting to know what happens to the new instability regimes discussed here.

Funding

This research received no external funding.

Institutional Review Board Statement

Not applicable.

Informed Consent Statement

Not applicable.

Data Availability Statement

The data presented in this study are included in the Figures.

Conflicts of Interest

The author declares no conflict of interest.

References

  1. Diósi, L. Gravitation and quantum-mechanical localization of macro-objects. Phys. Lett. A 1984, 105, 199–202. [Google Scholar] [CrossRef]
  2. Penrose, R. On gravity’s role in quantum state reduction. Gen. Relativ. Gravit. 1996, 28, 581–600. [Google Scholar] [CrossRef]
  3. Christian, J. Exactly soluble sector of quantum gravity. Phys. Rev. D 1997, 56, 4844–4877. [Google Scholar] [CrossRef]
  4. Adler, S.L. Comments on proposed gravitational modifications of Schrödinger dynamics and their experimental implications. J. Phys. A Math Theor. 2007, 40, 755–764. [Google Scholar] [CrossRef]
  5. Yang, H.; Miao, H.; Lee, D.-S.; Helou, B.; Chen, Y. Macroscopic Quantum Mechanics in a Classical Spacetime. Phys. Rev. Lett. 2013, 110, 170401. [Google Scholar] [CrossRef]
  6. Barhrami, M.; Grossardt, A.; Donati, S.; Bassi, A. The Schrödinger–Newton equation and its foundations. New J. Phys. 2014, 16, 115007. [Google Scholar] [CrossRef]
  7. Anastopoulos, C.; Hu, B.L. Problems with the Newton-Schrödinger equations. New J. Phys. 2014, 16, 085007. [Google Scholar] [CrossRef]
  8. Perelman, C.C. Exact solutions of the Newton-Schrödinger equation, infinite derivative gravity and Schwarzschild atoms. Phys. Astron. Int. J. 2017, 1, 00024. [Google Scholar] [CrossRef][Green Version]
  9. Bhat, A.; Dey, S.; Faizal, M.; Hou, C.; Zhao, Q. Modification of Schrödinger–Newton equation due to brane models with minimal length. Phys. Lett. B 2017, 770, 325–330. [Google Scholar] [CrossRef]
  10. Walker, T.; Sesko, D.; Wieman, C. Collective behavior of optically trapped neutral atoms. Phys. Rev. Lett. 1990, 64, 408–411. [Google Scholar] [CrossRef]
  11. Pruvost, L.; Serre, I.; Duong, H.T.; Jortner, J. Expansion and cooling of a bright rubidium three-dimensional optical molasses. Phys. Rev. A 2000, 61, 53408. [Google Scholar] [CrossRef]
  12. Mendonça, J.T.; Kaiser, R.; Terças, H.; Loureiro, J. Collective oscillations in ultracold atomic gas. Phys. Rev. A 2008, 78, 013408. [Google Scholar] [CrossRef]
  13. Lifshitz, E.M.; Pitaevskii, L.P. Physical Kinetics; Pergamon Press: Oxford, UK, 1981. [Google Scholar]
  14. Manfredi, G.; Haas, F. Self-consistent fluid model for a quantum electron plasma. Phys. Rev. B 2001, 64, 075316. [Google Scholar] [CrossRef]
  15. Shukla, P.K.; Eliasson, B. Nonlinear collective interactions in quantum plasmas with degenerate electron fluids. Rev. Mod. Phys. 2011, 83, 885–906. [Google Scholar] [CrossRef]
  16. Chavanis, P.-H. Mass-radius relation of Newtonian self-gravitating Bose–Einstein condensates with short-range interactions. Phys. Rev. D 2011, 84, 043531. [Google Scholar] [CrossRef]
  17. Mendonça, J.T. Wave-kinetic approach to the Schrödinger–Newton equation. New J. Phys. 2019, 21, 023004. [Google Scholar] [CrossRef]
  18. Bekenstein, R.; Schley, R.; Murzafi, M.; Rotachild, C.; Segev, M. Optical simulations of gravitational effects in Newton-Schrödinger system. Nat. Phys. 2015, 11, 872–878. [Google Scholar] [CrossRef]
  19. Barré, J.; Marcos, B.; Wilkowski, D. Nonequilibrium phase transition with gravitational-like interaction in a cloud of cold atoms. Phys. Rev. Lett. 2014, 112, 133001. [Google Scholar] [CrossRef] [PubMed]
  20. Baudouin, Q.; Guerin, W.; Kaiser, R. Cold and hot atomic vapors: A testbed for astrophysics? In Annual Review of Cold Atoms and Molecules; World Scientific: Singapore, 2014; Volume 2, pp. 251–312. [Google Scholar]
  21. Smolin, L. Einstein’s Unfinished Revolution; Penguin Books: London, UK, 2020. [Google Scholar]
  22. Dehnen, H.; Ghaboussi, F. Gravitational Yukawa potential from a Yang-Mills theory for gravity. Int. J. Theor. Phys. 1987, 26, 483–488. [Google Scholar] [CrossRef]
  23. Brandao, C.S.S.; de Araujo, J.C.N. Probing Yukawian gravitational potential by numerical simulations. Gen. Rel. Grav. 2010, 42, 777–793. [Google Scholar] [CrossRef]
  24. De Marino, I.; Lazkoz, R.; De Laurentis, M. Analysis of the Yukawa gravitational potential in f (R) gravity. Phys. Rev. D 2018, 97, 104067. [Google Scholar] [CrossRef]
  25. Arbuzova, E.V.; Dolgov, A.D.; Reverberi, L. Jeans instability in classical and modified gravity. Phys. Lett. B 2014, 739, 279–284. [Google Scholar] [CrossRef]
  26. Franklin, J.; Gui, Y.; McNutt, A.; Morgan, A. The Schrödinger–Newton system with self-field coupling. Class. Quantum Grav. 2015, 32, 065010. [Google Scholar] [CrossRef][Green Version]
  27. Wang, C.H.-T.; Bingham, R.; Mendonça, J.T. Quantum gravitational decoherence of matter waves. Class. Quantum Grav. 2006, 23, L59. [Google Scholar] [CrossRef]
  28. Bonifacio, P.M.; Wang, C.H.-T.; Mendonça, J.T.; Bingham, R. Dephasing of a non-relativistic quantum particle due to a conformally fluctuating spacetime. Class. Quantum Grav. 2009, 26, 145013. [Google Scholar] [CrossRef]
  29. Bassi, A.; Grossardt, A.; Ulbricht, H. Gravitational decoherence. Class. Quantum Grav. 2017, 34, 1–78. [Google Scholar] [CrossRef]
  30. Mendonça, J.T.; Guerreiro, A.; Ali, S. Photon bubbles in a self-gravitating dust gas: Collective dust interactions. AstroPhys. J. 2019, 872, 142. [Google Scholar] [CrossRef]
  31. Humi, M. On the evolution of a primordial interstellar gas cloud. J. Math. Phys. 2020, 61, 093504. [Google Scholar] [CrossRef]
  32. Hertzberg, M.P.; Schiappacasse, E.D. Scalar dark matter clumps with angular momentum. JCAP 2018, 8, 28. [Google Scholar] [CrossRef]
  33. Kremer, G.M.; Richarte, M.G.; Schiefer, E.M. Using kinetic theory to examine a self-gravitating system composed of baryons and cold dark matter. Eur. Phys. J. C 2019, 79, 492. [Google Scholar] [CrossRef]
  34. Turner, N.; Quaataert, E.; Yorke, H. Photon bubbles in the circunstellar envelopes of young stars. AstroPhys. J. 2007, 662, 1052–1059. [Google Scholar] [CrossRef]
  35. Jernigan, J.G.; Klein, R.I.; Arons, J. Discovery of kilo-hertz fluctuations in Centaurus x-3: Evidence for photon bubble oscillations (pbo) and turbulence in a high-mass x-ray binary pulsar. AstroPhys. J. 2000, 530, 875–889. [Google Scholar] [CrossRef][Green Version]
  36. Begelman, M.C. Photon bubbles and the vertical structure of accretion disks. AstroPhys. J. 2006, 643, 1065–1080. [Google Scholar] [CrossRef]
  37. Mendonça, J.T.; Kaiser, R. Photon bubbles in ultra-cold matter. Phys. Rev. Lett. 2012, 108, 033001. [Google Scholar] [CrossRef]
  38. Giampaoli, R.; Rodrigues, J.D.; Rodrigues, J.A.; Mendonça, J.T. Photon bubble turbulence in cold atomic gases. Nat. Commun. 2021, 12, 3240. [Google Scholar] [CrossRef] [PubMed]
  39. Roger, T.; Maitland, C.; Wilson, K.; Westerberg, N.; Vocke, D.; Wright, E.M.; Faccio, D. Optical analogues of the Newton-Schrödinger equation and boson star evolution. Nat. Commun. 2016, 7, 13492. [Google Scholar] [CrossRef]
  40. Wigner, E. On the quantum correction for thermodynamic equilibrium. Phys. Rev. 1932, 40, 749–759. [Google Scholar] [CrossRef]
  41. Moyal, J.E. Quantum mechanics as a statistical theory. Math. Proc. Cambridge Phys. Soc. 1949, 45, 99–124. [Google Scholar] [CrossRef]
  42. Hillary, M.; O’ Connell, R.F.; Scully, M.O.; Wigner, E.P. Distribution functions in physics: Fundamentals. Phys. Rep. 1984, 106, 121–167. [Google Scholar] [CrossRef]
  43. Weinbub, J.; Ferry, D.K. Recent advances in Wigner function approaches. Appl. Phys. Rev. 2018, 5, 041104. [Google Scholar] [CrossRef]
  44. Eingorn, M. First-order cosmological perturbations engendered by point-like masses. AstroPhys. J. 2016, 825, 84. [Google Scholar] [CrossRef]
  45. Chisari, N.E.; Zaldarriaga, M. Connection between Newtonian simulations and general relativity. Phys. Rev. D 2011, 83, 123505. [Google Scholar] [CrossRef]
  46. Borka, D.; Jovanović, P.; Borka Jovanović, V.; Zakharov, A.F. Constraining the range of Yukawa gravity interaction from S2 star orbits. JCAP 2013, 11, 50. [Google Scholar] [CrossRef]
  47. Shukla, P.K.; Stenflo, L. Jeans instability in quantum dusty plasmas. Phys. Lett. A 2006, 355, 378–380. [Google Scholar] [CrossRef]
  48. Ishimaru, A. Wave Propagation and Scattering in Random Media; Academic Press: New York, NY, USA, 1978. [Google Scholar]
  49. Van Rossum, M.C.; Nieuwenhuizen, T.M. Multiple scattering of classical waves: Microscopy, mesoscopy, and diffusion. Rev. Mod. Phys. 1999, 71, 313–372. [Google Scholar] [CrossRef]
Figure 1. Gravitational collapse, determined by the negative values of ω 2 = Ω J 2 , for ( I 0 = 0 ) . The black curve represents the normalized quantity ω 2 / ω J 2 as a function of the normalized wavenumber k 2 v t h 2 / ω J 2 , for quantum matter in a Yukawa potential, with Λ = 0.01 , and ( / 2 M ) 2 = 0.3 ω J 2 . For comparison, the red curve represents the same function in the classical Newtonian limit, with Λ = 0 and = 0 .
Figure 1. Gravitational collapse, determined by the negative values of ω 2 = Ω J 2 , for ( I 0 = 0 ) . The black curve represents the normalized quantity ω 2 / ω J 2 as a function of the normalized wavenumber k 2 v t h 2 / ω J 2 , for quantum matter in a Yukawa potential, with Λ = 0.01 , and ( / 2 M ) 2 = 0.3 ω J 2 . For comparison, the red curve represents the same function in the classical Newtonian limit, with Λ = 0 and = 0 .
Symmetry 13 01007 g001
Figure 2. Maximum growth rates of the Jeans-bubble instability Γ , for Ω J 2 = 0 , as a function of the coupling constant β ϵ . These quantities are normalized to γ D . The black curve corresponds to gravitational collapse and the red curve to matter void regions.
Figure 2. Maximum growth rates of the Jeans-bubble instability Γ , for Ω J 2 = 0 , as a function of the coupling constant β ϵ . These quantities are normalized to γ D . The black curve corresponds to gravitational collapse and the red curve to matter void regions.
Symmetry 13 01007 g002
Figure 3. Maximum growth rates of the Jeans-bubble instability Γ , as a function of Ω J 2 , for fixed values of the coupling constants: β ϵ = γ D 3 in black, and β ϵ = γ D 3 / 0.27 in red.
Figure 3. Maximum growth rates of the Jeans-bubble instability Γ , as a function of Ω J 2 , for fixed values of the coupling constants: β ϵ = γ D 3 in black, and β ϵ = γ D 3 / 0.27 in red.
Symmetry 13 01007 g003
Publisher’s Note: MDPI stays neutral with regard to jurisdictional claims in published maps and institutional affiliations.

Share and Cite

MDPI and ACS Style

Mendonça, J.T. Schrödinger–Newton Model with a Background. Symmetry 2021, 13, 1007. https://doi.org/10.3390/sym13061007

AMA Style

Mendonça JT. Schrödinger–Newton Model with a Background. Symmetry. 2021; 13(6):1007. https://doi.org/10.3390/sym13061007

Chicago/Turabian Style

Mendonça, José Tito. 2021. "Schrödinger–Newton Model with a Background" Symmetry 13, no. 6: 1007. https://doi.org/10.3390/sym13061007

APA Style

Mendonça, J. T. (2021). Schrödinger–Newton Model with a Background. Symmetry, 13(6), 1007. https://doi.org/10.3390/sym13061007

Note that from the first issue of 2016, this journal uses article numbers instead of page numbers. See further details here.

Article Metrics

Back to TopTop