Asymptotic Stability of Nonlinear Discrete Fractional Pantograph Equations with Non-Local Initial Conditions
Abstract
1. Introduction
2. Essential Preliminaries
| Algorithm 1: The MATLAB lines of where , , in (5) for , , , and . |
|
format long sigma = [0.5 1.1 2.1]; [xsigma ysigma] = size(sigma); a = [0.1 0.5 0.9]; N = 100; column = 1; for i = 1:ysigma for j = 1:ya n = 1; t = a(j); while t ≤ N parammatrix(n, column) = n; parammatrix(n, column+1) = t; parammatrix(n, column+2) = round(gamma(t + 1)/gamma(t + 1 + sigma(i)), 6); t = t + 1; n = n + 1; end; column = column + 3; end; end; |
- (i)
- If , then .
- (ii)
- .
- (1)
- The solution k is said to be stable, whenever for any and , there exists such thatfor and each .
- (2)
- The solution k is said to be attractive, if there exists such that implies .
- (3)
- The solution k is said to be asymptotically stable, whenever it is stable and attractive.
- (a)
- G is a contraction with constant .
- (b)
- H is continuous, resides in a compact subset of .
- (c)
- For all , if then .
3. Main Results
- There exists constants and such thatfor .
- There exists and , such thatfor any , .
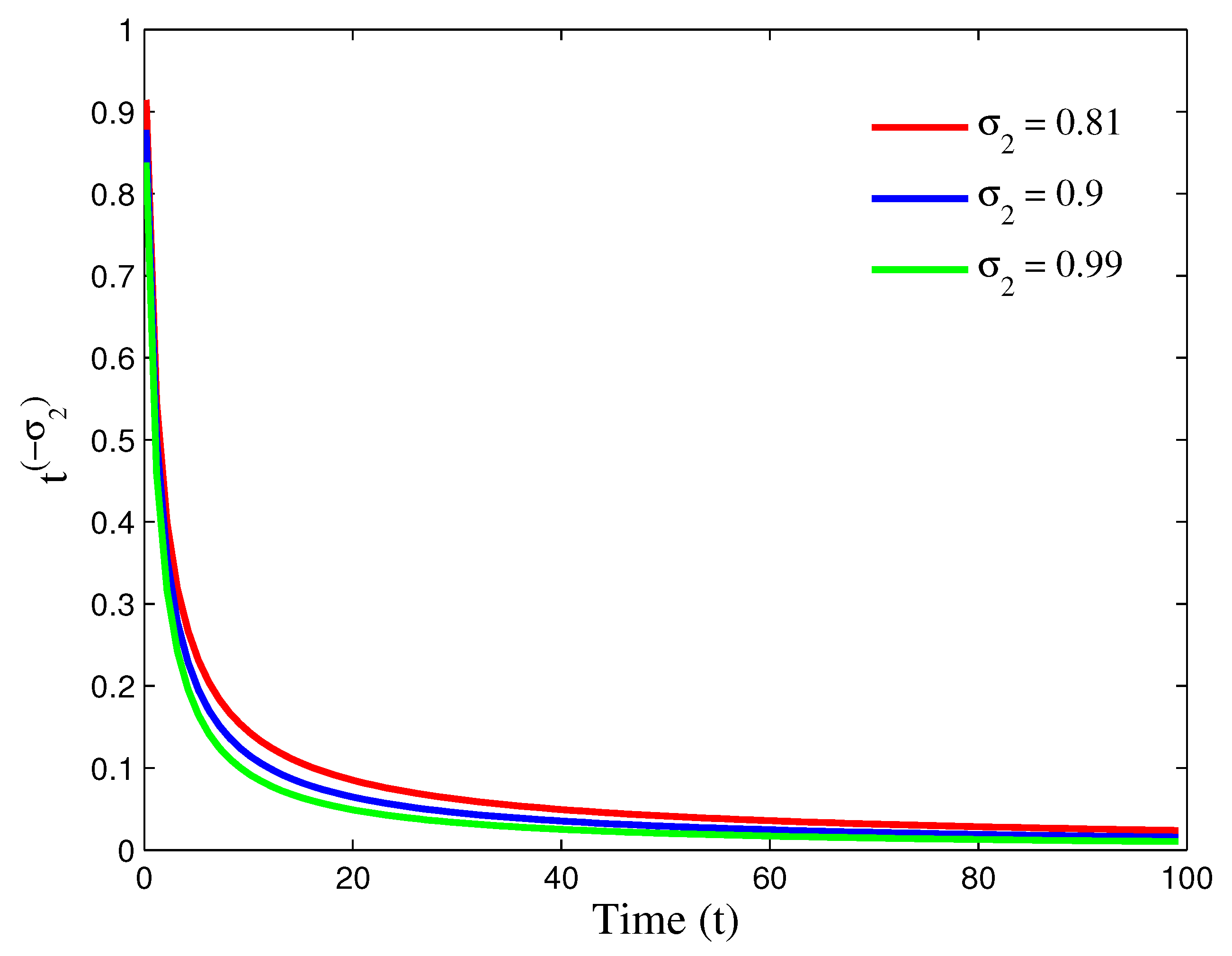
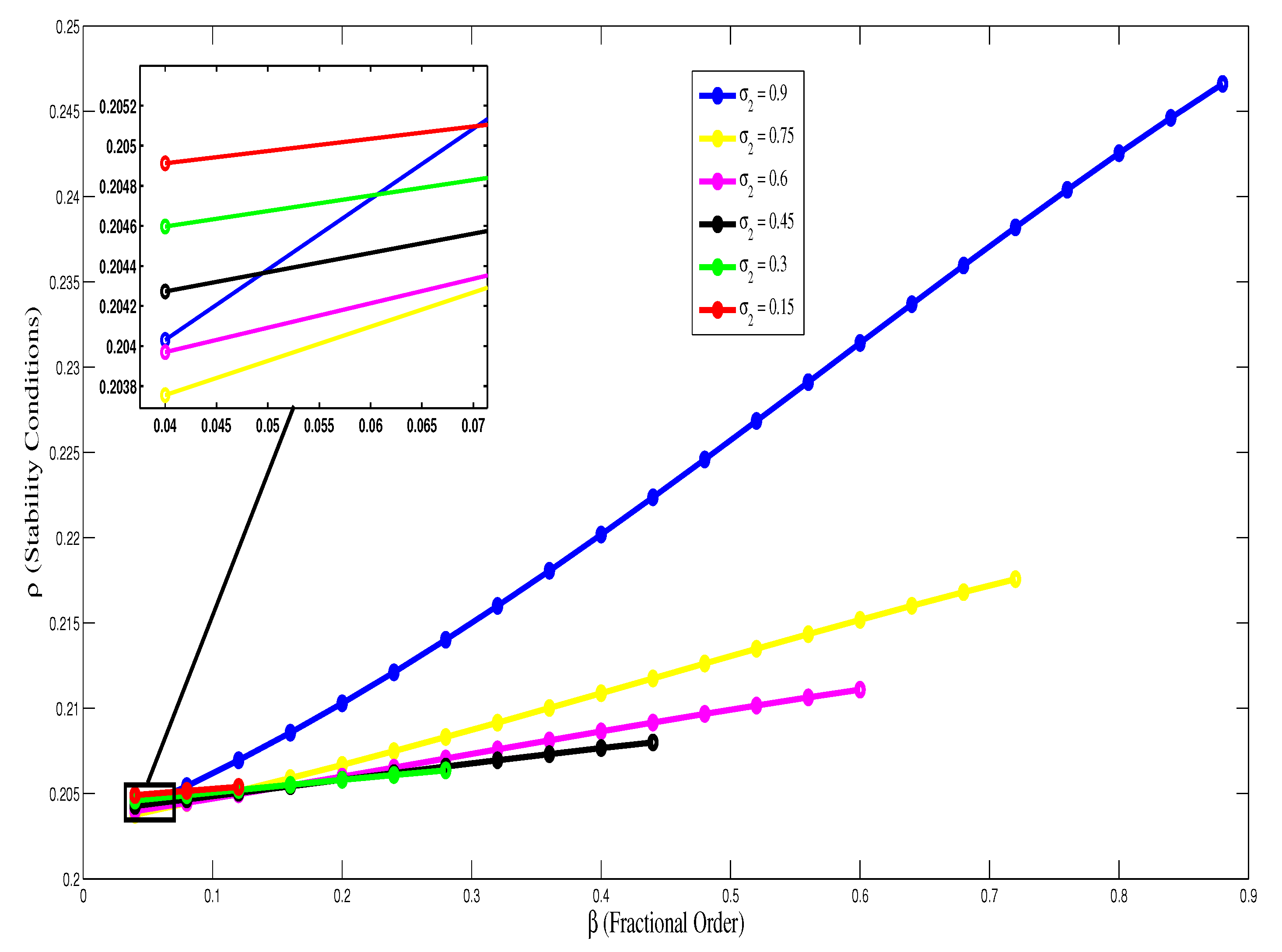
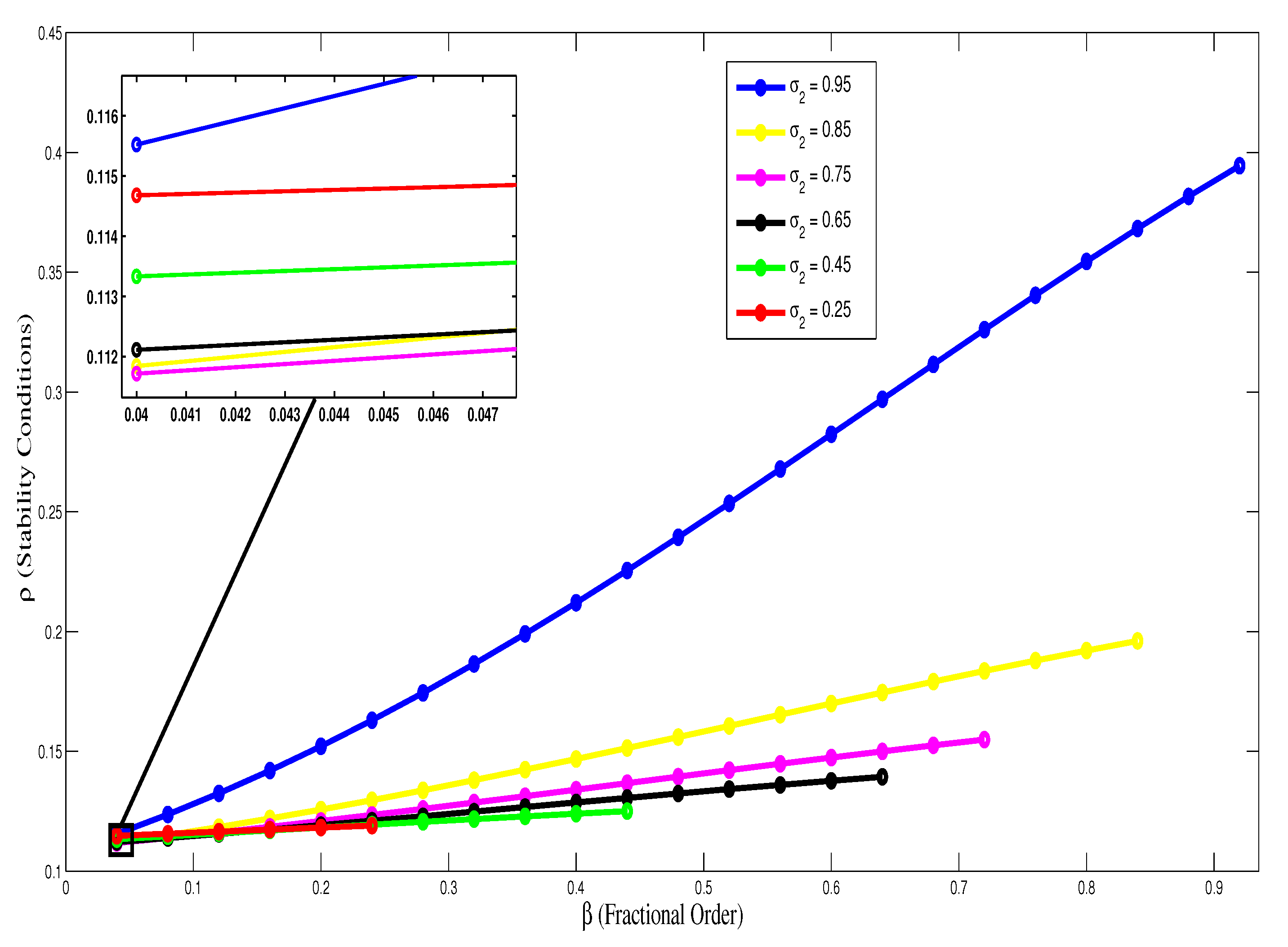
4. Numerical Examples
| Algorithm 2: The MATLAB lines of where , , in Example 1 for , and . |
| format long sigma = [0.81 0.9 0.99]; [xsigma ysigma] = size(sigma); beta = 0.2; N = 100; column = 1; for i = 1:ysigma n = 1; t = beta; while t ≤ N parammatrix(n, column) = n; parammatrix(n, column+1) = t; parammatrix(n, column+2) = round(gamma(t + 1)/gamma(t + 1 + sigma(i)), 6); t = t + 1; n = n + 1; end; column = column + 3; end; |
| Algorithm 3: The MATLAB lines of where for in Example 1. |
| format long M = 0.2; B3 = 0.004; B4 = 0.001; beta = 0.04; sigma = [0.15 0.3 0.45 0.6 0.75 0.9]; [xsigma ysigma] = size(sigma); n = 1; while beta < 1 column = 1; for i = 1:ysigma if sigma(i)>beta parammatrix(n, column) = n; parammatrix(n, column + 1) = beta; parammatrix(n, column + 2) = sigma(i); parammatrix(n, column + 3) = round(M + (B3 + B4) ⋯ *gamma(1-sigma(i))/(gamma(1 + beta-sigma(i))⋯ *gamma(2-beta + sigma(i))), 6); end; column = column + 4; end; beta = beta + 0.04; n = n + 1; end; |
| Algorithm 4: The MATLAB lines of where where , , , , , in (26). |
| format long M = 0.1; B3 = 0.0036; B4 = 0.012; sigma = [0.25 0.45 0.65 0.75 0.85 0.95]; [xsigma ysigma] = size(sigma); for i = 1:ysigma column = 1;; beta = 0.04; while beta < sigma(i) parammatrix(i, column) = i; parammatrix(i, column + 1) = sigma(i); parammatrix(i, column + 2) = beta; parammatrix(i, column + 3) = round(M + (B3 + B4)⋯ *gamma(1-sigma(i))/(gamma(1 + beta-sigma(i))⋯ *gamma(2-beta + sigma(i))), 6); beta = beta + 0.04; column = column + 4; end; end; |
5. Conclusions
Author Contributions
Funding
Institutional Review Board Statement
Informed Consent Statement
Data Availability Statement
Acknowledgments
Conflicts of Interest
References
- Parker, S.P. An Introduction to the Fractional Calculus and Fractional Difference Equations, 2nd ed.; McGraw-Hill Encyclopedia of Engineering Art, Mechanism; McGraw-Hill: New York, NY, USA, 1992; pp. 697–700. [Google Scholar]
- Ockendon, J.R.; Tayler, A.B. The dynamics of a current collection system for an electric locomotive. Proc. R. Soc. Lond. Ser. A 1971, 322, 447–468. [Google Scholar]
- Schwamb, P.; Merrill, A.L.; James, W.H. Elements of Mechanism, 6th ed.; John Wiley & Sons: New York, NY, USA, 1947. [Google Scholar]
- Truesdell, L.E. The Development of Punch Card Tabulation in the Bureau of the Census: 1890–1940; GPO: Washington, DC, USA, 1965. [Google Scholar]
- Anastassiou, G.A. Discrete Fractional Calculus and Inequalities. J. Comput. Anal. Appl. 2017, 25, 889–898. [Google Scholar]
- Podlubny, I. Fractional Differential Equations; Academic Press: San Diego, CA, USA, 1999. [Google Scholar]
- Carinena, J.F.; Ranada, M.F.; Santander, M. Lagrangian formalism for nonlinear second-order Riccati systems: One-dimensional integrability and two-dimensional superintegrability. J. Math. Phys. 2005, 46, 062703. [Google Scholar] [CrossRef]
- Carinera, J.F. Non-standard Hamiltonian structures of the Lienard equation and contact geometry. Int. J. Geom. Meth. Mod. Phys. 2019, 16, 1940001. [Google Scholar] [CrossRef]
- El-Nabulsi, R.A. Nonlinear dynamics with nonstandard Lagrangians. Qual. Theor. Dyn. Syst. 2012, 12, 273–291. [Google Scholar] [CrossRef]
- El-Nabulsi, R.A. Non-standard fractional Lagrangians. Nonlinear Dyn. 2013, 74, 381–394. [Google Scholar] [CrossRef]
- El-Nabulsi, R.A. Non-standard power-law Lagrangians in classical and quantum dynamics. Appl. Math. Lett. 2015, 43, 120–127. [Google Scholar] [CrossRef]
- El-Nabulsi, R.A. Non-standard Lagrangians in rotational dynamics and the modified Navier-Stokes equation. Nonlinear Dyn. 2015, 79, 2055–2068. [Google Scholar] [CrossRef]
- Musielak, Z.E.; Roy, D.; Swift, K.D. Method to derive Lagrangian and Hamiltonian for a nonlinear dynamical system with variable coefficients. Chaos Solitons Fractals 2008, 38, 894–902. [Google Scholar] [CrossRef]
- El-Nabulsi, R.A. Fractional oscillators from non-standard Lagrangians and time-dependent fractional exponent. Comp. Appl. Math. 2014, 33, 163–179. [Google Scholar] [CrossRef]
- El-Nabulsi, R.A. Fractional variational symmetries of Lagrangians, the fractional Galilean transformation and the modified Schro¨dinger equation. Nonlinear Dyn. 2015, 81, 939–948. [Google Scholar] [CrossRef]
- Zhang, Y.; Wang, X.P. Symmetry and invariants of quasi-fractional dynamical systems with non-standard Lagrangians. Symmetry 2019, 11, 1061. [Google Scholar] [CrossRef]
- Jiang, J.; Feng, Y.; Xu, S. Noether’s symmetries and its inverse for fractional logarithmic Lagrangian systems. J. Syst. Sci. Inform. 2019, 7, 90–98. [Google Scholar] [CrossRef]
- El-Nabulsi, R.A. A fractional approach to nonconservative Lagrangian dynamical systems. Fiz. A 2005, 14, 289–298. [Google Scholar]
- Atici, F.M.; Eloe, P.W. Initial Value problems in discrete fractional calculus. Proc. Am. Math. Soc. 2009, 137, 981–989. [Google Scholar] [CrossRef]
- Atici, F.M.; Eloe, P.W. A transform method in discrete fractional calculus. Int. J. Differ. Eq. 2007, 25, 165–176. [Google Scholar]
- Atici, F.M.; Sengul, S. Modeling with fractional difference equations. J. Math. Anal. Appl. 2010, 137, 1–9. [Google Scholar] [CrossRef]
- Atici, F.M.; Eloe, P.W. Discrete fractional calculus with the nabla operator. Electron. J. Qual. Theory Differ. Equ. Special. Ed. I 2009, 3, 1–12. [Google Scholar] [CrossRef]
- Miller, K.S.; Ross, B. An Introduction To the Fractional Calculus and Fractional Difference Equations; Wiley: New York, NY, USA, 1993. [Google Scholar]
- Chen, F.; Luo, X.; Zhou, Y. Existence results for nonlinear fractional difference equation. Adv. Differ. Eq. 2011, 2011, 12. [Google Scholar] [CrossRef]
- Chen, F. Fixed points and asymptotic stability of nonlinear fractional difference equations. Electron. J. Asymptot. Theory Differ. Eq. 2011, 39, 1–18. [Google Scholar] [CrossRef]
- Chen, F.; Liu, Z. Asymptotic stability results for nonlinear fractional difference equations. J. Appl. Math. 2012, 2012, 14. [Google Scholar] [CrossRef]
- Abdeljawad, T.; Alzabut, J.; Zhou, H. Krasnoselskii existence result for nonlinear delay Caputo q-fractional difference equations with applications to Lotka Volterra competition model. Appl. Math. E Notes 2017, 17, 307–318. [Google Scholar]
- Alzabut, J.; Abdeljawad, T.; Baleanu, D. Nonlinear delay fractional difference equations with applications on discrete fractional Lotka - Volterra competition model. J. Comput. Anal. Appl. 2017, 25, 889–898. [Google Scholar]
- Mohan, J.J.; Shobanadevi, N.; Deekshitulu, G.V.S.R. Stability of nonlinear nabla fractional difference equations using fixed point theorems. Ital. J. Pure Appl. Math. 2014, 32, 165–184. [Google Scholar]
- Samei, M.E.; Hedayati, V.; Ranjbar, G.K. The existence of solution for k-dimensional system of Langevin Hadamard-type fractional differential inclusions with 2k different fractional orders. Medit. J. Math. 2020, 17, 37. [Google Scholar] [CrossRef]
- Samei, M.E.; Hedayati, V.; Rezapour, S. Existence results for a fraction hybrid differential inclusion with Caputo-Hadamard type fractional derivative. Adv. Differ. Eq. 2019, 2019, 163. [Google Scholar] [CrossRef]
- Zhou, H.; Alzabut, J.; Rezapour, S.; Samei, M.E. Uniform persistence and almost periodic solutions of a non-autonomous patch occupancy model. Adv. Differ. Eq. 2020, 2020, 143. [Google Scholar] [CrossRef]
- Iswarya, M.; Raja, R.; Rajchakit, G.; Cao, J.; Alzabut, J.; Huang, C. Existence, uniqueness and exponential stability of periodic solution for discrete-time delayed BAM neural networks based on coincidence degree theory and graph theoretic method. Mathematics 2019, 7, 1055. [Google Scholar] [CrossRef]
- Pratap, A.; Raja, R.; Alzabut, J.; Dianavinnarasi, J.; Cao, J.; Rajchakit, G. Finite-time Mittag-Leffler stability of fractional-order quaternion-valued memristive neural networks with impulses. Neural Process Lett. 2020, 51, 1485–1526. [Google Scholar] [CrossRef]
- Hedayati, V.; Samei, M.E. Positive solutions of fractional differential equation with two pieces in chain interval and simultaneous Dirichlet boundary conditions. Bound. Val. Prob. 2019, 2019, 141. [Google Scholar] [CrossRef]
- Kalvandi, V.; Samei, M.E. New stability results for a sum-type fractional q-integro-differential equation. J. Adv. Math. Stud. 2019, 12, 201–209. [Google Scholar]
- Samei, M.E.; Yang, W. Existence of solutions for k-dimensional system of multi-term fractional q-integro-differential equations under anti-periodic boundary conditions via quantum calculus. Math. Meth. Appl. Sci. 2020, 43, 4360–4382. [Google Scholar] [CrossRef]
- Li, D.; Sun, W.; Wu, C. A Novel Numerical Approach to Time-Fractional Parabolic Equations with Nonsmooth Solutions. Numer. Math. Theory Methods Appl. 2021, 14, 355–376. [Google Scholar]
- Čermák, J.; Kisela, T. Stability properties of two-term fractional differential equations. Nonlinear Dyn. 2015, 80, 1673–1684. [Google Scholar] [CrossRef]
- Gorenflo, R.; Mainardi, F. Fractional calculus, integral and differential equations of fractional order. In Fractals and Fractional Calculus in Continuum Mechanics; Carpinteri, A., Mainardi, F., Eds.; CISM Courses and Lecture Notes; Springer: Vienna, Austria, 1997; Volume 378, pp. 223–276. [Google Scholar]
- Li, Y.; Chen, Y.Q.; Pudlubny, I. Mittag–Leffler stability of fractional order nonlinear dynamic systems. Automatica 2009, 45, 1965–1969. [Google Scholar] [CrossRef]
- Bhalekar, S.; Patade, J. Series solution of the pantograph equation and its properties. Fractal Fract. 2017, 1, 16. [Google Scholar] [CrossRef]
- Vivek, D.; Kanagarajan, K.; Harikrishnan, S. Dynamics and Stability Results of Fractional pantograph Equations With Complex Order. J. Appl. Nonlinear Dyn. 2018, 7, 179–187. [Google Scholar] [CrossRef]
- Balachandran, K.; Kiruthika, S.; Trujillo, J.J. Existence of solutions of nonlinear fractional pantograph equations. Acta Math. Sci. 2013, 33, 1–9. [Google Scholar] [CrossRef]
- Derfel, G.A.; Iserles, A. The pantograph equation in the complex plane. J. Math. Anal. Appl. 1997, 213, 117–132. [Google Scholar] [CrossRef]
- Li, D.; Zhang, C. Long time numerical behaviors of fractional pantograph equations. Math. Comput. Simul. 2020, 172, 244–257. [Google Scholar] [CrossRef]
- Kilbas, A.A.; Srivastava, H.M.; Trujillo, J.J. Theory and Applications of Fractional Differential Equations; North-Holland Mathematics Studies; Elsevier Science B.V.: Amsterdam, The Netherlands, 2006. [Google Scholar]
- Cheng, S.S.; Patula, W.T. An Existence theorem for a nonlinear difference equation. Nonlinear Anal. 1993, 20, 193–203. [Google Scholar] [CrossRef]
- Burton, T.A.; Furumochi, T. Krasnoselskii’s fixed point theorem and stability. Nonlinear Anal. Theory, Methods Appl. 2002, 49, 445–454. [Google Scholar] [CrossRef]
- Boulares, H.; Ardjouni, A.; Laskri, Y. Existence and uniqueness of solutions for nonlinear fractional nabla difference systems with initial conditions. Fract. Differ. Calc. 2017, 7, 247–263. [Google Scholar] [CrossRef]






| t | t | t | ||||
|---|---|---|---|---|---|---|
| 1 | ||||||
| 2 | ||||||
| 3 | ||||||
| 4 | ||||||
| 5 | ||||||
| ⋮ | ⋮ | ⋮ | ⋮ | ⋮ | ⋮ | ⋮ |
| 97 | ||||||
| 98 | ||||||
| 99 | ||||||
| 100 | ||||||
| 1 | ||||||
| 2 | ||||||
| 3 | ||||||
| 4 | ||||||
| 5 | ||||||
| ⋮ | ⋮ | ⋮ | ⋮ | ⋮ | ⋮ | ⋮ |
| 97 | ||||||
| 98 | ||||||
| 99 | ||||||
| 100 | ||||||
| 1 | ||||||
| 2 | ||||||
| 3 | ||||||
| 4 | ||||||
| 5 | ||||||
| ⋮ | ⋮ | ⋮ | ⋮ | ⋮ | ⋮ | ⋮ |
| 97 | ||||||
| 98 | ||||||
| 99 | ||||||
| 100 | ||||||
| 0.81 | 0.9 | 0.99 | ||
| 1 | ||||
| 2 | ||||
| 3 | ||||
| 4 | ||||
| 5 | ||||
| 6 | ||||
| 7 | ||||
| 8 | ||||
| 9 | ||||
| 10 | ||||
| 11 | ||||
| 12 | ||||
| 13 | ||||
| 14 | ||||
| 15 | ||||
| 0.15 | 0.30 | 0.45 | 0.60 | 0.75 | 0.9 | ||
| 1 | |||||||
| 2 | |||||||
| 3 | |||||||
| 4 | |||||||
| 5 | |||||||
| 6 | |||||||
| 7 | |||||||
| 8 | |||||||
| 9 | |||||||
| 10 | |||||||
| 11 | |||||||
| 12 | |||||||
| 13 | |||||||
| 14 | |||||||
| 15 | |||||||
| 16 | |||||||
| 17 | |||||||
| 18 | |||||||
| 19 | |||||||
| 20 | |||||||
| 21 | |||||||
| 22 | |||||||
| 0.55 | 0.75 | 0.9 | ||
| 1 | ||||
| 2 | ||||
| 3 | ||||
| 4 | ||||
| 5 | ||||
| 6 | ||||
| 7 | ||||
| 8 | ||||
| 9 | ||||
| 10 | ||||
| 11 | ||||
| 12 | ||||
| 13 | ||||
| 14 | ||||
| 15 | ||||
| 0.25 | 0.45 | 0.65 | 0.75 | 0.85 | |||
| 1 | |||||||
| 2 | |||||||
| 3 | |||||||
| 4 | |||||||
| 5 | |||||||
| 6 | |||||||
| 7 | |||||||
| 8 | |||||||
| 9 | |||||||
| 10 | |||||||
| 11 | |||||||
| 12 | |||||||
| 13 | |||||||
| 14 | |||||||
| 15 | |||||||
| 16 | |||||||
| 17 | |||||||
| 18 | |||||||
| 19 | |||||||
| 20 | |||||||
| 21 | |||||||
| 22 | |||||||
| 23 | |||||||
Publisher’s Note: MDPI stays neutral with regard to jurisdictional claims in published maps and institutional affiliations. |
© 2021 by the authors. Licensee MDPI, Basel, Switzerland. This article is an open access article distributed under the terms and conditions of the Creative Commons Attribution (CC BY) license (http://creativecommons.org/licenses/by/4.0/).
Share and Cite
Alzabut, J.; Selvam, A.G.M.; El-Nabulsi, R.A.; Dhakshinamoorthy, V.; Samei, M.E. Asymptotic Stability of Nonlinear Discrete Fractional Pantograph Equations with Non-Local Initial Conditions. Symmetry 2021, 13, 473. https://doi.org/10.3390/sym13030473
Alzabut J, Selvam AGM, El-Nabulsi RA, Dhakshinamoorthy V, Samei ME. Asymptotic Stability of Nonlinear Discrete Fractional Pantograph Equations with Non-Local Initial Conditions. Symmetry. 2021; 13(3):473. https://doi.org/10.3390/sym13030473
Chicago/Turabian StyleAlzabut, Jehad, A. George Maria Selvam, Rami A. El-Nabulsi, Vignesh Dhakshinamoorthy, and Mohammad E. Samei. 2021. "Asymptotic Stability of Nonlinear Discrete Fractional Pantograph Equations with Non-Local Initial Conditions" Symmetry 13, no. 3: 473. https://doi.org/10.3390/sym13030473
APA StyleAlzabut, J., Selvam, A. G. M., El-Nabulsi, R. A., Dhakshinamoorthy, V., & Samei, M. E. (2021). Asymptotic Stability of Nonlinear Discrete Fractional Pantograph Equations with Non-Local Initial Conditions. Symmetry, 13(3), 473. https://doi.org/10.3390/sym13030473

