Abstract
To detect sustainable changes in the manufacturing processes, memory-type charting schemes are frequently functioning. The recently designed, homogenously weighted moving average (HWMA) technique is effective for identifying substantial changes in the processes. To make the HWMA chart more effective for persistent shifts in the industrial processes, a double HWMA (DHWMA) chart has been proposed recently. This study intends to develop a triple HWMA (THWMA) chart for efficient monitoring of the process mean under zero- and steady-state scenarios. The non-normal effects of monitoring characteristics under in-control situations for heavy-tailed highly skewed and contaminated normal environments are computed under both states. The relative efficiency of the proposed structure is compared with HWMA, DHWMA, exponentially weighted moving average (EWMA), double EWMA, and the more effective triple EWMA control charting schemes. The relative analysis reveals that the proposed THWMA design performs more efficiently than the existing counterparts. An illustrative application related to substrate manufacturing is also incorporated to demonstrate the proposal.
1. Introduction
In manufacturing and production industries, variations are an integral part of running processes. Control charts are statistical processes monitoring (SPM) techniques used for tracing and eliminating sudden changes in the process target to produce high yield products. Shewhart introduced the idea of the monitoring process through control charting in 1920. Quality practitioners noticed that Shewhart structure-based monitoring schemes only perform effectively in identifying large shifts in the process parameters. To understand sustainable shifts in the process, Page [1] developed a cumulative sum (CUSUM) chart that accumulates deviation from the process target. After the development of the CUSUM scheme, Roberts [2] designed an exponentially weighted moving average (EWMA) charting scheme, which has earned a lot of popularity in SPM literature and continuously growing (cf. Montgomery [3]). The EWMA charting statistic assigns more weight to the most recent information and less weight to old information, and these weights decrease exponentially among the sample information. Recently, Abbas [4] studied the homogeneously weighted moving average (HWMA) charting technique by allocating a certain weight to the freshest process value and the remaining weight homogeneously allocated among the mean of all the rest values in the working process. The relative effectiveness of the HWMA chart was found relatively better than CUSUM and EWMA charts.
Quality practitioners always require a charting structure that promptly traces small changes in the process parameters. In the SPM paradigm’s literature, many advancements and modifications on control charts exist that are continuously growing to fulfill the practitioner’s requirement of quickly shift detection. To increase the effectiveness of the Shewhart design, Lucas [5] developed a combined Shewhart–CUSUM (CS–CUSUM) chart, and Lucas and Saccucci [6] studied the CS–EWMA chart to trace shifts in the process location. Lucas and Saccucci [6] observed the steady-state behavior of the EWMA chart for monitoring the mean of the quality characteristic of interest. Runger and Montgomery [7] investigated the steady-state effect on the Shewhart control chart focusing on the process mean. Shamma and Shamma [8] suggested a double EWMA (DEWMA) scheme, and Abbas et al. [9] designed a mixed EWMA–CUSUM scheme respectively to trace small shifts in the process mean effectively. Zaman et al. [10] investigated a mixed CUSUM–EWMA chart and Abbas et al. [11] designed double progressive mean charts for the process mean shifts. Abbas et al. [12] developed an exponentially weighted moving average chart taking progressive mean (PM) as input variable and named as mixed EWMA–PM and Riaz et al. [13] studied another chart by name mixed PM–EWMA schemes respectively for efficient monitoring of the process mean. For swift tracing small noises in the mean of the process, Abid et al. [14] introduced a double HWMA (DHWMA) chart, and Raza et al. [15] designed a nonparametric HWMA chart under simple and ranked set sampling schemes for monitoring persistent shifts in the process target. Aslam et al. [16] investigated a hybrid EWMA scheme to monitor process variability. Chen and Lu [17] designed the sum of squares EWMA model using auxiliary characteristics. Recently, Alevizakos et al. [18] designed triple EWMA (TEWMA) charting methods for effectively addressing shifts in the mean of the process. The relative comparison of the charting schemes is made based on average run length (ARL), which is the average number of plotted samples before a chart produces an out-of-control (OOC) signal. is customry used for in-control (IC) ARL and for OOC ARL.
The current study intends to develop a triple HWMA (THWMA) chart, taking inspiration from Alevizakos et al. [18] for swift screening small shifts in the process. The run-length (RL) characteristics of the proposed THWMA chart are evaluated using zero and steady-state processes. The robust behavior of the proposed THWMA design is observed using heavy-tailed and logistic processes; for skewed nature processes, gamma distribution and an outlier in the processes contaminated normal (CN) distribution are also incorporated in this study. Expert researchers usually choose CN distribution for the assessment of design structures in the presence of outliers.
The remaining article is outlined as follows: An overview of some existing memory-type charts and proposed design is presented in Section 2. Sensitivity analysis of the proposed THWMA scheme and a relative comparison of the proposed THWMA and existing competitors are presented in Section 3. Section 4 presents real-life data application of the proposed THWMA and existing counterpart charts. Concluding remarks with some future lines are highlighted in Section 5, and the article ends with Appendix A, Appendix B, Appendix C and Appendix D showing some derivations.
2. Design Structure of the HWMA and the Proposed Triple HWMA Schemes
The design structure of HWMA, DHWMA, and the proposed THWMA schemes are presented in this section. The sensitivity analyses of the proposed design under a normal and non-normal environment are also provided in this section.
2.1. Design of HWMA Scheme
Suppose the quality characteristic ; and is taken from the normal distribution with known mean and standard deviation . The HWMA charting statistic proposed by Abbas [4] is written as
In (1) and is the smoothing parameter of the HWMA statistic. The HWMA scheme performs sensitively for small shifts at small choices of . The mean of HWMA scheme is, and variance of HWMA is, (cf. Appendix A.1, Appendix A.2, Appendix B.1 and Appendix B.2). The control limits of the HWMA chart are
The HWMA scheme has two design parameters and , which are chosen to attain desired values of . is known as signaling coefficient and is smoothing constant. The HWMA chart traces shift in the ongoing process if the statistic provided in (1) plots outside the control limits presented in (2).
2.2. Design of DHWMA Scheme
After the development of the HWMA model, Abid et al. [14] designed a double HWMA (DHWMA) chart, which proved more efficient than the HWMA method. The DHWMA charting scheme utilizes sample information twice. The DHWMA charting statistic is derived as
Taking from (1) and putting in (3), the DHWMA statistic more precisely becomes
In (4), presents the weight allocated to the most recent measurement in the working process. The mean of DHWMA chart is, , and its variance is, (cf. Appendix C.1 and Appendix C.2). The charting limits of the DHWMA scheme become
The design parameters of the DHWMA scheme are and , which are already defined in the previous section. The DHWMA statistic presented in (4) detects OOC position if it goes beyond the control limits provided in (5); otherwise, it is considered in a stable situation.
2.3. Design of the Proposed THWMA Scheme
This section intends to develop high sensitive triple HWMA (THWMA) design to identify small and sustainable changes in the process effectively. The proposed THWMA plan utilizes sample information thrice, which makes the structure efficient. Suppose the quality characteristic of interest has , …, ,… sequence of identically and independently distribution mean of observations corresponding to each sample number. Then, the mathematical form of the proposed THWMA charting scheme is
Putting value of from (4) in (6), we obtain
where the ..., ,… is the sequence of the proposed THWMA plotting statistic corresponding to each sample number. The mean and variance of the proposed THWMA statistic provided in (7) are and respectively (cf. Appendix D.1 and Appendix D.2). For the proposed structure, The control limits of the proposed scheme using these mean and variance become
where shows the smoothing parameter and denotes the signaling coefficient of the proposed THWMA chart. The THWMA schemes trace the shift in the process mean if it goes above the or below the in any sample, as provided in (8). The proposed THWMA chart declines to Shewhart’s [19] chart at .
3. Evaluation of Proposed THWMA Chart
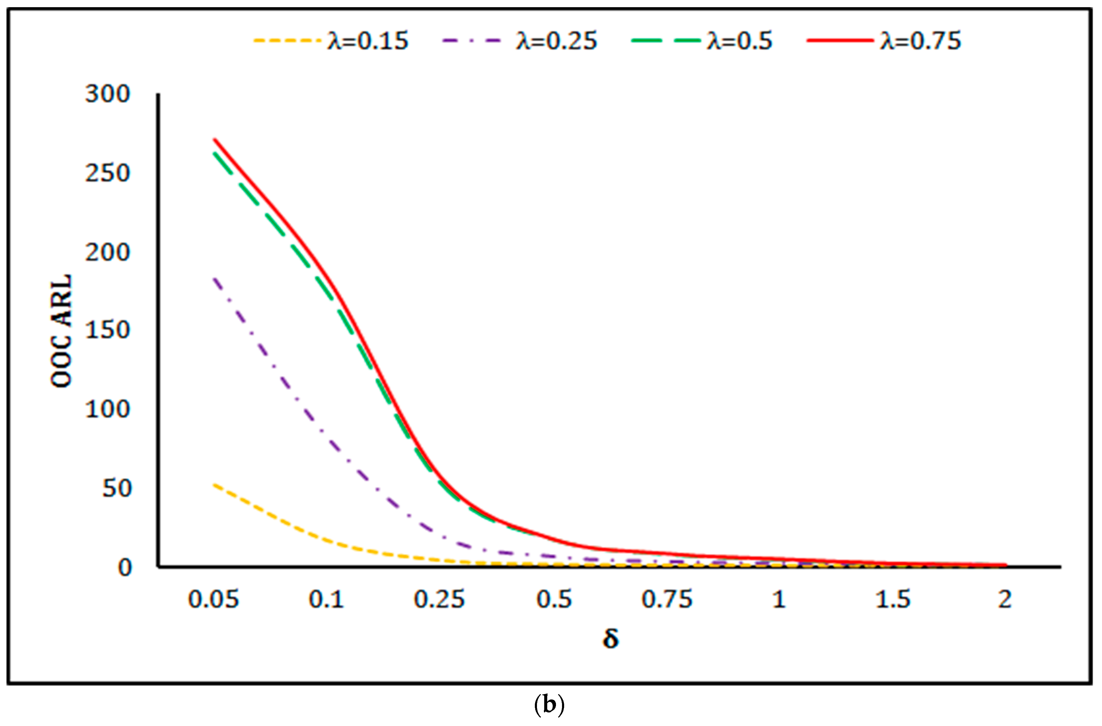
To observe the properties of the proposed THWMA chart, run length (RL) characteristics are computed in this section. The RL properties of the THWMA scheme are computed using the Monte Carlo simulation method with the codes designed in the R programming language. To evaluate the more reliable results of RL profiles, iterations are carried out, following Abbasi [20] and Hussain et al. [21] because the proposed THWMA structure has only two design parameters and The value of smoothing parameter is taken first and is adjusted at predefined value of In this study, is taken because it is considered according to international industry standard (cf. Graham et al. [22]). The RL properties of the proposed THWMA chart under zero and steady-state modes are provided in Table 1. The process condition when the chart is considered in a stable state before the OOC state is known as steady-state (cf. Lucas and Saccucci [6], Runger and Montgomery [7], and Abbas et al. [23]). When the process is assumed to be in the OOC situation at the beginning, it is considered to be in zero-state condition. In this study, to observe the steady-state nature of the process along with zero-state, 100 IC sample numbers are obtained for the steady-state case. The RL of charts is usually observed by ARL, which is an average number of sample points before a chart goes into the OOC state. IC ARL is usually presented by and OOC ARL by , respectively. Along with ARL, some other properties of RL such as standard deviation of RL (SDRL) and median RL (MDRL) are also taken into account, following Radson and Boyd [24]. The shift in the process mean is obtained as here, denotes IC process mean and shows shifted mean. Without loss of generality in this study, has been obtained. From Table 1, it can be concluded that (i) run length distribution of the proposed chart is positively skewed as ARL > MDRL under both modes of the process; (ii) skewness of the run length of the chart declines as shifts increase; (iii) the proposed THWMA chart at small choices of smoothing parameter shows more efficient OOC performance as compared to large choices of smoothing parameter under both states. For example, with design parameters and at , it provides , and with design parameters and , it yields in zero-state; and (iv) the proposed scheme under steady-state shows more OOC effectiveness as compared to zero-state. For example, the process under zero-state with parameters and at yields , and the process under steady-state with design choices and at provides .
Table 1.
The average run length (ARL) profiles of the triple homogenously weighted moving average (THWMA) chart under zero and steady states for different choices of at .
The performance of the proposed THWMA chart with various choices of design parameters can be seen in line graphs presented in Figure 1 under both modes.

Figure 1.
The out-of-control (OOC) ARL performance of the proposed for a different choice of under (a) zero-state (b) steady-state.
3.1. Robustness of the Proposed THWMA Scheme against Non-Normality
Most of the manufacturing, production, and services processes do not fulfill the normality assumption in practice (cf. Rocke [25] and Human et al. [26]). In this section, RL profiles of the proposed THWMA scheme are investigated when the process distribution is non-normal. For observing the process under non-normality of the process, we have considered (i) Student’s t-test ; The Student’s distribution becomes Leptokurtic at small values, but as increases, it becomes Meso-kurtic in nature; (ii) highly skewed gamma distribution G is ; the gamma distribution becomes highly skewed at the small values of , and as increases, gamma also approaches to normal distribution; (iii) logistic distribution is also taken into account due to its heavy-tailed nature in this study; and (iv) contaminated normal distribution (CN) to observe the behavior of the proposed scheme under outlier in the process. The CN is the combination of two normal distributions having similar location but different dispersions such that, . In CN, and amount of are taken as 5% and 10%, respectively. Abbas et al. [12] introduced percentage change measure to compute the strength of robustness of the chart, which can be expressed as
where is predefined, under normal distribution, and is ARL under non-normal distribution using the value of signaling coefficient against the attained value of the normal distribution. If the measure defined in (9) against any non-normal distribution produces (i) zero results, it indicates robust results against non-normality; (ii) a positive result, it shows more false alarm rate (FAR) at that particular distribution; and (iii) a negative result, it highlights the reduction in FAR. The robustness of the proposed THWMA scheme against non-normal environments is provided in Table 2 using various RL characteristics.
Table 2.
The in-control robustness behavior of the THWMA chart under zero-state for different choices of .
The proposed THWMA chart with design parameters and against gamma distribution at produces , and at , it yields (cf. Table 2). At , the proposed THWMA scheme produces 40.98% FAR, and with design parameters and . under G (0.5, 1), its FAR is 89.33%. The proposed THWMA design under , with large combinations of , produces small FAR, but at small choices, it yields high FAR. The robust performance of the proposed THWMA scheme against heavy-tailed logistic and CN environments are worst at all the combinations of design parameters; however, for valid comparisons, these can be adjusted.
3.2. Comparison of the Proposed THWMA Chart with Existing Competitors
So far, analysis of RL characteristics of the proposed scheme under normal and non-normal processes has been evaluated and discussed. In this section, we present comprehensive OOC comparisons of the proposed THWMA scheme with existing schemes, namely, EWMA chart, double EWMA (DEWMA) chart, HWMA chart, DHWMA chart, and TEWMA charts using ARL characteristics as the measure. Among charts, a chart with smaller at the specific shift in the process, is considered superior as compared to its competitors. Few relative comparisons are also made using percentage decreases in ARL , which can be expressed as
In a chart that produces a high value of at the specific shift in the process, a parameter is assumed as superior as compare to its competitor (s).
3.2.1. Proposed THWMA Chart versus EWMA Chart
The EWMA scheme was investigated to address small shifts in the process mean promptly by Roberts [2]. The time-varying version of the EWMA chart was presented by Steiner [27]. The RL profiles of the EWMA time-varying charting scheme are provided in Table 3 at various combinations of design parameters adjusting at .
Table 3.
The ARL profiles of the exponentially weighted moving average (EWMA) chart for different choices of at .
The proposed THWMA chart with and at yields , and EWMA scheme with and yields at the same shift (cf. Table 1 and Table 3). With parameters and at 5%, 10%, and 25% increase in the process mean, the proposed THWMA chart respectively gives , on the same shifts, while EWMA design produces respectively (cf. Table 1 and Table 3). A comparison between the proposed THWMA and EWMA schemes indicates that the proposed THWMA chart has a more efficient OOC performance than EWMA at all combinations of design parameters.
3.2.2. Proposed THWMA Chart versus DEWMA Chart
Shamma and Shamma [8] studied the DEWMA chart to enhance EWMA performance by utilizing sample information twice than the EWMA statistic. Zhang and Chen [28] derived time-varying limits for the DEWMA scheme and compared them with EWMA to monitor shifts in the process location. The RL characteristics of the DEWMA chart are provided in Table 4 at various combinations of and DEWMA chart with and at provides ; on similar shifts in the proposed THWMA chart with . and , it produces , respectively (cf. Table 1 and Table 4). At 5% increase in the process location, the THWMA charting structure with and declines in ARL 33.51%, and the DEWMA chart decreases in ARL 7.38%. DEWMA chart with and at 5%, 10%, and 25% process increase yields . The proposed THWMA scheme yields on the same shifts. The proposed THWMA chart has a higher ability than DEWMA in tracing small and moderate shifts in the process.
Table 4.
The ARL profiles of the double EWMA (DEWMA) chart for different choices of at .
3.2.3. Proposed THWMA Chart versus HWMA Chart
Recently, Abbas [4] designed an HWMA chart to identify small and medium shifts in the process mean efficiently. The RL profiles of the HWMA scheme are provided in Table 5 at various choices of design parameters. HWMA chart with and at yields . The proposed THWMA method on the same noises yields , respectively. It indicates that the proposed THWMA scheme at provides 174.575 sample numbers earlier alarm on average, as compared to the HWMA chart. After comparing Table 1 and Table 5, it is clear that the relative efficacy of the proposed THWMA chart is far better than the HWMA chart.
Table 5.
The ARL profiles of the homogenously weighted moving average (HWMA) chart for different choices of at .
3.2.4. Proposed THWMA Chart versus DHWMA Chart
Abid et al. [14] developed DHWMA charting procedure for tracing shifts in the process mean promptly. The RL results of the DHWMA chart are provided in Table 6 at the desired IC ARL of 370 for valid comparison with the proposed THWMA chart. From Table 1 and Table 6, it can be observed that the proposed THWMA chart has more efficacy in identifying small and moderate shifts than the DHWMA chart. For example, with and at 0.05 shift in the process mean, the proposed chart alarms after 246.025 sample observations on average, and DHWMA chart with same shift and smoothing parameter detects after 310.763 points on average (cf. Table 1 and Table 6). Similar behavior can be seen at all choices of design parameters and shifts in the mean.
Table 6.
The ARL profiles of the double HWMA (DHWMA) chart for different choices of at .
3.2.5. Proposed THWMA Chart versus TEWMA Chart
To trigger small shifts in the process location Alevizakos et al. [18] recently designed TEWMA charting scheme. The RL characteristics of the TEWMA charting structure at for different combinations of design parameters are provided in Table 7. After comparing the results of RL characteristics of the proposed THWMA chart and TEWMA chart, it is obvious that the proposed chart performs uniformly efficiently than the TEWMA chart.
Table 7.
The ARL profiles of the TEWMA chart for different choices of at .
3.2.6. Graphical Presentation
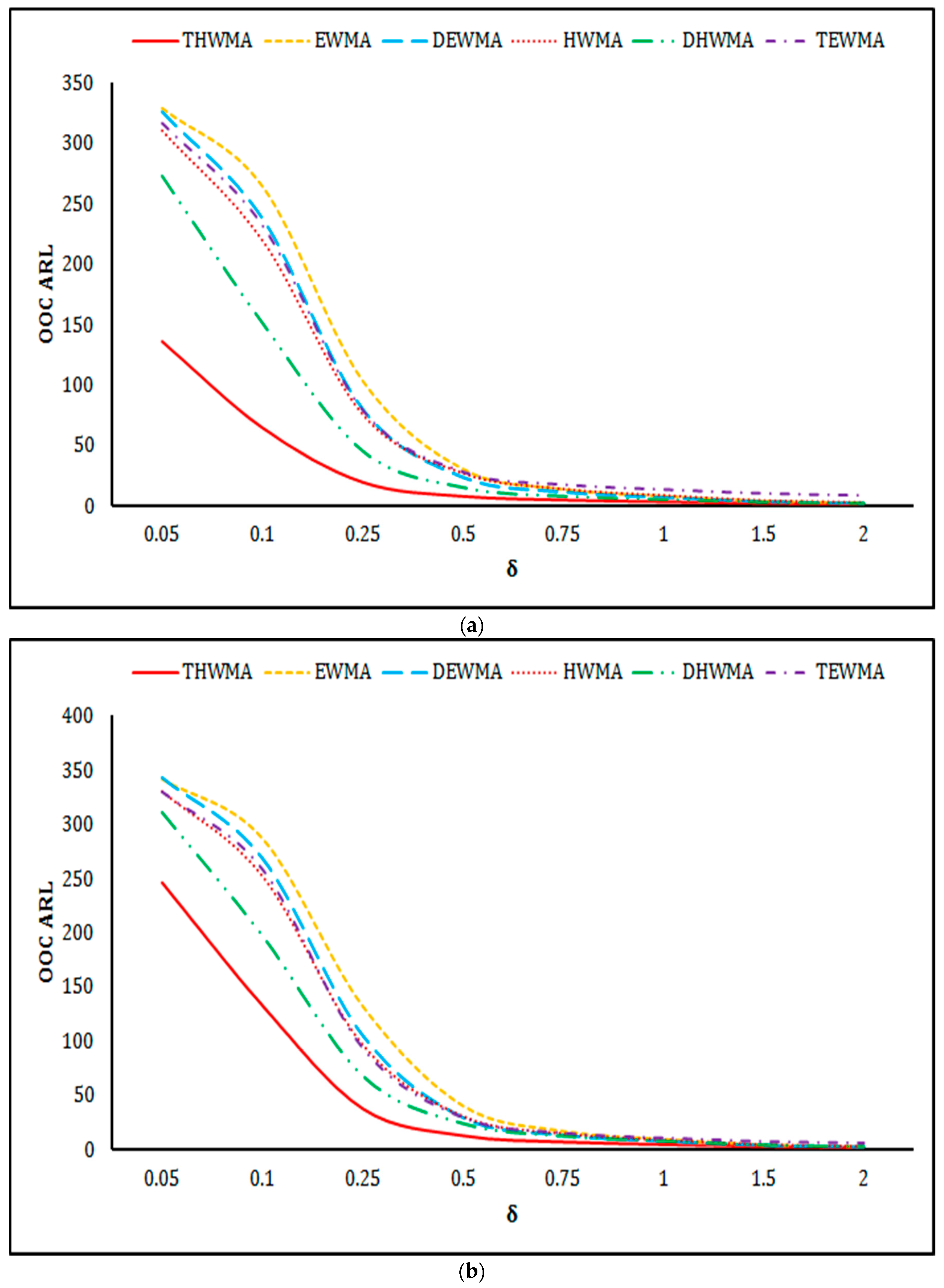
For assessment of the OOC performance between the proposed THWMA and existing charts, line graphs are provided at various combinations of design parameters between shifts and corresponding OOC ARL. A chart is considered superior if its OOC curve is on the lower side, corresponding to certain shifts as compared to competitors. All the curves of proposed and existing competitors are presented in Figure 2. From Figure 2, the performance of the proposed THWMA scheme can be found far better than all the competitors at small and median shifts in the process, particularly at small choices of design parameters. In small values of design parameters, the DHWMA chart is second in its performance and HWMA seems to be third, but as the smoothing parameter increases, TEWMA becomes the third efficient chart among all the competitors.

Figure 2.
The OOC ARL performance of the proposed and existing chart for (a) (b) (c) and (d) .
4. Application of the Proposed THWMA and Existing Charts
To apply the proposed THWMA scheme to a real dataset application, this section presents an illustration of the proposal with existing HWMA and DHWMA charts. The real dataset related to the industrial manufacturing process is adopted from Montgomery [3]. Silicon wafers are well-known as silicon chips or silicon slices. These are very thin slices of purest monocrystalline that are usually used in tablets, smartphones, laptops, computers, numerous home appliances, artificial intelligence, robotics, autonomous (self-driving cars), fabricated integrated circuits, transistors, solar cells, semiconductors, etc. The dataset related to the manufacturing of semiconductors is taken into account in this study from Montgomery [3] from which flow width of the resistance (FWR) is taken as a key quality characteristic. The manufacturing process is presented in Figure 3.
Figure 3.
A pictorial display of Silicon Wafer Manufacturing procedure.
The FWR has been measured using a subgroup size of 5 after every hour. The dataset consists of 45 sample numbers from which the first 25 samples are considered from the IC process, and the next 20 contain an upward shift. The estimated mean and standard deviation from the first 25 samples are 1.50562 and 0.139425, respectively. Based on these estimated parameters, control limits are set for monitoring the next 20sample observations.
For implementation purposes in this section, the proposed THWMA chart along with HWMA and DHWMA charts are considered. For HWMA scheme design parameters and , for DHWMA chart design parameters and , and for the proposed THWMA model design parameters and are taken into account at the desired IC for all the charts. The graphical presentations of the proposed and existing counterparts are presented in Figure 4, Figure 5 and Figure 6. The HWMA and DHWMA charts trace an upward trend at sample number 18 (cf. Figure 4 and Figure 5) and the proposed THWMA scheme triggers the shift at the 17th sample point (cf. Figure 6). This illustrative section narrates that the proposed THWMA chart has a higher detection ability than its competitors in identifying shifts.
Figure 4.
Real-life application of the HWMA chart for and .
Figure 5.
Real-life application of the DHWMA chart for and .
Figure 6.
Real-life application of the THWMA chart for and .
5. Concluding Remarks
To produce products at a large scale with high quality, the manufacturing industries are relying on heavy machinery. Variations exist in ongoing production and manufacturing processes. The variations that are an inherent part of every process are natural causes of variations, and the variations that deprive the process of the required quality of output are assumed as special causes of variations. SPM provides a toolkit for improving the processes by identifying special causes of variation from the ongoing process. The control charting schemes are the most famous and widely used SPM tool monitoring and improving the running processes. In this study, an advanced charting scheme, namely, the THWMA chart, has been proposed under zero and steady-state modes. The RL profiles of the proposed THWMA chart at various combinations of design parameters under both states are evaluated. The steady-state case was found superior as compared to zero-state, particularly at small choices of the smoothing parameter. The robustness against non-normal process distributions is also incorporated in this study for the proposed design for the heavy-tailed, symmetric, highly skewed, and contaminated normal distributions. It is found that at large choices of smoothing constant, non-normality assumption affects the IC performance of the proposed THWMA chart. The OOC performance of the proposed scheme is compared with many existing structures in literature and found to be superior for tracing small to medium shifts. An illustrative example related to the manufacturing process of silicon wafers is also provided to highlight the importance of the proposal.
The proposal can be extended for monitoring variability, joint monitoring, and profile monitoring under univariate and multivariate structures using various sampling techniques.
Author Contributions
Conceptualization, Z.A., M.R., and H.Z.N.; methodology, Z.A., H.Z.N., and M.A.; software, Z.A. and M.A.; supervision, M.R. and H.Z.N.; visualization, M.R. and Z.A.; writing—original draft preparation, Z.A.; writing—review and editing, M.R. and Z.A. All authors have read and agreed to the published version of the manuscript.
Funding
Deanship of Scientific Research (DSR) at the King Fahd University of Petroleum and Minerals (KFUPM) under Project Number SB191030” (Muhammad Riaz).
Institutional Review Board Statement
Not applicable.
Informed Consent Statement
Not applicable.
Data Availability Statement
Not applicable.
Acknowledgments
This study is supported by the Deanship of Scientific Research (DSR) at the King Fahd University of Petroleum and Minerals (KFUPM) under Project Number SB191030. The authors are grateful in anticipation to the editor and referees for their valuable time and efforts on our manuscript.
Conflicts of Interest
The author(s) declare no potential conflicts of interest with respect to the research, authorship and/or publication of this article.
Appendix A
Appendix A.1
Suppose the quality characteristic ; and is taken from the normal distribution with known mean and standard deviation .
For the stable process and
Appendix A.2
For the stable process and
Now, we find the covariance term between and , i.e.,
Hence, .
Appendix B
Appendix B.1
Appendix B.2
Appendix C
Appendix C.1
Appendix C.2
Appendix D
Appendix D.1
The mean of the statistic for a stable process is derived as
Appendix D.2
References
- Page, E.S. Continuous inspection schemes. Biometrika 1954, 41, 100–115. [Google Scholar] [CrossRef]
- Roberts, S. Control chart tests based on geometric moving averages. Technometrics 1959, 42, 239–250. [Google Scholar] [CrossRef]
- Montgomery, D.C. Introduction to Statistical Quality Control, 7th ed.; John Wiley & Sons: New York, NY, USA, 2012. [Google Scholar]
- Abbas, N. Homogeneously weighted moving average control chart with an application in substrate manufacturing process. Comput. Ind. Eng. 2018, 120, 460–470. [Google Scholar] [CrossRef]
- Lucas, J.M. Combined Shewhart-CUSUM quality control schemes. J. Qual. Technol. 1982, 14, 51–59. [Google Scholar] [CrossRef]
- Lucas, J.M.; Saccucci, M.S. Exponentially weighted moving average control schemes: Properties and enhancements. Technometrics 1990, 32, 1–12. [Google Scholar] [CrossRef]
- Runger, G.C.; Montgomery, D.C. Adaptive sampling enhancements for Shewhart control charts. IIE Trans. 1993, 25, 41–51. [Google Scholar] [CrossRef]
- Shamma, S.E.; Shamma, A.K. Development and evaluation of control charts using double exponentially weighted moving averages. Int. J. Qual. Reliab. Manag. 1992, 9, 18–25. [Google Scholar] [CrossRef]
- Abbas, N.; Riaz, M.; Does, R.J. Mixed exponentially weighted moving average–cumulative sum charts for process monitoring. Qual. Reliab. Eng. Int. 2013, 29, 345–356. [Google Scholar] [CrossRef]
- Zaman, B.; Riaz, M.; Abbas, N.; Does, R.J. Mixed cumulative sum–exponentially weighted moving average control charts: An efficient way of monitoring process location. Qual. Reliab. Eng. Int. 2015, 31, 1407–1421. [Google Scholar] [CrossRef]
- Abbas, Z.; Nazir, H.Z.; Akhtar, N.; Riaz, M.; Abid, M. An enhanced approach for the progressive mean control charts. Qual. Reliab. Eng. Int. 2019, 35, 1046–1060. [Google Scholar] [CrossRef]
- Abbas, Z.; Nazir, H.Z.; Akhtar, N.; Riaz, M.; Abid, M. On developing an exponentially weighted moving average chart under progressive setup: An efficient approach to manufacturing processes. Qual. Reliab. Eng. Int. 2020, 36, 2569–2591. [Google Scholar] [CrossRef]
- Riaz, M.; Abbas, Z.; Nazir, H.Z.; Akhtar, N.; Abid, M. On Designing a Progressive EWMA Structure for an Efficient Monitoring of Silicate Enactment in Hard Bake Processes. Arab. J. Sci. Eng. 2020. [Google Scholar] [CrossRef]
- Abid, M.; Shabbir, A.; Nazir, H.Z.; Sherwani, R.A.K.; Riaz, M. A double homogeneously weighted moving average control chart for monitoring of the process mean. Qual. Reliab. Eng. Int. 2020, 36, 1513–1527. [Google Scholar] [CrossRef]
- Raza, M.A.; Nawaz, T.; Han, D. On Designing Distribution-Free Homogeneously Weighted Moving Average Control Charts. J. Test. Eval. 2020, 48, 3154–3171. [Google Scholar] [CrossRef]
- Aslam, M.; Rao, G.S.; Al-Marshadi, A.H.; Jun, C.-H. A Nonparametric HEWMA-p Control chart for variance in monitoring processes. Symmetry 2019, 11, 356. [Google Scholar] [CrossRef]
- Chen, J.-H.; Lu, S.-L. A New Sum of Squares Exponentially Weighted Moving Average Control Chart Using Auxiliary Information. Symmetry 2020, 12, 1888. [Google Scholar] [CrossRef]
- Alevizakos, V.; Chatterjee, K.; Koukouvinos, C. The triple exponentially weighted moving average control chart. Qual. Technol. Quant. Manag. 2020. [Google Scholar] [CrossRef]
- Shewhart, W.A. Quality control charts. Bell Syst. Tech. J. 1926, 5, 593–603. [Google Scholar] [CrossRef]
- Abbasi, S.A. On the performance of EWMA chart in the presence of two-component measurement error. Qual. Eng. 2010, 22, 199–213. [Google Scholar] [CrossRef]
- Hussain, S.; Mei, S.; Riaz, M.; Abbasi, S.A. On Phase-I Monitoring of Process Location Parameter with Auxiliary Information-Based Median Control Charts. Mathematics 2020, 8, 706. [Google Scholar] [CrossRef]
- Graham, M.A.; Chakraborti, S.; Human, S.W. A nonparametric EWMA sign chart for location based on individual measurements. Qual. Eng. 2011, 23, 227–241. [Google Scholar] [CrossRef]
- Abbas, Z.; Nazir, H.Z.; Akhtar, N.; Abid, M.; Riaz, M. On designing an efficient control chart to monitor fraction nonconforming. Qual. Reliab. Eng. Int. 2020, 36, 547–564. [Google Scholar] [CrossRef]
- Radson, D.; Boyd, A.H. Graphical representation of run length distributions. Qual. Eng. 2005, 17, 301–308. [Google Scholar] [CrossRef]
- Rocke, D.M. Robust control charts. Technometrics 1989, 31, 173–184. [Google Scholar] [CrossRef]
- Human, S.W.; Kritzinger, P.; Chakraborti, S. Robustness of the EWMA control chart for individual observations. J. Appl. Stat. 2011, 38, 2071–2087. [Google Scholar] [CrossRef]
- Steiner, S.H. EWMA control charts with time-varying control limits and fast initial response. J. Qual. Technol. 1999, 31, 75–86. [Google Scholar] [CrossRef]
- Zhang, L.; Chen, G. An extended EWMA mean chart. Qual. Technol. Quant. Manag. 2005, 2, 39–52. [Google Scholar] [CrossRef]
Publisher’s Note: MDPI stays neutral with regard to jurisdictional claims in published maps and institutional affiliations. |
© 2021 by the authors. Licensee MDPI, Basel, Switzerland. This article is an open access article distributed under the terms and conditions of the Creative Commons Attribution (CC BY) license (http://creativecommons.org/licenses/by/4.0/).







