Analysis of Free Vibration Characteristics of Cylindrical Shells with Finite Submerged Depth Based on Energy Variational Principle
Abstract
:1. Introduction
2. Theoretical Analysis
2.1. Shell Kinetic Energy and Potential Energy
2.2. Fluid–Structure Coupling Condition
3. Validation of the Theoretical Method
3.1. Convergence of the Theoretical Method
3.2. Accuracy of the Theoretical Method
4. Numerical Examples and Discussion
4.1. Influence of Free Liquid Surface on Free Vibration Characteristics
4.2. The Influence of Shell Parameters on Free Vibration Characteristics
5. Conclusions
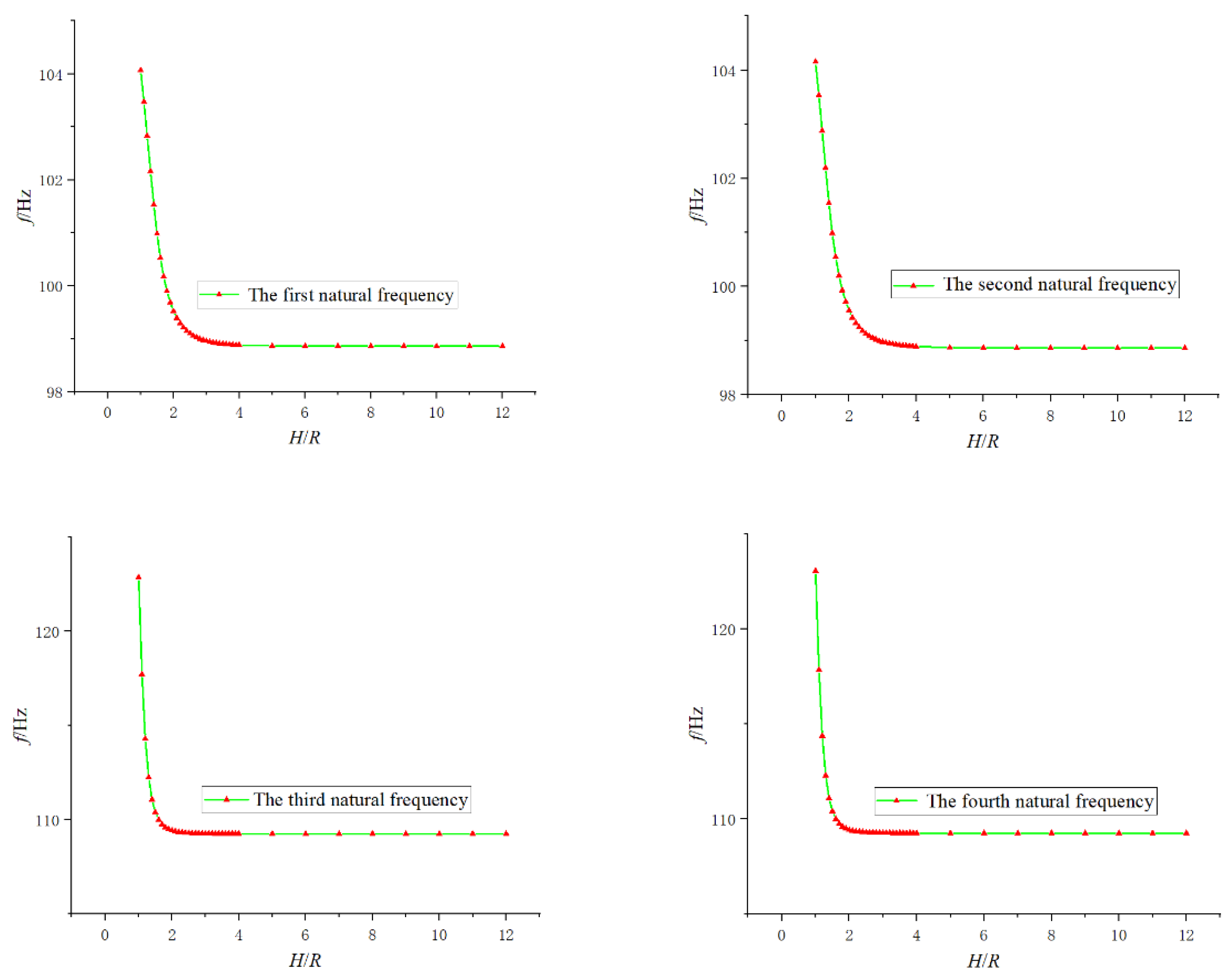
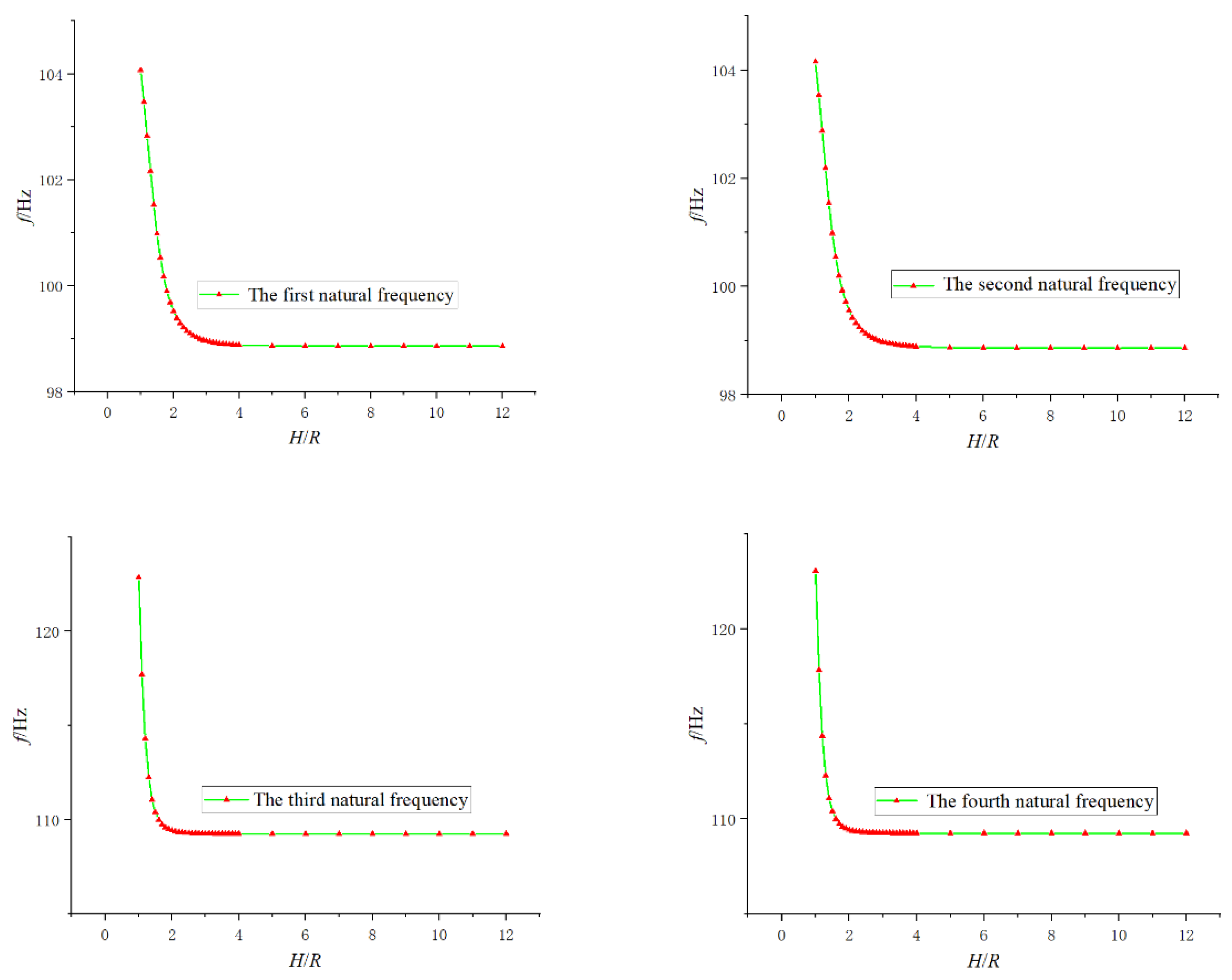
- The existence of the free liquid surface will increase the natural frequency of the shell in the same order mode, and the smaller the immersion depth, that is, the closer the shell is to the free liquid surface, the more obvious the increase in natural frequency.
- When considering the influence of the free liquid surface, due to the destruction of symmetry, there is a clear difference between the shell mode shape and the result in infinite domain. On the one hand, the circumferential waves are coupled, and the shell vibration shape is no longer regular; on the other hand, the natural frequency of the shell’s positive and negative modes is different.
- The influence of free liquid on the shell will quickly diminish as the immersion depth increases. Additionally, when the immersion depth is four times or more than the radius of the shell structure, the influence of the free liquid surface can be ignored.
Author Contributions
Funding
Data Availability Statement
Acknowledgments
Conflicts of Interest
References
- Junger, M.C.; It, D.F. Sound, Structures, and Their Interaction; MIT Press: Cambridge, MA, USA, 1972. [Google Scholar]
- Sandman, B.E. Fluid-loading influence coefficients for a finite cylindrical shell. J. Acoust. Soc. Am. 1976, 60, 1256–1264. [Google Scholar] [CrossRef]
- Stepanishen, P.R. Modal coupling in the vibration of fluid-loaded cylindrical shells. J. Acoust. Soc. Am. 1982, 71, 813–823. [Google Scholar] [CrossRef]
- Scott, J. The free modes of propagation of an infinite fluid-loaded thin cylindrical shell. J. Sound Vib. 1988, 125, 241–280. [Google Scholar] [CrossRef]
- Photiadis, D.M. The propagation of axisymmetric waves on a fluid-loaded cylindrical shell. J. Acoust. Soc. Am. 1990, 88, 239. [Google Scholar] [CrossRef]
- Felsen, L.B.; Ho, J.M.; Lu, I.T. Three-dimensional Green’s function for fluid-loaded thin elastic cylindrical shell: Alternative representations and ray acoustic forms. J. Acoust. Soc. Am. 1991, 87, 554–569. [Google Scholar] [CrossRef]
- Everstine, G. Prediction of low-frequency vibrational frequencies of submerged structures. J. Vib. Acoust. Trans. ASME 1991, 113, 187–191. [Google Scholar] [CrossRef]
- Yamaki, N.; Tani, J.; Yamaji, T. Free vibration of a clamped-clamped circular cylindrical shell partially filled with liquid. J. Sound Vib. 1984, 94, 531–550. [Google Scholar]
- Kwak, M.K. Free vibration analysis of a finite circular cylindrical shell in contact with unbounded external fluid. J. Fluids Struct. 2010, 26, 377–392. [Google Scholar] [CrossRef]
- Peters, H.; Kessissoglou, N.; Marburg, S. Modal decomposition of exterior acoustic-structure interaction. J. Acoust. Soc. Am. 2013, 133, 2668–2677. [Google Scholar] [CrossRef] [PubMed]
- Everstine, G.C. Coupled finite element/boundary element approach for fluid-structure interaction. J. Acoust. Soc. Am. 1998, 87, 1938–1947. [Google Scholar] [CrossRef]
- Jeans, R.A. Solution of fluid–structure interaction problems using a coupled finite element and variational boundary element technique. J. Acoust. Soc. Am. 1990, 88, 2459–2466. [Google Scholar] [CrossRef]
- Mackerle, M. Fluid–structure interaction problems, finite element and boundary element approaches A bibliography (1995–1998). Finite Elem. Anal. Des. 1999, 31, 231–240. [Google Scholar] [CrossRef]
- Brunner, D.; Junge, M.; Gaul, L. A comparison of FE–BE coupling schemes for large-scale problems with fluid–structure interaction. Int. J. Numer. Methods Eng. 2009, 77, 664–688. [Google Scholar] [CrossRef]
- Soenarko, B. A boundary element formulation for radiation of acoustic waves from axisymmetric bodies with arbitrary boundary conditions. J. Acoust. Soc. Am. 1993, 93, 631–639. [Google Scholar] [CrossRef]
- Wang, W. A boundary integral approach for acoustic radiation of axisymmetric bodies with arbitrary boundary conditions valid for all wave numbers. J. Acoust. Soc. Am. 1995, 98, 1468. [Google Scholar] [CrossRef]
- Wright, L.; Robinson, S.P.; Humphrey, V.F. Prediction of acoustic radiation from axisymmetric surfaces with arbitrary boundary conditions using the boundary element method on a distributed computing system. J. Acoust. Soc. Am. 2009, 125, 1374–1383. [Google Scholar] [CrossRef] [PubMed]
- Li, T.Y.; Xiong, L.; Zhu, X.; Xiong, Y.P.; Zhang, G.J. The prediction of the elastic critical load of submerged elliptical cylindrical shell based on the vibro-acoustic model. Thin-Walled Struct. 2014, 84, 255–262. [Google Scholar] [CrossRef]
- Caresta, M.; Kessissoglou, N.J. Vibration of fluid loaded conical shells. J. Acoust. Soc. Am. 2008, 124, 2068. [Google Scholar] [CrossRef] [PubMed]
- Caresta, M.; Kessissoglou, N.J. Acoustic signature of a submarine hull under harmonic excitation. Appl. Acoust. 2010, 71, 17–31. [Google Scholar] [CrossRef]
- Qu, Y.; Hua, H.; Meng, G. Vibro-acoustic analysis of coupled spherical–cylindrical–spherical shells stiffened by ring and stringer reinforcements. J. Sound Vib. 2015, 355, 345–359. [Google Scholar] [CrossRef]
- Jin, G.; Ma, X.; Wang, W.; Liu, Z. An energy-based formulation for vibro-acoustic analysis of submerged submarine hull structures. Ocean. Eng. 2018, 164, 402–413. [Google Scholar] [CrossRef]
- Wang, X.; Guo, W. Dynamic modeling and vibration characteristics analysis of submerged stiffened combined shells. Ocean. Eng. 2016, 127, 226–235. [Google Scholar] [CrossRef]
- Xie, K.; Chen, M.; Zhang, L.; Li, W.; Dong, W. A unified semi-analytic method for vibro-acoustic analysis of submerged shells of revolution. Ocean. Eng. 2019, 189, 106345. [Google Scholar] [CrossRef]
- Rudnick, I. The propagation of an acoustic wave along a boundary. J. Acoust. Soc. Am. 1947, 19, 348–356. [Google Scholar] [CrossRef]
- Ingard, U. Effect of a Reflecting Plane on the Power Output of Sound Sources. J. Acoust. Soc. Am. 1957, 29, 743–744. [Google Scholar] [CrossRef]
- Mcleroy, E.G. Ray Analysis of Low-Frequency Sound Propagation in Shallow Water. J. Acoust. Soc. Am. 1959, 31, 131. [Google Scholar] [CrossRef]
- Zhou, Q.; Joseph, P.F. A numerical method for the calculation of dynamic response and acoustic radiation from an underwater structure. J. Sound Vib. 2005, 283, 853–873. [Google Scholar] [CrossRef]
- Junge, M.; Brunner, D.; Becker, J.; Gaul, L. Interface-reduction for the Craig–Bampton and Rubin method applied to FE–BE coupling with a large fluid–structure interface. Int. J. Numer. Methods Eng. 2009, 77, 1731–1752. [Google Scholar] [CrossRef]
- Ergin, A.; Price, W.G.; Randall, R.; Temarel, P. Dynamic characteristics of a submerged, flexible cylinder vibrating in finite water depths. J. Ship Res. 1992, 36, 154–167. [Google Scholar] [CrossRef]
- Li, T.Y.; Miao, Y.Y.; Ye, W.B.; Zhu, X.; Zhu, X.M. Far-field sound radiation of a submerged cylindrical shell at finite depth from the free surface. J. Acoust. Soc. Am. 2014, 136, 1054. [Google Scholar] [CrossRef]
- Wang, P.; Li, T.Y.; Zhu, X.; Guo, W. An Analytical Solution for Free Flexural Vibration of a Thin Cylindrical Shell Submerged in Acoustic Half-Space Bounded by a Free Surface. Int. J. Struct. Stab. Dyn. 2018, 18, 1850042. [Google Scholar] [CrossRef]
- Guo, W.; Li, T.; Xiang, Z. Far-field acoustic radiation and vibration of a submerged finite cylindrical shell below the free surface based on energy functional variation principle and stationary phase method. Noise Control. Eng. J. 2017, 65, 565–576. [Google Scholar] [CrossRef]
- Guo, W.; Li, T.; Zhu, X.; Miao, Y.; Zhang, G. Vibration and acoustic radiation of a finite cylindrical shell submerged at finite depth from the free surface. J. Sound Vib. 2017, 393, 338–352. [Google Scholar] [CrossRef]
- Lam, K.Y.; Loy, C.T. Effects of boundary conditions on frequencies of a multi-layered cylindrical shell. J. Sound Vib. 1995, 188, 363–384. [Google Scholar] [CrossRef]
- Leissa, A.W.; Nordgren, R.P. Vibration of Shells. J. Appl. Mech. 1993, 41, 544. [Google Scholar] [CrossRef] [Green Version]





| Length | L | 1.284 m | |
| Shell Geometry | Mean radius | R | 0.18 m |
| Thickness | h | 0.003 m | |
| Shell Material | Density | ρ | 7850 kg/m3 |
| Poisson’s ratio | μ | 0.3 | |
| Elastic modulus | E | 2.06 × 1011 Pa | |
| Fluid | Density | ρf | 1025 kg/m3 |
| Order | N = 4 | N = 6 | N = 8 | N = 10 | N = 12 | N = 14 |
|---|---|---|---|---|---|---|
| 1 | 103.41 | 103.40 | 103.40 | 103.40 | 103.40 | 103.40 |
| 2 | 103.47 | 103.47 | 103.47 | 103.47 | 103.47 | 103.47 |
| 3 | 117.55 | 117.29 | 117.26 | 117.26 | 117.26 | 117.26 |
| 4 | 117.68 | 117.41 | 117.39 | 117.38 | 117.38 | 117.38 |
| 5 | 210.36 | 209.69 | 209.60 | 209.59 | 209.59 | 209.59 |
| 6 | 210.43 | 209.76 | 209.67 | 209.65 | 209.65 | 209.65 |
| 7 | 223.95 | 223.77 | 223.76 | 223.76 | 223.76 | 223.76 |
| 8 | 224.04 | 223.86 | 223.85 | 223.85 | 223.85 | 223.85 |
| 9 | 251.61 | 250.63 | 250.51 | 250.50 | 250.50 | 250.50 |
| 10 | 251.62 | 250.64 | 250.53 | 250.51 | 250.51 | 250.51 |
| Mode | H = 0.21 m | H = 0.45 m | Infinite Domain | ||||||
|---|---|---|---|---|---|---|---|---|---|
| Present | FEM | Δ | Present | FEM | Δ | Present | FEM | Δ | |
| 1 | 103.05 | 103.12 | 0.07 | 99.10 | 99.09 | 0.01 | 98.86 | 98.83 | 0.03 |
| 2 | 103.11 | 103.14 | 0.03 | 99.13 | 99.11 | 0.02 | 98.86 | 98.84 | 0.02 |
| 3 | 115.26 | 115.71 | 0.39 | 109.30 | 109.87 | 0.52 | 109.26 | 109.83 | 0.52 |
| 4 | 115.36 | 115.77 | 0.35 | 109.30 | 109.87 | 0.52 | 109.26 | 109.83 | 0.52 |
| 5 | 207.40 | 209.30 | 0.91 | 202.46 | 204.45 | 0.97 | 202.45 | 204.44 | 0.97 |
| 6 | 207.43 | 209.33 | 0.91 | 202.46 | 204.45 | 0.97 | 202.45 | 204.44 | 0.97 |
| 7 | 222.65 | 223.83 | 0.53 | 217.02 | 218.16 | 0.52 | 216.98 | 218.10 | 0.51 |
| 8 | 222.74 | 223.90 | 0.52 | 217.03 | 218.16 | 0.52 | 216.98 | 218.11 | 0.52 |
| 9 | 247.66 | 249.60 | 0.78 | 241.57 | 243.63 | 0.85 | 241.56 | 243.62 | 0.85 |
| 10 | 247.68 | 249.61 | 0.77 | 241.57 | 243.64 | 0.85 | 241.56 | 243.63 | 0.85 |
| Order | H/R = 1 | H/R = 2 | H/R = 3 | H/R = 4 | H/R = 5 |
|---|---|---|---|---|---|
| 1 | 5.27 | 0.67 | 0.10 | 0.02 | 0.01 |
| 2 | 5.25 | 0.70 | 0.12 | 0.03 | 0.01 |
| 3 | 12.46 | 0.15 | 0.01 | 0.00 | 0.00 |
| 4 | 12.63 | 0.15 | 0.01 | 0.00 | 0.00 |
| 5 | 7.09 | 0.03 | 0.00 | 0.00 | 0.00 |
| 6 | 7.21 | 0.03 | 0.00 | 0.00 | 0.00 |
| 7 | 4.11 | 0.10 | 0.00 | 0.00 | 0.00 |
| 8 | 4.15 | 0.11 | 0.00 | 0.00 | 0.00 |
| 9 | 7.32 | 0.03 | 0.00 | 0.00 | 0.00 |
| 10 | 7.35 | 0.03 | 0.00 | 0.00 | 0.00 |
| Order | L/R = 5 | L/R = 10 | L/R = 15 | L/R = 20 |
|---|---|---|---|---|
| 1 | 0.00 | 0.04 | 0.05 | 0.03 |
| 2 | 0.01 | 0.04 | 0.05 | 0.03 |
| 3 | 0.01 | 0.00 | 0.05 | 0.00 |
| 4 | 0.01 | 0.00 | 0.05 | 0.00 |
Publisher’s Note: MDPI stays neutral with regard to jurisdictional claims in published maps and institutional affiliations. |
© 2021 by the authors. Licensee MDPI, Basel, Switzerland. This article is an open access article distributed under the terms and conditions of the Creative Commons Attribution (CC BY) license (https://creativecommons.org/licenses/by/4.0/).
Share and Cite
Nie, R.; Li, T.; Zhu, X.; Zhang, C. Analysis of Free Vibration Characteristics of Cylindrical Shells with Finite Submerged Depth Based on Energy Variational Principle. Symmetry 2021, 13, 2162. https://doi.org/10.3390/sym13112162
Nie R, Li T, Zhu X, Zhang C. Analysis of Free Vibration Characteristics of Cylindrical Shells with Finite Submerged Depth Based on Energy Variational Principle. Symmetry. 2021; 13(11):2162. https://doi.org/10.3390/sym13112162
Chicago/Turabian StyleNie, Rui, Tianyun Li, Xiang Zhu, and Cheng Zhang. 2021. "Analysis of Free Vibration Characteristics of Cylindrical Shells with Finite Submerged Depth Based on Energy Variational Principle" Symmetry 13, no. 11: 2162. https://doi.org/10.3390/sym13112162
APA StyleNie, R., Li, T., Zhu, X., & Zhang, C. (2021). Analysis of Free Vibration Characteristics of Cylindrical Shells with Finite Submerged Depth Based on Energy Variational Principle. Symmetry, 13(11), 2162. https://doi.org/10.3390/sym13112162

