Singularity-Free and Cosmologically Viable Born-Infeld Gravity with Scalar Matter
Abstract
:1. Introduction
2. Eddington-Inspired Born-Infeld Gravity
2.1. Action and Basic Field Equations
2.2. EiBI Cosmology with Scalar Fields
3. Massless Scalar Fields
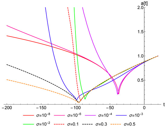
4. Massive Scalar Field
5. Observational Constraints
5.1. BBN
5.2. Direct Measurements of the Hubble Expansion
5.3. Standard Candles
5.4. Baryon Acoustic Oscillations
5.5. CMB Distant Priors
5.6. Direct Detection of the Hubble Parameter
5.7. Joint Analysis and Model Selection
6. Conclusions and Discussion
Author Contributions
Funding
Acknowledgments
Conflicts of Interest
References
- Amendola, L. Cosmology and fundamental physics with the Euclid satellite. Living Rev. Relativ. 2013, 16, 6. [Google Scholar] [CrossRef] [Green Version]
- Aghanim, N. Planck 2018 results. VI. Cosmological parameters. Astron. Astrophys. 2020, 641, A6. [Google Scholar] [CrossRef] [Green Version]
- Starobinsky, A.A. Spectrum of relict gravitational radiation and the early state of the universe. JETP Lett. 1979, 30, 682–685. [Google Scholar]
- Starobinsky, A.A. A New Type of Isotropic Cosmological Models Without Singularity. Phys. Lett. 1980, 91B, 99–102. [Google Scholar] [CrossRef]
- Guth, A.H. The Inflationary Universe: A Possible Solution to the Horizon and Flatness Problems. Phys. Rev. 1981, D23, 347–356. [Google Scholar] [CrossRef] [Green Version]
- Albrecht, A.; Steinhardt, P.J. Cosmology for Grand Unified Theories with Radiatively Induced Symmetry Breaking. Phys. Rev. Lett. 1982, 48, 1220–1223. [Google Scholar] [CrossRef]
- Mukhanov, V.F.; Chibisov, G.V. Quantum Fluctuations and a Nonsingular Universe. JETP Lett. 1981, 33, 532–535. [Google Scholar]
- Guth, A.H.; Pi, S.Y. Fluctuations in the New Inflationary Universe. Phys. Rev. Lett. 1982, 49, 1110–1113. [Google Scholar] [CrossRef]
- Linde, A.D. A New Inflationary Universe Scenario: A Possible Solution of the Horizon, Flatness, Homogeneity, Isotropy and Primordial Monopole Problems. Phys. Lett. 1982, 108B, 389–393. [Google Scholar] [CrossRef]
- Barrow, J.D.; Cotsakis, S. Inflation and the Conformal Structure of Higher Order Gravity Theories. Phys. Lett. 1988, B214, 515–518. [Google Scholar] [CrossRef]
- Barrow, J.D. The Premature Recollapse Problem in Closed Inflationary Universes. Nucl. Phys. B 1988, 296, 697–709. [Google Scholar] [CrossRef]
- Elizalde, E.; Nojiri, S.; Odintsov, S.D.; Saez-Gomez, D.; Faraoni, V. Reconstructing the universe history, from inflation to acceleration, with phantom and canonical scalar fields. Phys. Rev. D 2008, 77, 106005. [Google Scholar] [CrossRef] [Green Version]
- Ratra, B.; Peebles, P.J.E. Cosmological Consequences of a Rolling Homogeneous Scalar Field. Phys. Rev. 1988, D37, 3406. [Google Scholar] [CrossRef] [PubMed]
- Caldwell, R.R.; Dave, R.; Steinhardt, P.J. Cosmological imprint of an energy component with general equation of state. Phys. Rev. Lett. 1998, 80, 1582–1585. [Google Scholar] [CrossRef] [Green Version]
- Kehayias, J.; Scherrer, R.J. New generic evolution for k-essence dark energy with w ≈ −1. Phys. Rev. 2019, D100, 023525. [Google Scholar] [CrossRef] [Green Version]
- Oikonomou, V.K.; Chatzarakis, N. The Phase Space of k-Essence f(R) Gravity Theory. Nucl. Phys. 2020, B956, 115023. [Google Scholar] [CrossRef]
- Chakraborty, A.; Ghosh, A.; Banerjee, N. Dynamical systems analysis of a k -essence model. Phys. Rev. 2019, D99, 103513. [Google Scholar] [CrossRef] [Green Version]
- Babichev, E.; Ramazanov, S.; Vikman, A. Recovering P(X) from a canonical complex field. arXiv 2018, arXiv:1807.10281. [Google Scholar] [CrossRef] [Green Version]
- Zlatev, I.; Wang, L.M.; Steinhardt, P.J. Quintessence, cosmic coincidence, and the cosmological constant. Phys. Rev. Lett. 1999, 82, 896–899. [Google Scholar] [CrossRef] [Green Version]
- Caldwell, R.R. A Phantom menace? Phys. Lett. 2002, B545, 23–29. [Google Scholar] [CrossRef] [Green Version]
- Chiba, T.; Okabe, T.; Yamaguchi, M. Kinetically driven quintessence. Phys. Rev. 2000, D62, 023511. [Google Scholar] [CrossRef] [Green Version]
- Bento, M.C.; Bertolami, O.; Sen, A.A. Generalized Chaplygin gas, accelerated expansion and dark energy matter unification. Phys. Rev. 2002, D66, 043507. [Google Scholar] [CrossRef] [Green Version]
- Tsujikawa, S. Quintessence: A Review. Class. Quant. Grav. 2013, 30, 214003. [Google Scholar] [CrossRef] [Green Version]
- Hu, W.; Barkana, R.; Gruzinov, A. Cold and fuzzy dark matter. Phys. Rev. Lett. 2000, 85, 1158–1161. [Google Scholar] [CrossRef] [PubMed] [Green Version]
- Anagnostopoulos, F.K.; Benisty, D.; Basilakos, S.; Guendelman, E.I. Dark energy and dark matter unification from dynamical space time: Observational constraints and cosmological implications. JCAP 2019, 1906, 003. [Google Scholar] [CrossRef] [Green Version]
- Benisty, D.; Guendelman, E.; Haba, Z. Unification of dark energy and dark matter from diffusive cosmology. Phys. Rev. 2019, D99, 123521. [Google Scholar] [CrossRef] [Green Version]
- Benisty, D.; Guendelman, E.I. Unified dark energy and dark matter from dynamical spacetime. Phys. Rev. 2018, D98, 023506. [Google Scholar] [CrossRef] [Green Version]
- Benisty, D.; Guendelman, E.I. Interacting Diffusive Unified Dark Energy and Dark Matter from Scalar Fields. Eur. Phys. J. 2017, C77, 396. [Google Scholar] [CrossRef] [Green Version]
- Senovilla, J.M.M.; Garfinkle, D. The 1965 Penrose singularity theorem. Class. Quant. Grav. 2015, 32, 124008. [Google Scholar] [CrossRef] [Green Version]
- De Felice, A.; Tsujikawa, S. f(R) theories. Living Rev. Relativ. 2010, 13, 3. [Google Scholar] [CrossRef] [PubMed] [Green Version]
- Capozziello, S.; De Laurentis, M. Extended Theories of Gravity. Phys. Rep. 2011, 509, 167–321. [Google Scholar] [CrossRef] [Green Version]
- Nojiri, S.; Odintsov, S.D.; Oikonomou, V.K. Modified Gravity Theories on a Nutshell: Inflation, Bounce and Late-time Evolution. Phys. Rep. 2017, 692, 1–104. [Google Scholar] [CrossRef] [Green Version]
- Heisenberg, L. A systematic approach to generalisations of General Relativity and their cosmological implications. Phys. Rep. 2019, 796, 1–113. [Google Scholar] [CrossRef] [Green Version]
- Bull, P. Beyond LambdaCDM: Problems, solutions, and the road ahead. Phys. Dark Univ. 2016, 12, 56–99. [Google Scholar] [CrossRef] [Green Version]
- Banados, M.; Ferreira, P.G. Eddington’s theory of gravity and its progeny. Phys. Rev. Lett. 2010, 105, 011101. [Google Scholar] [CrossRef] [Green Version]
- Alishahiha, M.; Silverstein, E.; Tong, D. DBI in the sky. Phys. Rev. D 2004, 70, 123505. [Google Scholar] [CrossRef] [Green Version]
- Liu, Y.X.; Yang, K.; Guo, H.; Zhong, Y. Domain Wall Brane in Eddington Inspired Born-Infeld Gravity. Phys. Rev. D 2012, 85, 124053. [Google Scholar] [CrossRef] [Green Version]
- Choudhury, S.; Pal, S. DBI Galileon inflation in background SUGRA. Nucl. Phys. B 2013, 874, 85–114. [Google Scholar] [CrossRef] [Green Version]
- Choudhury, S.; Pal, S. Primordial non-Gaussian features from DBI Galileon inflation. Eur. Phys. J. C 2015, 75, 241. [Google Scholar] [CrossRef] [Green Version]
- Harko, T.; Lobo, F.S.N.; Mak, M.K.; Sushkov, S.V. Structure of neutron, quark and exotic stars in Eddington-inspired Born-Infeld gravity. Phys. Rev. D 2013, 88, 044032. [Google Scholar] [CrossRef] [Green Version]
- Wei, S.W.; Yang, K.; Liu, Y.X. Black hole solution and strong gravitational lensing in Eddington-inspired BorntextendashInfeld gravity. Eur. Phys. J. C 2015, 75, 253. [Google Scholar] [CrossRef] [Green Version]
- Shaikh, R. Lorentzian wormholes in Eddington-inspired Born-Infeld gravity. Phys. Rev. D 2015, 92, 024015. [Google Scholar] [CrossRef] [Green Version]
- Avelino, P.P. Inner Structure of Black Holes in Eddington-inspired Born-Infeld gravity: The role of mass inflation. Phys. Rev. D 2016, 93, 044067. [Google Scholar] [CrossRef] [Green Version]
- Prasetyo, I.; Husin, I.; Qauli, A.I.; Ramadhan, H.S.; Sulaksono, A. Neutron stars in the braneworld within the Eddington-inspired Born-Infeld gravity. JCAP 2018, 01, 027. [Google Scholar] [CrossRef] [Green Version]
- Chen, C.Y.; Bouhmadi-L’opez, M.; Chen, P. Black hole solutions in mimetic Born-Infeld gravity. Eur. Phys. J. C 2018, 78, 59. [Google Scholar] [CrossRef]
- Shaikh, R. Wormholes with nonexotic matter in Born-Infeld gravity. Phys. Rev. D 2018, 98, 064033. [Google Scholar] [CrossRef] [Green Version]
- Jana, S.; Shaikh, R.; Sarkar, S. Overcharging black holes and cosmic censorship in Born-Infeld gravity. Phys. Rev. D 2018, 98, 124039. [Google Scholar] [CrossRef] [Green Version]
- B"ohmer, C.G.; Fiorini, F. The regular black hole in four dimensional BorntextendashInfeld gravity. Class. Quant. Grav. 2019, 36, 12LT01. [Google Scholar] [CrossRef]
- Delhom, A.; Macedo, C.F.B.; Olmo, G.J.; Crispino, L.C.B. Absorption by black hole remnants in metric-affine gravity. Phys. Rev. 2019, D100, 024016. [Google Scholar] [CrossRef] [Green Version]
- Avelino, P.P.; Ferreira, R.Z. Bouncing Eddington-inspired Born-Infeld cosmologies: An alternative to Inflation? Phys. Rev. D 2012, 86, 041501. [Google Scholar] [CrossRef] [Green Version]
- Beltran Jimenez, J.; Heisenberg, L.; Olmo, G.J.; Rubiera-Garcia, D. BorntextendashInfeld inspired modifications of gravity. Phys. Rep. 2018, 727, 1–129. [Google Scholar] [CrossRef] [Green Version]
- Beltr’an Jim’enez, J.; Delhom, A. Ghosts in metric-affine higher order curvature gravity. Eur. Phys. J. C 2019, 79, 656. [Google Scholar] [CrossRef]
- Jiménez, J.B.; Delhom, A. Instabilities in metric-affine theories of gravity with higher order curvature terms. Eur. Phys. J. 2020, C80, 585. [Google Scholar] [CrossRef]
- Delhom, A. Minimal coupling in presence of non-metricity and torsion. Eur. Phys. J. 2020, C80, 728. [Google Scholar] [CrossRef]
- Afonso, V.I.; Olmo, G.J.; Rubiera-Garcia, D. Mapping Ricci-based theories of gravity into general relativity. Phys. Rev. D 2018, 97, 021503. [Google Scholar] [CrossRef] [Green Version]
- Jiménez, J.B.; de Andrés, D.; Delhom, A. Anisotropic deformations in a class of projectively-invariant metric-affine theories of gravity. Class. Quant. Grav. 2020, 37, 225013. [Google Scholar] [CrossRef]
- Jana, S.; Chakravarty, G.K.; Mohanty, S. Constraints on Born-Infeld gravity from the speed of gravitational waves after GW170817 and GRB 170817A. Phys. Rev. D 2018, 97, 084011. [Google Scholar] [CrossRef] [Green Version]
- Barragan, C.; Olmo, G.J. Isotropic and Anisotropic Bouncing Cosmologies in Palatini Gravity. Phys. Rev. 2010, D82, 084015. [Google Scholar] [CrossRef] [Green Version]
- Afonso, V.I.; Olmo, G.J.; Rubiera-Garcia, D. Scalar geons in Born-Infeld gravity. JCAP 2017, 08, 031. [Google Scholar] [CrossRef] [Green Version]
- Sol’e, J.; G’fmez-Valent, A.; de Cruz P’erez, J. First evidence of running cosmic vacuum: Challenging the concordance model. Astrophys. J. 2017, 836, 43. [Google Scholar] [CrossRef] [Green Version]
- Barrow, J.D.; Basilakos, S.; Saridakis, E.N. Big Bang Nucleosynthesis constraints on Barrow entropy. Phys. Lett. 2021, B815, 136134. [Google Scholar] [CrossRef]
- Jim’enez, J.B.; Delhom, A.; Olmo, G.J.; Orazi, E. Born-Infeld gravity: Constraints from light-by-light scattering and an effective field theory perspective. Phys. Lett. B 2021, 820, 136479. [Google Scholar] [CrossRef]
- Latorre, A.D.I.; Olmo, G.J.; Ronco, M. Observable traces of non-metricity: New constraints on metric-affine gravity. Phys. Lett. 2018, B780, 294–299. [Google Scholar] [CrossRef]
- Delhom, A.; Miralles, V.; Pe’f1uelas, A. Effective interactions in Ricci-Based Gravity below the non-metricity scale. Eur. Phys. J. 2020, C80, 340. [Google Scholar] [CrossRef]
- Jimenez, R.; Loeb, A. Constraining cosmological parameters based on relative galaxy ages. Astrophys. J. 2002, 573, 37–42. [Google Scholar] [CrossRef]
- Moresco, M.; Verde, L.; Pozzetti, L.; Jimenez, R.; Cimatti, A. New constraints on cosmological parameters and neutrino properties using the expansion rate of the Universe to z 1.75. JCAP 2012, 1207, 053. [Google Scholar] [CrossRef] [Green Version]
- Moresco, M. Improved constraints on the expansion rate of the Universe up to z 1.1 from the spectroscopic evolution of cosmic chronometers. JCAP 2012, 1208, 006. [Google Scholar] [CrossRef] [Green Version]
- Moresco, M. Raising the bar: New constraints on the Hubble parameter with cosmic chronometers at z 2. Mon. Not. R. Astron. Soc. 2015, 450, L16–L20. [Google Scholar] [CrossRef] [Green Version]
- Moresco, M.; Pozzetti, L.; Cimatti, A.; Jimenez, R.; Maraston, C.; Verde, L.; Thomas, D.; Citro, A.; Tojeiro, R.; Wilkinson, D. A 6evidence of the epoch of cosmic re-acceleration. JCAP 2016, 1605, 014. [Google Scholar] [CrossRef] [Green Version]
- Scolnic, D. The Complete Light-curve Sample of Spectroscopically Confirmed SNe Ia from Pan-STARRS1 and Cosmological Constraints from the Combined Pantheon Sample. Astrophys. J. 2018, 859, 101. [Google Scholar] [CrossRef]
- Anagnostopoulos, F.K.; Basilakos, S.; Saridakis, E.N. Observational constraints on Barrow holographic dark energy. Eur. Phys. J. 2020, C80, 826. [Google Scholar] [CrossRef]
- Roberts, C.; Horne, K.; Hodson, A.O.; Leggat, A.D. Tests of LambdaCDM and Conformal Gravity using GRB and Quasars as Standard Candles out to zsim8. arXiv 2017, arXiv:1711.10369. [Google Scholar]
- Demianski, M.; Piedipalumbo, E.; Sawant, D.; Amati, L. Cosmology with gamma-ray bursts: I. The Hubble diagram through the calibrated Ermp,i - Ermiso correlation. Astron. Astrophys. 2017, 598, A112. [Google Scholar] [CrossRef] [Green Version]
- Hogg, N.B.; Martinelli, M.; Nesseris, S. Constraints on the distance duality relation with standard sirens. arXiv 2020, arXiv:2007.14335. [Google Scholar]
- Martinelli, M. Euclid: Forecast constraints on the cosmic distance duality relation with complementary external probes. arXiv 2020, arXiv:2007.16153. [Google Scholar]
- Benisty, D.; Staicova, D. Testing Low-Redshift Cosmic Acceleration with the Complete Baryon Acoustic Oscillations data collection. arXiv 2020, arXiv:2009.10701. [Google Scholar]
- Percival, W.J. Baryon Acoustic Oscillations in the Sloan Digital Sky Survey Data Release 7 Galaxy Sample. Mon. Not. R. Astron. Soc. 2010, 401, 2148–2168. [Google Scholar] [CrossRef] [Green Version]
- Beutler, F.; Blake, C.; Colless, M.; Jones, D.H.; Staveley-Smith, L.; Campbell, L.; Parker, Q.; Saunders, W.; Watson, F. The 6dF Galaxy Survey: Baryon Acoustic Oscillations and the Local Hubble Constant. Mon. Not. R. Astron. Soc. 2011, 416, 3017–3032. [Google Scholar] [CrossRef]
- Busca, N.G. Baryon Acoustic Oscillations in the Ly-alpha forest of BOSS quasars. Astron. Astrophys. 2013, 552, A96. [Google Scholar] [CrossRef] [Green Version]
- Anderson, L. The clustering of galaxies in the SDSS-III Baryon Oscillation Spectroscopic Survey: Baryon Acoustic Oscillations in the Data Release 9 Spectroscopic Galaxy Sample. Mon. Not. R. Astron. Soc. 2013, 427, 3435–3467. [Google Scholar] [CrossRef] [Green Version]
- Seo, H.J. Acoustic scale from the angular power spectra of SDSS-III DR8 photometric luminous galaxies. Astrophys. J. 2012, 761, 13. [Google Scholar] [CrossRef] [Green Version]
- Ross, A.J.; Samushia, L.; Howlett, C.; Percival, W.J.; Burden, A.; Manera, M. The clustering of the SDSS DR7 main Galaxy sample ’96 I. A 4 per cent distance measure at z = 0.15. Mon. Not. R. Astron. Soc. 2015, 449, 835–847. [Google Scholar] [CrossRef] [Green Version]
- Tojeiro, R. The clustering of galaxies in the SDSS-III Baryon Oscillation Spectroscopic Survey: Galaxy clustering measurements in the low redshift sample of Data Release 11. Mon. Not. R. Astron. Soc. 2014, 440, 2222–2237. [Google Scholar] [CrossRef] [Green Version]
- Bautista, J.E. The SDSS-IV extended Baryon Oscillation Spectroscopic Survey: Baryon Acoustic Oscillations at redshift of 0.72 with the DR14 Luminous Red Galaxy Sample. Astrophys. J. 2018, 863, 110. [Google Scholar] [CrossRef]
- de Carvalho, E.; Bernui, A.; Carvalho, G.C.; Novaes, C.P.; Xavier, H.S. Angular Baryon Acoustic Oscillation measure at z = 2.225 from the SDSS quasar survey. JCAP 2018, 1804, 064. [Google Scholar] [CrossRef] [Green Version]
- Ata, M. The clustering of the SDSS-IV extended Baryon Oscillation Spectroscopic Survey DR14 quasar sample: First measurement of baryon acoustic oscillations between redshift 0.8 and 2.2. Mon. Not. R. Astron. Soc. 2018, 473, 4773–4794. [Google Scholar] [CrossRef]
- Abbott, T.M.C. Dark Energy Survey Year 1 Results: Measurement of the Baryon Acoustic Oscillation scale in the distribution of galaxies to redshift 1. Mon. Not. R. Astron. Soc. 2019, 483, 4866–4883. [Google Scholar] [CrossRef] [Green Version]
- Molavi, Z.; Khodam-Mohammadi, A. Observational tests of Gauss-Bonnet like dark energy model. Eur. Phys. J. Plus 2019, 134, 254. [Google Scholar] [CrossRef] [Green Version]
- Riess, A.G.; Casertano, S.; Yuan, W.; Bowers, J.B.; Macri, L.; Zinn, J.C.; Scolnic, D. Cosmic Distances Calibrated to 1Parallaxes and Hubble Space Telescope Photometry of 75 Milky Way Cepheids Confirm Tension with LambdaCDM. Astrophys. J. Lett. 2021, 908, L6. [Google Scholar] [CrossRef]
- Foreman-Mackey, D.; Hogg, D.W.; Lang, D.; Goodman, J. emcee: The MCMC Hammer. Publ. Astron. Soc. Pac. 2013, 125, 306–312. [Google Scholar] [CrossRef] [Green Version]
- Handley, W.J.; Hobson, M.P.; Lasenby, A.N. PolyChord: Nested sampling for cosmology. Mon. Not. R. Astron. Soc. 2015, 450, L61–L65. [Google Scholar] [CrossRef]
- Lewis, A. GetDist: A Python package for analysing Monte Carlo samples. arXiv 2019, arXiv:1910.13970. [Google Scholar]
- Beltran Jimenez, J.; Heisenberg, L.; Olmo, G.J.; Rubiera-Garcia, D. On gravitational waves in Born-Infeld inspired non-singular cosmologies. JCAP 2017, 10, 29. [Google Scholar] [CrossRef] [Green Version]
- Escamilla-Rivera, C.; Banados, M.; Ferreira, P.G. A tensor instability in the Eddington inspired Born-Infeld Theory of Gravity. Phys. Rev. D 2012, 85, 087302. [Google Scholar] [CrossRef] [Green Version]















| Model | (Km/sec/Mpc) | ||||
|---|---|---|---|---|---|
| EiBI | |||||
| ΛCDM | - | - |
Publisher’s Note: MDPI stays neutral with regard to jurisdictional claims in published maps and institutional affiliations. |
© 2021 by the authors. Licensee MDPI, Basel, Switzerland. This article is an open access article distributed under the terms and conditions of the Creative Commons Attribution (CC BY) license (https://creativecommons.org/licenses/by/4.0/).
Share and Cite
Benisty, D.; Olmo, G.J.; Rubiera-Garcia, D. Singularity-Free and Cosmologically Viable Born-Infeld Gravity with Scalar Matter. Symmetry 2021, 13, 2108. https://doi.org/10.3390/sym13112108
Benisty D, Olmo GJ, Rubiera-Garcia D. Singularity-Free and Cosmologically Viable Born-Infeld Gravity with Scalar Matter. Symmetry. 2021; 13(11):2108. https://doi.org/10.3390/sym13112108
Chicago/Turabian StyleBenisty, David, Gonzalo J. Olmo, and Diego Rubiera-Garcia. 2021. "Singularity-Free and Cosmologically Viable Born-Infeld Gravity with Scalar Matter" Symmetry 13, no. 11: 2108. https://doi.org/10.3390/sym13112108
APA StyleBenisty, D., Olmo, G. J., & Rubiera-Garcia, D. (2021). Singularity-Free and Cosmologically Viable Born-Infeld Gravity with Scalar Matter. Symmetry, 13(11), 2108. https://doi.org/10.3390/sym13112108

