Convective Heat/Mass Transfer Analysis on Johnson-Segalman Fluid in a Symmetric Curved Channel with Peristalsis: Engineering Applications
Abstract
1. Introduction
2. Problem Formulation
3. Method of Solution
4. Results
4.1. Zeroth Order System
4.2. First Order System
5. Discussion
5.1. Axial Velocity Distribution
5.2. Temperature Distribution
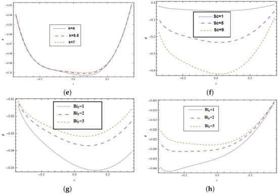
5.3. Concentration Distribution
5.4. Coefficient of Heat-Transfer
6. Conclusive Remarks
Author Contributions
Funding
Conflicts of Interest
Appendix A
References
- Latham, T.W. Fluid Motion in a Peristaltic Pump; MIT: Cambridge, MA, USA, 1966. [Google Scholar]
- Shapiro, A.H.; Jaffrin, M.Y.; Wienberg, S.L. Peristaltic pumping with long wavelengths at low Reynolds number. J. Fluid Mech. 1969, 37, 799–825. [Google Scholar] [CrossRef]
- Yin, F.; Fung, Y.C. Peristaltic wave in circular cylindrical tubes. J. Appl. Mech. 1969, 36, 579–587. [Google Scholar] [CrossRef]
- Hayat, T.; Iqbal, R.; Tanveer, A.; Alsaedi, A. Mixed convective peristaltic transport of Carreau-Yasuda nanofluid in a tapered asymmetric channel. J. Mol. Liq. 2016, 223, 1100–1113. [Google Scholar] [CrossRef]
- Ramesh, K. Effects of slip and convective conditions on the peristaltic flow of couple stress fluid in an asymmetric channel through porous medium. Comput. Meth. Prog. Biomed. 2016, 135, 1–14. [Google Scholar] [CrossRef] [PubMed]
- Tripathi, D.; Bég, O.A. Peristaltic propulsion of generalized Burgers’ fluids through a non-uniform porous medium: A study of chyme dynamics through the diseased intestine. Math. Biosci. 2014, 248, 67–77. [Google Scholar] [CrossRef]
- Shehzad, S.A.; Abbasi, F.M.; Hayat, T.; Alsaadi, F. Model and comparative study for peristaltic transport of water based nanofluids. J. Mol. Liq. 2015, 209, 723–728. [Google Scholar] [CrossRef]
- Abbasi, F.M.; Hayat, T.; Ahmad, B. Peristaltic transport of copper–water nanofluid saturating porous medium. Phys. Low Dimens. Nanostruct. 2015, 67, 47–53. [Google Scholar] [CrossRef]
- Gad, N.S. Effects of Hall currents on peristaltic transport with compliant walls. Appl. Math. Comput. 2014, 235, 546–554. [Google Scholar] [CrossRef]
- Abbas, M.A.; Bai, Y.Q.; Bhatti, M.M.; Rashidi, M.M. Three dimensional peristaltic flow of hyperbolic tangent fluid in non-uniform channel having flexible walls. Alex. Eng. J. 2016, 55, 653–662. [Google Scholar] [CrossRef]
- Lachiheb, M. Effect of coupled radial and axial variability of viscosity on the peristaltic transport of Newtonian fluid. Appl. Math. Comput. 2014, 244, 761–771. [Google Scholar] [CrossRef]
- Shit, G.C.; Roy, M. Hydromagnetic effect on inclined peristaltic flow of a couple stress fluid. Alex. Eng. J. 2014, 4, 949–958. [Google Scholar] [CrossRef]
- Ramesh, K.; Tripathi, D.; Bhatti, M.M.; Khalique, C.M. Electro-osmotic flow of hydromagnetic dusty viscoelastic fluids in a microchannel propagated by peristalsis. J. Mol. Liq. 2020, 314, 113568. [Google Scholar] [CrossRef]
- Tariq, H.; Khan, A.A.; Zaman, A. Theoretical analysis of peristaltic viscous fluid with inhomogeneous dust particles. Arab. J. Sci. Eng. 2020. [Google Scholar] [CrossRef]
- Hina, S.; Mustafa, M.; Hayat, T.; Alotaibi, N.D. On peristaltic motion of pseudoplastic fluid in a curved channel with heat/mass transfer and wall properties. Appl. Math. Comput. 2015, 263, 378–391. [Google Scholar] [CrossRef]
- Bhatti, M.M.; Elelamy, A.F.; Sait, S.M.; Ellahi, R. Hydrodynamics interactions of metachronal waves on particulate-liquid motion through a ciliated annulus: Application of bio-engineering in blood clotting and endoscopy. Symmetry 2020, 14, 532. [Google Scholar] [CrossRef]
- Fomicheva, M.; Müller, W.H.; Vilchevskaya, E.N.; Bessonov, N. Funnel flow of a Navier-Stokes-fluid with potential applications to micropolar media. Facta Univ. Ser. Mech. Eng. 2019, 17, 255–267. [Google Scholar] [CrossRef]
- Javed, M. A mathematical framework for peristaltic mechanism of non-Newtonian fluid in an elastic heated channel with Hall effect. Multidiscip. Model. Mater. Struct. 2020. [Google Scholar] [CrossRef]
- Bhandari, D.S.; Tripathi, D.; Narla, V.K. Pumping flow model for couple stress fluids with a propagative membrane contraction. Int. J. Mech. Sci. 2020. [Google Scholar] [CrossRef]
- Hayat, T.; Wang, Y.; Siddiqi, A.M.; Hutter, K. Peristaltic flow of a Johnson-Segalman fluid in a planar channel. Math. Probl. Eng. 2003, 2003, 1–23. [Google Scholar] [CrossRef]
- Hayat, T.; Mumtaz, S. Resonant oscillations of plate in an electrically conducting rotating Johnson-Segalman fluid. Comp. Math. Appl. 2005, 50, 1669–1676. [Google Scholar] [CrossRef]
- Hayat, T.; Afsar, A.; Ali, N. Peristaltic transport of a Johnson–Segalman fluid in an asymmetric channel. Math. Comput. Model. 2005, 47, 380–400. [Google Scholar] [CrossRef]
- Elshahed, M.; Haroun, M.H. Peristaltic transport of Johnson–Segalman fluid under effect of a magnetic field. Math. Probl. Eng. 2005, 2005, 663–677. [Google Scholar] [CrossRef]
- Wang, Y.; Hayat, T.; Hutter, K. Peristaltic transport of a Johnson–Segalman fluid through a deformable tube. Theor. Comput. Fluid Dyn. 2007, 21, 369–380. [Google Scholar] [CrossRef]
- Sato, H.; Kawai, T.; Fujita, T.; Okabe, M. Two dimensional peristaltic flow in curved channels. Trans. Jpn. Soc. Mech. Eng. B 2000, 66, 679–685. [Google Scholar] [CrossRef]
- Ali, N.; Sajid, M.; Hayat, T. Long wavelength flow analysis in a curved channel. Z. Naturforsch. 2010, 65, 191–196. [Google Scholar] [CrossRef]
- Majeed, A.; Javed, T.; Ghaffari, A.; Rashidi, M.M. Analysis of heat transfer due to stretching cylinder with partial slip and prescribed heat flux: A Chebyshev Spectral Newton Iterative Scheme. Alex. Eng. J. 2015, 54, 1029–1036. [Google Scholar] [CrossRef]
- Hina, S.; Mustafa, M.; Hayat, T.; Alsaedi, A. Peristaltic flow of Powell-Eyring fluid in curved channel with heat transfer: A useful application in biomedicine. Comp. Meth. Prog. Biomed. 2016, 135, 89–100. [Google Scholar] [CrossRef]
- Abbasi, F.M.; Hayat, T.; Alsaedi, A. Numerical analysis for MHD peristaltic transport of Carreau-Yasuda fluid in a curved channel with Hall effects. J. Magn. Magn. Mat. 2015, 382, 104–110. [Google Scholar] [CrossRef]
- Ali, N.; Javid, K.; Sajid, M.; Zaman, A.; Hayat, T. Numerical simulations of Oldroyd 8-constant fluid flow and heat transfer in a curved channel. Int. J. Heat Mass Transf. 2016, 94, 500–508. [Google Scholar] [CrossRef]
- Ahmed, R.; Ali, N.; Khan, S.U.; Tlili, I. Numerical simulations for mixed convective hydromagnetic peristaltic flow in a curved channel with joule heating features. AIP Adv. 2020, 10, 075303. [Google Scholar] [CrossRef]
- Hina, S.; Hayat, T.; Alsaedi, A. Heat and mass transfer effects on the peristaltic flow of Johnson–Segalman fluid in a curved channel with compliant walls. Int. J. Heat Mass Transf. 2012, 55, 3511–3521. [Google Scholar] [CrossRef]
- Mehmood, O.U.; Qureshi, A.A.; Yasmin, H.; Uddin, S. Thermo-mechanical analysis of non Newtonian peristaltic mechanism: Modified heat flux model. Phys. A Stat. Mech. Appl. 2020, 550, 124014. [Google Scholar] [CrossRef]
- Hayat, T.; Javid, M.; Hendi, A.A. Peristaltic transport of viscous fluid in a curved channel with compliant walls. Int. J. Heat Mass Transf. 2011, 54, 1615–1621. [Google Scholar] [CrossRef]
- Riaz, A.; Ellahi, R.; Sait, S.M. Role of hybrid nanoparticles in thermal performance of peristaltic flow of Eyring—Powell fluid model. J. Them. Anal. Calorim. 2020. [Google Scholar] [CrossRef]
- Hayat, T.; Yasmin, H.; Al-Yami, M. Soret and Dufour effects in peristaltic transport of physiological fluid with chemical reaction: A mathematical analysis. Comput. Fluids 2014, 89, 242–253. [Google Scholar] [CrossRef]
- Yasmin, H.; Farooq, S.; Awais, M.; Alsaedi, A.; Hayat, T. Significance of heat and mass process in peristalsis of a rheological material. Heat Trans. Res. 2019, 50, 1561–1580. [Google Scholar] [CrossRef]
- Hayat, T.; Yasmin, H.; Ahmad, B.; Chen, B. Simultaneous effects of convective conditions and nanoparticles on peristaltic motion. J. Mol. Liq. 2014, 193, 74–82. [Google Scholar] [CrossRef]
- Hayat, T.; Bibi, A.; Yasmin, H.; Alsaadi, F.E. Magnetic field and thermal radiation effects in peristaltic flow with heat and mass convection. J. Ther. Sci. Eng. Appl. 2018, 10, 051018. [Google Scholar] [CrossRef]
- Yasmin, H.; Hayat, T.; Alsaedi, A.; Alsulami, H.H. Peristaltic transport of Johnson-Segalman fluid in an asymmetric channel with convective boundary conditions. Appl. Math. Mech.-Engl. Ed. 2014, 35, 697–716. [Google Scholar] [CrossRef]






© 2020 by the authors. Licensee MDPI, Basel, Switzerland. This article is an open access article distributed under the terms and conditions of the Creative Commons Attribution (CC BY) license (http://creativecommons.org/licenses/by/4.0/).
Share and Cite
Yasmin, H.; Iqbal, N.; Hussain, A. Convective Heat/Mass Transfer Analysis on Johnson-Segalman Fluid in a Symmetric Curved Channel with Peristalsis: Engineering Applications. Symmetry 2020, 12, 1475. https://doi.org/10.3390/sym12091475
Yasmin H, Iqbal N, Hussain A. Convective Heat/Mass Transfer Analysis on Johnson-Segalman Fluid in a Symmetric Curved Channel with Peristalsis: Engineering Applications. Symmetry. 2020; 12(9):1475. https://doi.org/10.3390/sym12091475
Chicago/Turabian StyleYasmin, Humaira, Naveed Iqbal, and Aiesha Hussain. 2020. "Convective Heat/Mass Transfer Analysis on Johnson-Segalman Fluid in a Symmetric Curved Channel with Peristalsis: Engineering Applications" Symmetry 12, no. 9: 1475. https://doi.org/10.3390/sym12091475
APA StyleYasmin, H., Iqbal, N., & Hussain, A. (2020). Convective Heat/Mass Transfer Analysis on Johnson-Segalman Fluid in a Symmetric Curved Channel with Peristalsis: Engineering Applications. Symmetry, 12(9), 1475. https://doi.org/10.3390/sym12091475

