Next Article in Journal
Does Brain Lateralization Affect the Performance in Binary Choice Tasks? A Study in the Animal Model Danio rerio
Next Article in Special Issue
Hypersonic Imaging and Emission Spectroscopy of Hydrogen and Cyanide Following Laser-Induced Optical Breakdown
Previous Article in Journal
Hyper-Heuristic Framework for Sequential Semi-Supervised Classification Based on Core Clustering
Previous Article in Special Issue
Oscillatory-Precessional Motion of a Rydberg Electron Around a Polar Molecule
error_outline You can access the new MDPI.com website here. Explore and share your feedback with us.
 
 
Font Type:
Arial Georgia Verdana
Font Size:
Aa Aa Aa
Line Spacing:
Column Width:
Background:
Communication

Chirped Laser Pulse Effect on a Quantum Linear Oscillator

by
Valeriy A. Astapenko
* and
Evgeniya V. Sakhno
Moscow Institute of Physics and Technology (National Research University), Institutskij Per. 9, 141700 Dolgoprudnyj, Moscow Region, Russia
*
Author to whom correspondence should be addressed.
Symmetry 2020, 12(8), 1293; https://doi.org/10.3390/sym12081293
Submission received: 22 June 2020 / Revised: 12 July 2020 / Accepted: 30 July 2020 / Published: 4 August 2020
(This article belongs to the Special Issue Atomic Processes in Plasmas and Gases: Symmetries and Beyond)

Abstract

We present a theoretical study of the excitation of a charged quantum linear oscillator by chirped laser pulse with the use of probability of the process throughout the pulse action. We focus on the case of the excitation of the oscillator from the ground state without relaxation. Calculations were made for an arbitrary value of the electric field strength by utilizing the exact expression for the excitation probability. The dependence of the excitation probability on the pulse parameters was analyzed both numerically and by using analytical formulas.

1. Introduction

The rapid development of the technique for generating short laser pulses with given parameters, including a frequency chirp [1], necessitates the development of adequate methods for the theoretical description of photo-processes in the field of such pulses with prescribed parameters. Along with the amplitude, carrier frequency, and pulse duration, an important parameter is the frequency chirp of the pulse. In papers [2,3,4,5,6], the features of excitation of a two-level system by chirped laser pulses were investigated. In work [2], the dependence of the population of the upper level of the quantum system on the chirp was calculated numerically and analytically for various values of the pulse duration and field amplitude. In particular, it was shown that in a certain range of parameters, the populations of a two-level system can be effectively controlled by variation of the chirp. In article [3], an effective scheme for controlling the superposition state of a two-level system using an ultrashort chirped laser pulse was proposed. In work [4], a high-precision population transfer was studied in a two-level model using a chirped Gaussian pulse.
In paper [7], the excitation of a classical Morse oscillator by a laser pulse with a linear frequency chirp was studied numerically for various values of the electric field strength and pulse duration. In particular, it was shown that there is a strong dependence of the oscillator excitation energy on the magnitude of the chirp, especially for multicycle pulses.
Paper [8] was devoted to numerical investigation of H atom ionization by chirped laser pulse. It was shown that chirped pulse more effectively ionizes atoms than the pulse with zero chirp.
In our previous paper [9], we investigated in detail the excitation of a quantum oscillator by short laser pulses without chirp using exact expression for the excitation probability obtained in [10]. It was shown that excitation probability as a function of carrier frequency and pulse duration is strongly dependent on the electric field amplitude in the pulse. In particular, criteria were established for the appearance of additional maxima in the probability of excitation for two types of envelopes of the laser pulse.
This work is a generalization of papers [9,10] in the case of a laser pulse with a linear frequency chirp. The main attention is paid to the influence of the frequency chirp on the probability of excitation of a quantum oscillator for various values of the carrier frequency and pulse duration.

2. Results

We considered a linear quantum oscillator excited by a laser pulse from the ground state. We assumed that pulse duration τ was sufficiently short so the condition τ < 1/γ was fulfilled (γ is oscillator relaxation constant) and the relaxation of the oscillator could be neglected.
According to paper [11], the following expression is appropriate for the probability of oscillator excitation from the ground state during the entire time of the pulse action:
W n 0 = n n n ! exp ( n ¯ ) .
Here, n ¯ is the average number of energy quanta at own frequency absorbed by oscillator during excitation. It is equal to (for the oscillator without relaxation)
n ¯ = q 2 2 m ω 0 | E ( ω 0 ) | 2
Here, q, m, and ω0 are the charge, mass, and own frequency of oscillator. E(ω) is the Fourier transform of electric field strength in the laser pulse. Furthermore, we considered pulse with Gaussian envelope and the linear frequency chirp.
Fourier transform of electric field strength in the Gaussian pulse with the linear frequency chirp has the form [12]:
E ( ω ) = 2 π E 0 τ 1 + α 2 4 exp { ω 2 + ω 2 + 2 i α ω ω Δ ω 2 } cos { 0.5 a r c t g ( α ) α ( ω 2 + ω 2 ) 2 i ω ω Δ ω 2 }
Here, E0 is the field amplitude, ω and τ are the carrier frequency and duration of laser pulse, α is the dimensionless chirp, and Δω is the spectral width of the pulse which is equal to
Δ ω = 1 + α 2 2 τ .
In the resonance approximation | ω ω 0 | < < ω 0 one has
| E ( ω , τ , E 0 , α ) | 2 π 2 E 0 2 τ 2 1 + α 2 exp { ( ω 0 ω ) 2 τ 2 1 + α 2 } .
Let us introduce the following dimensionless parameters:
ζ = 1 + α 2 4 Ω 10 ω 0 ,   β = ω 0 τ 1 + α 2 ,   Δ = ω ω 0 ω 0 ,
where
Ω 10 = d 10 E 0 = q E 0 2 m ω 0
is the resonance Rabi frequency and d10 is the matrix element of the electric dipole moment for the 0 → 1 transition in the linear quantum oscillator. It is convenient for the analytical description of oscillator excitation to express the average number of absorbed quanta n ¯ via dimensionless parameters in the form
n ¯ ( Δ , β , ζ ) = π 2 ζ 2 β 2 exp ( β 2 Δ 2 ) .
Here, we used Formulas (2) and (5)–(7).
Substituting Equation (8) in Equation (1), we obtained the formula for the numerical and analytical description of the excitation probability of the quantum linear oscillator by chirped laser pulse from the ground state.
The results of the numerical calculations are presented in the figures below for the excitation probability of transition 0 → 1 in the quantum oscillator for weak and strong fields and various values of the dimensionless frequency chirp. Calculations were made with the use of oscillator parameters q, m, and ω0 corresponding to the vibration of the CO molecule in harmonic approximation.
Let us consider analytically the spectral dependence of the excitation probability of the transitions 0 → n in the quantum oscillator. It was easy to obtain the position of spectral maxima using Formulas (1) and (8). In a weak field regime when
Ω 10 τ < 2 n π 1 + α 2 4
there is only one maximum at Δ = 0 (see Figure 1a). With increasing electric field strength (i.e., Rabi frequency Ω10), this maximum became a minimum. When the inverse to (9) inequality held, two maxima appeared at the following detunings of the carrier frequency from the own oscillator frequency (according to Figure 1b):
| Δ 1 , 2 | = 1 + α 2 ω 0 τ ln ( π 2 n Ω 10 2 τ 2 1 + α 2 )
One can see from this formula that the spectral distance between maxima in a strong field regime grew with the increase in chirp modulus and amplitude of the field.
The central spectral maximum turned into a minimum with the increasing field amplitude due to the depopulation of the ground state under the action of a laser pulse with a carrier frequency equal to the own frequency of the oscillator. The appearance of two maxima at a qualitative level can be associated with the emergence of quasienergy states under the action of a laser field.
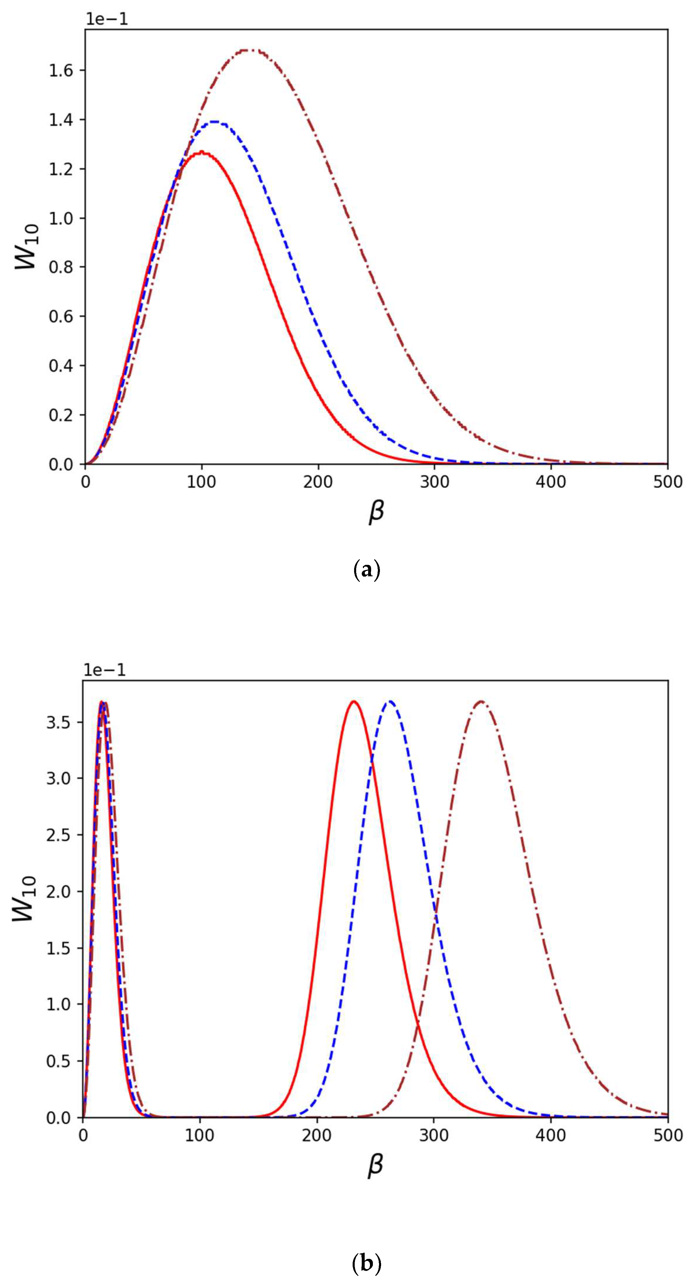
Figure 2 demonstrates the dependence of the oscillator excitation probability at transition 0 → 1 as a function of dimensionless pulse duration (parameter β) for a weak (a) and strong (b) field and for different values of the frequency chirp.
Figure 2 shows that as the field amplitude increased, the maximum that was at β = (100–150) in Figure 2a disappeared and became the minimum. Two new maxima appeared: one at β << 100 and the other at β > 200. The distance between the two maxima increased with the increasing magnitude of the chirp and of the field amplitude.
For the weak field amplitude, when the following inequality held (here, e is the base of the natural logarithm)
Ω 10 < 2 n e π | ω ω 0 | 1 + α 2 4
we had
τ max = 1 + α 2 | ω ω 0 | .
For strong fields, when inverse to (11) inequality holding only an approximate analytical description of these maxima was possible. Then, one could obtain the following relations:
τ max , 1 2 n π 1 + α 2 4 Ω 10 ,   τ max , 2 1 + α 2 | ω ω 0 | 2.8 ln ( π 2 n 1 + α 2 4 Ω 10 | ω ω 0 | )
The resonance case (Δ = 0) should be treated separately and the result was:
τ max = 2 n π 1 + α 2 4 Ω 10
In conclusion, we gave an expression for the electric field strength amplitude corresponding to the maximum probability of the excitation of transition 0 → n with other fixed parameters:
E 0 max = ω 0 d 10 2 n π 1 + α 2 ω 0 τ exp { ( ω ω 0 ) 2 τ 2 2 ( 1 + α 2 ) } .
Note that the effects considered in this paper in a strong field are due to the nonlinear nature of the interaction of the laser pulse with the quantum oscillator. The presence of chirp only modifies their manifestation.

3. Conclusions

Using the exact formula for the probability of exciting a quantum linear oscillator, we investigated the dependence of this probability on the carrier frequency and the pulse duration of laser pulse with Gaussian envelope at different values of the frequency chirp. Analytical expressions were derived that describe the features of oscillator excitation for different magnitudes of pulse parameters including frequency chirp. It was shown, in particular, that for weak fields the probability of excitation has one maximum as a function of the carrier frequency and pulse duration. With increasing electric field strength, a second maximum appears, the position of which depends on the frequency chirp value. With an increase in the magnitude of the chirp, these maxima shift to the region of large values of frequency detuning and pulse duration. In this case, the width of the maxima increases. Thus, by changing the magnitude of the chirp, one can control the probability of excitation of the quantum oscillator in a desired way.

Author Contributions

Both authors contributed equally. All authors have read and agreed to the published version of the manuscript.

Funding

This research received no external funding.

Acknowledgments

The research was supported by Moscow Institute of Physics and Technology in the framework of the 5-top-100 program (Project No. 075-02-2019-967).

Conflicts of Interest

The authors declare no conflict of interest.

References

  1. Mitrofanov, A.V.; Sidorov-Biryukov, D.A.; Glek, P.B.; Rozhko, M.V.; Stepanov, E.A.; Shutov, A.D.; Ryabchuk, S.V.; Voronin, A.A.; Fedotov, A.B.; Zheltikov, A.M. Chirp-controlled high-harmonic and attosecond-pulse generation via coherent-wake plasma emission driven by mid-infrared laser pulses. Opt. Lett. 2020, 45, 750–753. [Google Scholar] [CrossRef] [PubMed]
  2. Astapenko, V.A.; Romadanovskii, M.S. Excitation of a two-level system by a chirped laser pulse. Laser Phys. 2009, 19, 969–973. [Google Scholar] [CrossRef]
  3. Jo, H.; Lee, H.G.; Guerin, S.; Ahn, J. Robust two-level system control by a detuned and chirped laser pulse. Phys. Rev. A 2017, 96, 033403. [Google Scholar] [CrossRef]
  4. Dou, F.Q.; Liu, J.; Fu, L.B. High-fidelity superadiabatic population transfer of a two-level system with a linearly chirped Gaussian pulse. Europhys. Lett. 2017, 116, 60014. [Google Scholar] [CrossRef]
  5. Ghaedi, Z.; Hosseini, M.; Sarreshtedari, F. Population change in the fine structure levels of cesium atoms using chirped laser. J. Optoelectron. Nanostructures 2017, 2, 1. [Google Scholar]
  6. Ghaedi, Z.; Hosseini, M.; Sarreshtedari, F. Population engineering of the cesium atom fine structure levels using linearly chirped Gaussian laser pulse. Opt. Commun. 2019, 431, 109–114. [Google Scholar] [CrossRef]
  7. Astapenko, V.A.; Romadanovskii, M.S. Excitation of the Morse oscillator by an ultrashort chirped pulse. JETP 2010, 110, 376–382. [Google Scholar] [CrossRef]
  8. Prasad, V.; Dahiya, B.; Yamashita, K. Ionization of the H atom in ultrashort chirped laser pulses. Phys. Scr. 2010, 82, 055302. [Google Scholar] [CrossRef]
  9. Astapenko, V.A.; Sakhno, E.V. Excitation of the 0→1 transition in a quantum oscillator under the action of an electromagnetic pulse of the Gaussian form. Proc. MIPT 2019, 11, 108–115. (In Russian) [Google Scholar]
  10. Astapenko, V.A.; Sakhno, E.V. Excitation of a quantum oscillator by short laser pulses. Appl. Phys. B 2020, 126, 23. [Google Scholar] [CrossRef]
  11. Husimi, K. Miscellanea in elementary quantum mechanics, II. Prog. Theor. Phys. 1953, 9, 381–402. [Google Scholar] [CrossRef]
  12. Astapenko, V. Interaction of Ultrafast Electromagnetic Pulses with Matter; Springer Briefs in Physics: Heidelberg, Germany; New York, NY, USA; Dordrecht, The Netherland; London, UK, 2013; p. 94. [Google Scholar]
Figure 1. Spectrum of the excitation probability of transition 0 → 1 in quantum oscillator for weak field —E0 = 10−3 a.u. (a) strong field—E0 = 0.04 a.u. (b) and different values of the dimensionless frequency chirp: solid line α = 0, dotted line—α = 0.5, dashed line—α = 1.
Figure 1. Spectrum of the excitation probability of transition 0 → 1 in quantum oscillator for weak field —E0 = 10−3 a.u. (a) strong field—E0 = 0.04 a.u. (b) and different values of the dimensionless frequency chirp: solid line α = 0, dotted line—α = 0.5, dashed line—α = 1.
Symmetry 12 01293 g001
Figure 2. Excitation probability of transition 0 → 1 in the quantum oscillator as function of dimensionless pulse duration (β) for a weak field—E0 = 10−3 a.u. (a) strong field—E0 = 0.04 a.u. (b) and different values of dimensionless chirp: solid line—α = 0, dotted line—α = 0.5, dashed line—α = 1.
Figure 2. Excitation probability of transition 0 → 1 in the quantum oscillator as function of dimensionless pulse duration (β) for a weak field—E0 = 10−3 a.u. (a) strong field—E0 = 0.04 a.u. (b) and different values of dimensionless chirp: solid line—α = 0, dotted line—α = 0.5, dashed line—α = 1.
Symmetry 12 01293 g002

Share and Cite

MDPI and ACS Style

Astapenko, V.A.; Sakhno, E.V. Chirped Laser Pulse Effect on a Quantum Linear Oscillator. Symmetry 2020, 12, 1293. https://doi.org/10.3390/sym12081293

AMA Style

Astapenko VA, Sakhno EV. Chirped Laser Pulse Effect on a Quantum Linear Oscillator. Symmetry. 2020; 12(8):1293. https://doi.org/10.3390/sym12081293

Chicago/Turabian Style

Astapenko, Valeriy A., and Evgeniya V. Sakhno. 2020. "Chirped Laser Pulse Effect on a Quantum Linear Oscillator" Symmetry 12, no. 8: 1293. https://doi.org/10.3390/sym12081293

APA Style

Astapenko, V. A., & Sakhno, E. V. (2020). Chirped Laser Pulse Effect on a Quantum Linear Oscillator. Symmetry, 12(8), 1293. https://doi.org/10.3390/sym12081293

Note that from the first issue of 2016, this journal uses article numbers instead of page numbers. See further details here.

Article Metrics

Back to TopTop