Physically Acceptable Embedded Class-I Compact Stars in Modified Gravity with Karmarkar Condition
Abstract
1. Introduction
2. Basic Structure of Gravitational Framework
2.1. The Karmarker Condition
2.2. Boundary Conditions
3. Graphical Analysis of Some Physical Properties of Presented Model in Theory
3.1. Analysis of Some Features of the Model for
3.1.1. Metric Potential
3.1.2. Zeldovich’s Condition
3.1.3. Energy Density
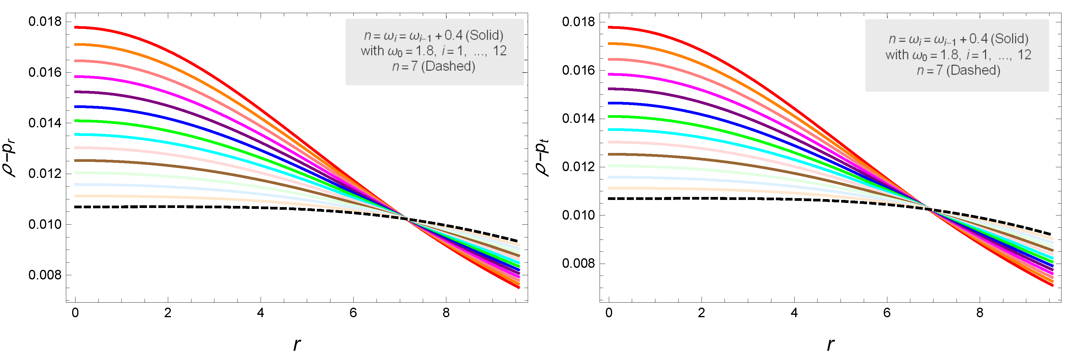
3.1.4. Pressure
3.1.5. Anisotropy Distribution
3.1.6. Gradients
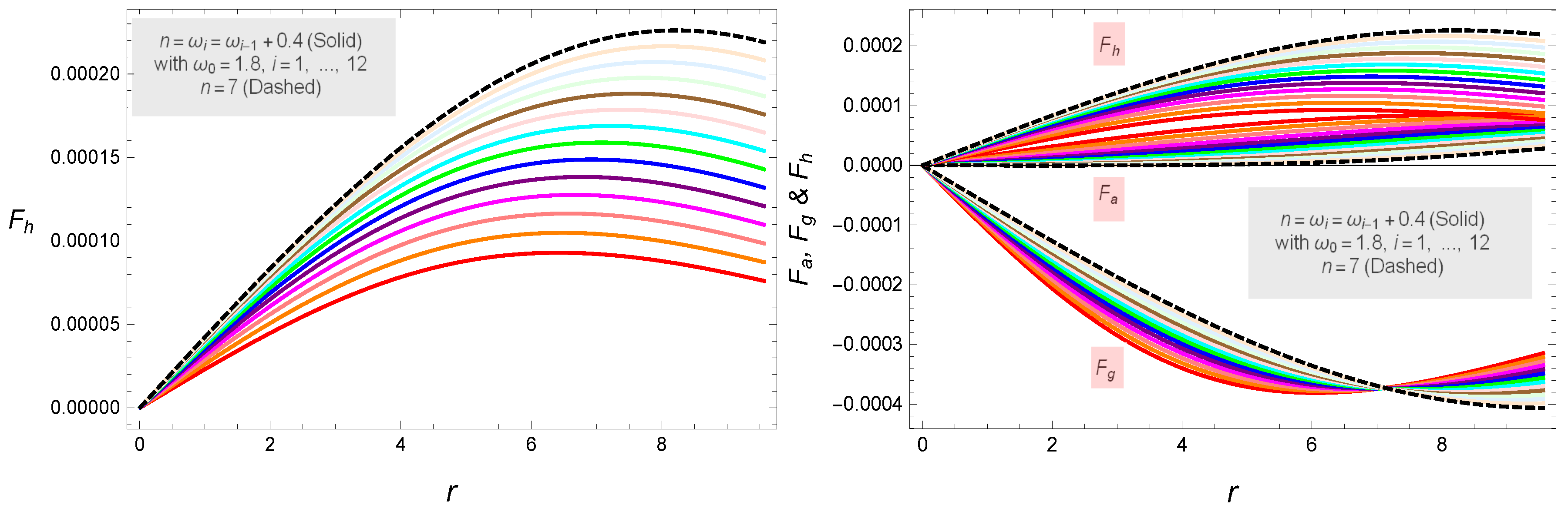
3.1.7. Equilibrium Condition
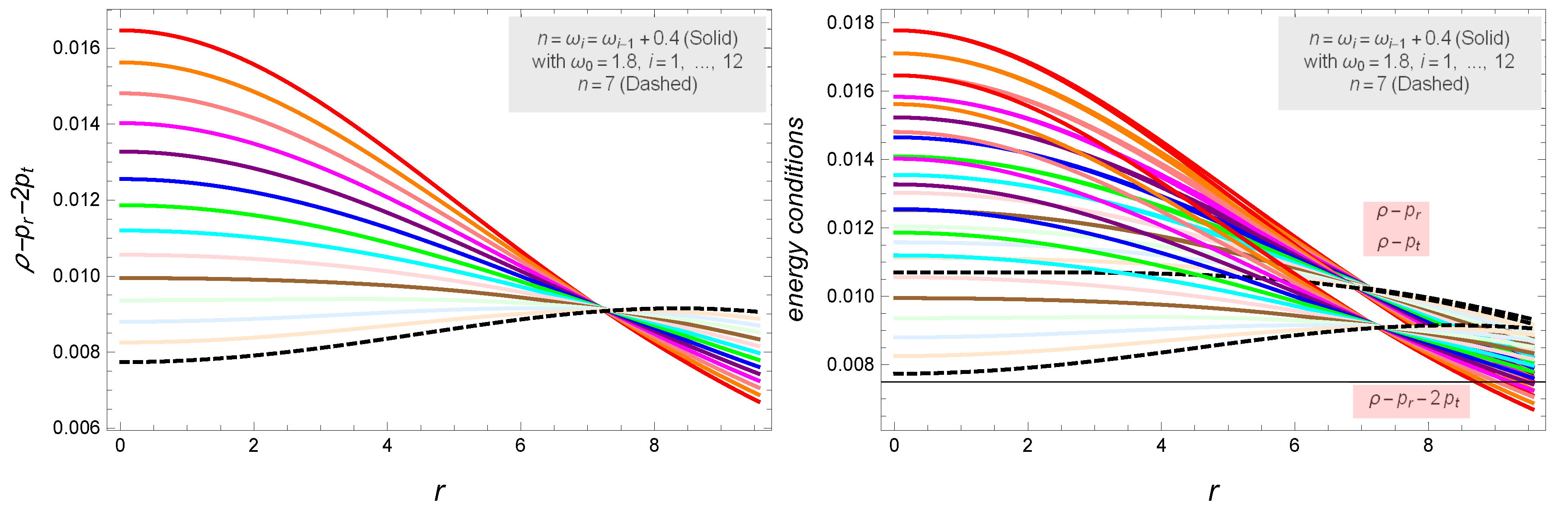
3.1.8. Energy Conditions
3.1.9. Mass Function, Compactness Parameter and Surface Red-Shift Function
3.1.10. Equation of State
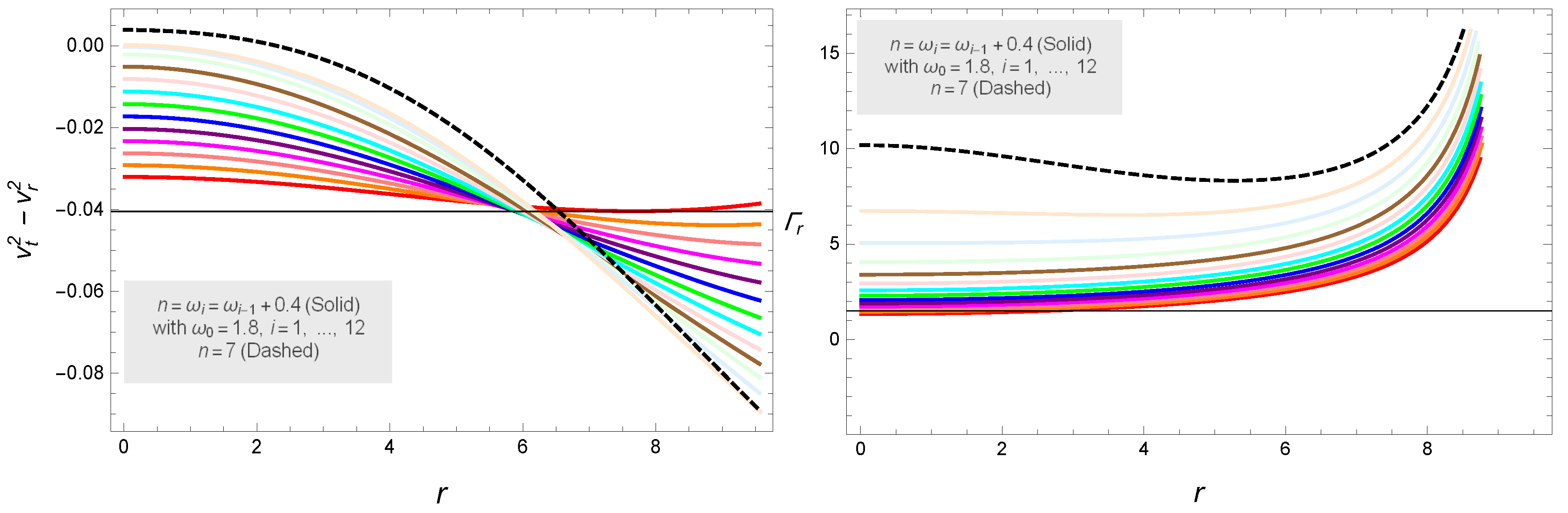
3.1.11. Causality Stability Analysis
3.1.12. The Adiabatic Index Stability Analysis
3.2. Graphical Analysis of Some Physical Properties for
4. Conclusions
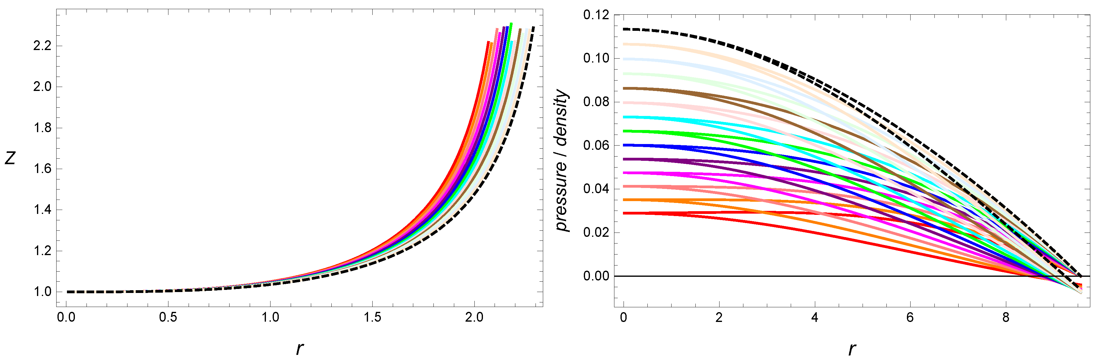
- From Figure 1, it is seen that the metric components, i.e., , and , are calculated as and , which shows that this model is physically realistic and acceptable for compact star;
- The Zeldovich’s condition, i.e., , has been observed to be satisfied which can be confirmed From the Table 1;
- The energy density function has remained positive throughout in the stellar interior compact object for this current model which can be seen from Figure 1;
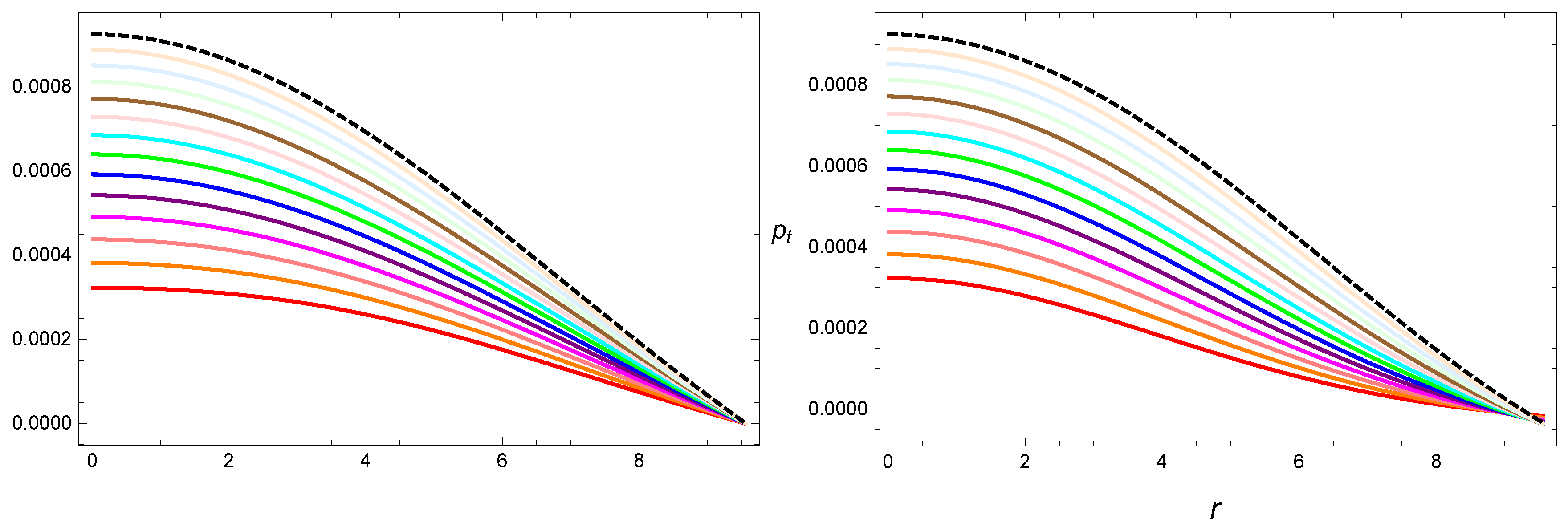
- Both the radial and tangential pressure components has remained positive throughout in the stellar interior for compact star. This behavior of both components can be verified from Figure 2;
- It is found that the measure of anisotropic pressure is positive throughout the region of the compact star and consequently, it supports to the structure of compact star which has been provided in Figure 3;
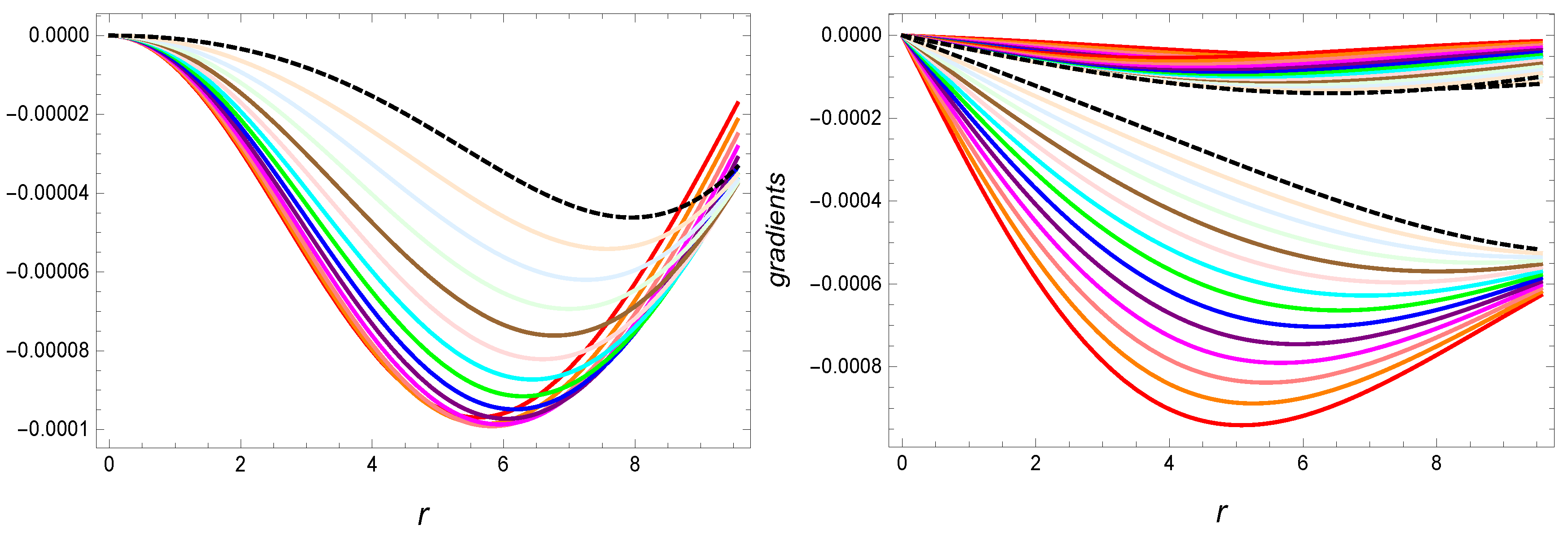
- The derivative of energy density function and radial pressure with respect to radial coordinate are calculated as negative and it is also confirmed form their graphical behavior given in Figure 3;
- The mass-radii function has remained positive, increasing and regular. Its graphical behavior can be observed from Figure 8;
- The compactness parameter has remained positive and it also satisfied the Buchdahl limit, i.e., which can be seen from Figure 8;
- From the graph, it is observed that the surface red-shift function, i.e., turned to be zero at and gradually increased with the increasing radial coordinate. In addition, it satisfied the Bohmer and Harko condition under the anisotropic configuration, i.e., ;
- In radial and tangential directions, we have defined two equation of state (EoS), namely and . It is noticed that the values of these EoS parameters remained positive inside the stellar object and also both assumed values less than 1 which can be seen from Figure 9;
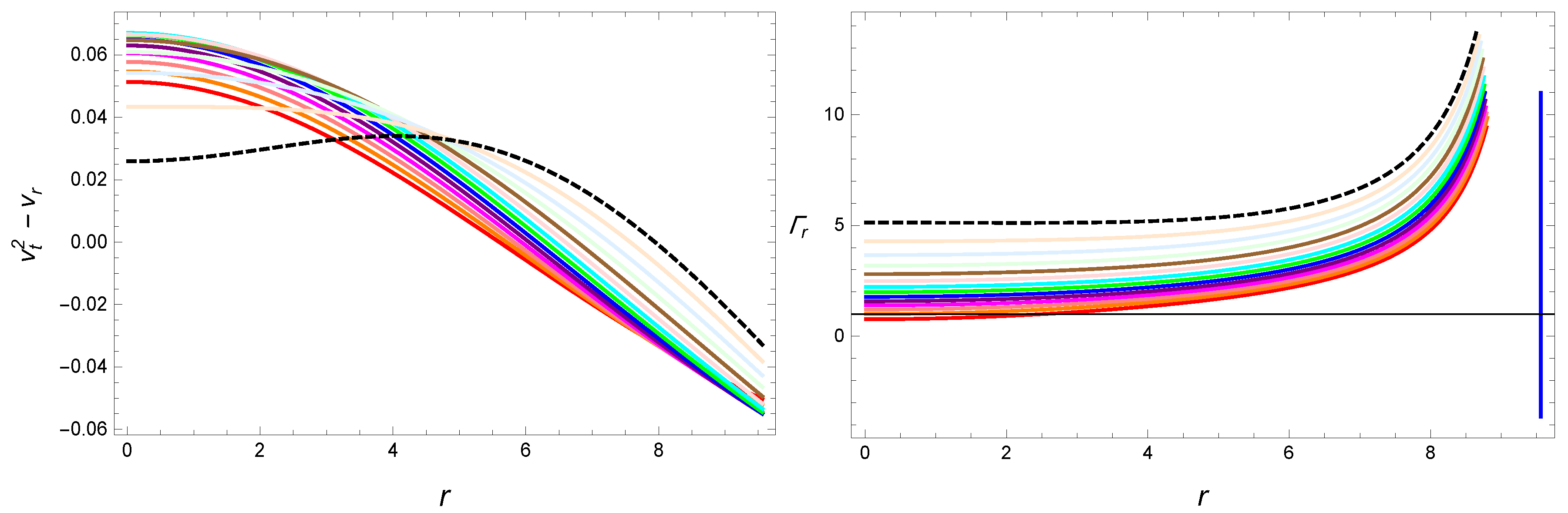
- It is expressed From the Table 2 and Figure 10 and Figure 11 that the radial and tangential speeds of sound for compact stars, which are denoted by and satisfied the necessary condition for , while for , these radial and tangential velocities are observed greater than 1, and consequently, violated the necessary condition. Further, the causality stability condition for is also violated for the present model;
- Tangential pressure profile has turned out as negative near the boundary, i.e., of astral objects. The negative tangential pressure components showed that our calculated solutions are non-realistic.
- The anisotropy function exhibited negative behavior throughout the configuration. The non-zero anisotropy function is a necessary requirement for the existence of realistic objects.
- The expression turned out to be inconsistent with the Abrea condition, i.e., .
- Likewise, the Adiabatic index, i.e., has also been incompatible with the condition .
Author Contributions
Funding
Acknowledgments
Conflicts of Interest
References
- Schwarzschild, K. Über das Gravitationsfeld einer Kugel aus inkompressibler Flüssigkeit nach der Einsteinschen Theorie. Sitz. Dtsch. Akad. Wiss. Math. Phys. Berl. 1916, 24, 424. [Google Scholar]
- Tolman, R.C. Static solutions of Einstein’s field equations for spheres of fluid. Phys. Rev. 1939, 55, 364. [Google Scholar] [CrossRef]
- Oppenheimer, J.R.; Volkoff, G.M. On massive neutron cores. Phys. Rev. 1939, 55, 374. [Google Scholar] [CrossRef]
- Oppenheimer, J.R.; Snyder, H. On continued gravitational contraction. Phys. Rev. 1939, 56, 455. [Google Scholar] [CrossRef]
- Jeans, J. The motions of stars in a Kapteyn universe. Mon. Not. R. Astron. Soc. 1922, 82, 122–132. [Google Scholar] [CrossRef]
- Lemaitre, G. L’univers en expansion. Ann. Soc. Sci. Brux. A 1937, 10, 1–19. [Google Scholar]
- Bowers, R.L.; Liang, E.P.T. Anisotropic spheres in general relativity. Astrophys. J. 1974, 188, 657. [Google Scholar] [CrossRef]
- Ruderman, R. Pulsars: Structure and dynamics. Annu. Rev. Astron. Astrophys. 1972, 10, 427–476. [Google Scholar] [CrossRef]
- Dev, K.; Gleiser, M. Anisotropic Stars: Exact Solutions. Gen. Relat. Gravit. 2002, 34, 1793–1818. [Google Scholar] [CrossRef]
- Herrera, L.; Santos, N.O. Local anisotropy in self-gravitating systems. Phys. Rep. 1997, 286, 53–130. [Google Scholar] [CrossRef]
- Riess, A.G.; Filippenko, A.V.; Challis, P.; Clocchiatti, A.; Diercks, A.; Garnavich, P.M.; Gilliland, R.L.; Hogan, C.J.; Jha, S.; Kirshner, R.P.; et al. Observational evidence from supernovae for an accelerating universe and a cosmological constant. Astron. J. 1998, 116, 1009. [Google Scholar] [CrossRef]
- Perlmutter, S.; Aldering, G.; Goldhaber, G.; Knop, R.A.; Nugent, P.; Castro, P.G.; Deustua, S.; Fabbro, S.; Goobar, A.; Groom, D.E.; et al. Measurements of Ω and Λ from 42 high-redshift supernovae. Astrophys. J. 1999, 517, 565. [Google Scholar] [CrossRef]
- de Bernardis, P.; Ade, P.A.; Bock, J.J.; Bond, J.R.; Borrill, J.; Boscaleri, A.; Coble, K.; Crill, B.P.; De Gasperis, G.; Farese, P.C.; et al. A flat Universe from high-resolution maps of the cosmic microwave background radiation. Nature 2000, 6781, 955–959. [Google Scholar] [CrossRef] [PubMed]
- Knop, R.A.; Aldering, G.; Amanullah, R.; Astier, P.; Blanc, G.; Burns, M.S.; Conley, A.; Deustua, S.E.; Doi, M.; Ellis, R.; et al. New constraints on ΩM, ΩΛ, and w from an independent set of 11 high-redshift supernovae observed with the Hubble Space Telescope. Astrophys. J. 2003, 598, 102. [Google Scholar] [CrossRef]
- Capozziello, S.; De Laurentis, M. Extended theories of gravity. Phys. Rep. 2011, 509, 167–321. [Google Scholar] [CrossRef]
- Capozziello, S.; De Laurentis, M. The dark matter problem from f(, ) gravity viewpoint. Ann. Phys. 2012, 524, 545–578. [Google Scholar] [CrossRef]
- Starobinksy, A.A. A New Type of Isotropic Cosmological Models Without Singularity. Phys. Lett. B 1980, 91, 99–102. [Google Scholar] [CrossRef]
- Bhawal, B.; Kar, S. Lorentzian wormholes in Einstein-Gauss-Bonnet theory. Phys. Rev. D 1992, 46, 2464. [Google Scholar] [CrossRef]
- Rahaman, F.; Kalam, M.; Ghosh, A. Existence of wormholes in Einstein-Kalb-Ramond space time. arXiv 2006, arXiv:gr-qc/0605095. [Google Scholar]
- Chakraborty, S.; Bandyopadhyay, T. Wormhole and its analogue in brane world. arXiv 2008, arXiv:0707.1181. [Google Scholar]
- Ferraro, R.; Fiorini, F. Modified teleparallel gravity: Inflation without an inflaton. Phys. Rev. D 2007, 75, 084031. [Google Scholar] [CrossRef]
- Sharif, M.; Waheed, S. Energy conditions in a generalized second-order scalar-tensor gravity. Adv. High Energy Phys. 2013, 2013. [Google Scholar] [CrossRef]
- Kofinas, G.; Saridakis, N.E. Teleparallel equivalent of Gauss-Bonnet gravity and its modifications. Phys. Rev. D 2014, 90, 084044. [Google Scholar] [CrossRef]
- Zubair, M.; Kousar, F. Cosmological reconstruction and energy bounds in f(R, RαβRαβ, ϕ) gravity. Eur. Phys. J. C 2016, 76, 254. [Google Scholar] [CrossRef]
- Ketov, S.V. Modified supergravity and early universe: The meeting point of cosmology and high-energy physics. Int. J. Mod. Phys. A 2013, 28, 1330021. [Google Scholar] [CrossRef]
- Harko, T.; Lobo, F.S.N.; Nojiri, S.; Odintsov, S.D. f(, ) gravity. Phys. Rev. D. 2011, 84, 024020. [Google Scholar] [CrossRef]
- Jamil, M.; Momeni, D.; Myrzakulov, R. Attractor solutions in f(, ) cosmology. Eur. Phys. J. C. 2012, 72, 1959. [Google Scholar] [CrossRef]
- Jamil, M.; Momeni, D.; Myrzakulov, R. Violation of the First Law of Thermodynamics in f(, ) Gravity. Chin. Phys. Lett. 2012, 29, 109801. [Google Scholar] [CrossRef]
- Shabani, H.; Farhoudi, M. f(, ) cosmological models in phase space. Phys. Rev. D 2013, 88, 044048. [Google Scholar] [CrossRef]
- Shabani, H.; Farhoudi, M. Cosmological and solar system consequences of f(, ) gravity models. Phys. Rev. D 2014, 90, 44031. [Google Scholar] [CrossRef]
- Moraes, P.H.R.S. Cosmological solutions from induced matter model applied to 5D gravity and the shrinking of the extra coordinate. Eur. Phys. J. C 2015, 75, 168. [Google Scholar] [CrossRef]
- Sharif, M.; Yousaf, Z. Dynamical analysis of self-gravitating stars in f(, ) gravity. Astrophys. Space Sci. 2014, 354, 471–479. [Google Scholar] [CrossRef]
- Zubair, M.; Abbas, G.; Noureen, I. Possible formation of compact stars in gravity. Astrophys. Space Sci. 2016, 361, 8. [Google Scholar] [CrossRef]
- Alhamzawi, A.; Alhamzawi, R. Gravitational lensing by f(, ) gravity Int. J. Mod. Phys. D 2016, 25, 1650020. [Google Scholar] [CrossRef]
- Moraes, P.H.R.S.; Arbañil, J.D.; Malheiro, M. Stellar equilibrium configurations of compact stars in f(R, T) theory of gravity. J. Cosmol. Astropart. Phys. 2016, 6, 5. [Google Scholar] [CrossRef]
- Das, A.; Rahaman, F.; Guha, B.K.; Ray, S. Compact stars f(, ) gravity. Eur. Phys. J. C 2016, 76, 654. [Google Scholar] [CrossRef]
- Karmarkar, K.R. Gravitational metrics of spherical symmetry and class one. Proc. Indian Acad. Sci. A 1948, 27, 56. [Google Scholar] [CrossRef]
- Komathiraj, K.; Maharaj, S.D. Classes of exact Einstein–Maxwell solutions. Gen. Relat. Gravit. 2007, 39, 2079–2093. [Google Scholar] [CrossRef]
- Ivanov, B.V. Collapsing shear-free perfect fluid spheres with heat flow. Gen. Relat. Gravit. 2012, 44, 1835–1855. [Google Scholar] [CrossRef]
- Ivanov, B.V. A conformally flat realistic anisotropic model for a compact star. Eur. Phys. J. C 2018, 78, 332. [Google Scholar] [CrossRef]
- Bhar, P.; Singh, K.N.; Pant, N. Compact star modeling with quadratic equation of state in Tolman VII space–time. Indian J. Phys. 2017, 91, 701–709. [Google Scholar] [CrossRef]
- Bhar, P.; Singh, K.N.; Rahaman, F.; Pant, N.; Banerjee, S. A charged anisotropic well-behaved Adler–Finch–Skea solution satisfying Karmarkar condition. Int. J. Mod. Phys. D 2017, 26, 1750078. [Google Scholar] [CrossRef]
- Maurya, S.K.; Gupta, Y.K.; Ray, S.; Deb, D. Generalised model for anisotropic compact stars. Eur. Phys. J. C 2016, 76, 693. [Google Scholar] [CrossRef]
- Maurya, S.K.; Gupta, Y.K.; Smith, T.T.; Rahaman, F. A new exact anisotropic solution of embedding class one. Eur. Phys. J. A 2016, 52, 191. [Google Scholar] [CrossRef]
- Maurya, S.K.; Gupta, Y.K.; Ray, S.; Deb, D. A new model for spherically symmetric charged compact stars of embedding class 1. Eur. Phys. J. C 2017, 77, 45. [Google Scholar] [CrossRef]
- Singh, K.N.; Bhar, P.; Pant, N. A new solution of embedding class I representing anisotropic fluid sphere in general relativity. Int. J. Mod. Phys. D 2016, 25, 1650099. [Google Scholar] [CrossRef]
- Singh, K.N.; Pant, N.; Govender, A.M. Anisotropic compact stars in Karmarkar spacetime. Chin. Phys. C 2017, 41, 015103. [Google Scholar] [CrossRef]
- Singh, K.N.; Pant, N. A family of well-behaved Karmarkar spacetime describing interior of relativistic stars. Astrophys. Space Sci. 2016, 361, 173. [Google Scholar] [CrossRef]
- Singh, K.N.; Bhar, P.; Pant, N. Solutions of the Einstein’s field equations with anisotropic pressure compatible with cold star model. Astrophys. Space Sci. 2016, 361, 339. [Google Scholar] [CrossRef]
- Rahaman, F.; Chakraborty, K.; Kuhfittig, P.K.F.; Shit, G.C.; Rahman, M. A new deterministic model of strange stars. Eur. Phys. J. C 2014, 74, 3126. [Google Scholar] [CrossRef]
- Malaver, M. Strange Quark Star Model with Quadratic Equation of State. Math. Appl. 2014, 1, 9–15. [Google Scholar]
- Herrera, L.; Barreto, W. General relativistic polytropes for anisotropic matter: The general formalism and applications. Phys. Rev. D 2013, 88, 084022. [Google Scholar] [CrossRef]
- Mustafa, G.; Zubair, M.; Waheed, S.; Xia, T. Realistic stellar anisotropic model satisfying Karmarker condition in f(R, T) gravity. Phys. J. C 2020, 80, 26. [Google Scholar]
- Singh, K.N.; Pant, N.; Tewari, N.; Aria, A.K. Embedded class solutions compatible for physical compact stars in general relativity. Eur. Phys. J. A 2018, 54, 77. [Google Scholar] [CrossRef]
- Buchdahl, H.A. General relativistic fluid spheres. Phys. Rev. D 1959, 116, 1027. [Google Scholar] [CrossRef]
- Bohmer, C.G.; Harko, T. Bounds on the basic physical parameters for anisotropic compact general relativistic objects. Class. Quantum Gravit. 2006, 23, 6479. [Google Scholar] [CrossRef]
- Abreu, H.; Hernandez, H.; Nunez, L.A. Sound speeds, cracking and the stability of self-gravitating anisotropic compact objects. Class. Quantum Gravit. 2007, 24, 4631. [Google Scholar] [CrossRef]






















| n | c | A | B | |
|---|---|---|---|---|
| 1.8 | 0.00711 | 3.48530 | 0.04329 | 0.48013 |
| 2.2 | 0.00686 | −4.27640 | 0.04342 | 0.50382 |
| 2.6 | 0.00663 | −1.36860 | 0.04355 | 0.52824 |
| 3.0 | 0.00639 | −0.62393 | 0.04368 | 0.55319 |
| 3.4 | 0.00618 | −0.12125 | 0.04381 | 0.55319 |
| 3.8 | 0.00596 | 0.92485 | 0.04394 | 0.60458 |
| 4.2 | 0.00576 | −1.41630 | 0.04407 | 0.63089 |
| 4.6 | 0.00556 | −0.46114 | 0.04421 | 0.65790 |
| 5.0 | 0.00537 | −0.18517 | 0.04433 | 0.68546 |
| 5.4 | 0.00518 | 0.00922 | 0.04447 | 0.71351 |
| 5.8 | 0.00500 | 0.36662 | 0.04466 | 0.74225 |
| 6.2 | 0.00483 | −0.33038 | 0.04474 | 0.77137 |
| 6.6 | 0.00467 | −0.00888 | 0.04487 | 0.80142 |
| 7.0 | 0.00451 | 0.09896 | 0.04502 | 0.83202 |
| Expressions | |||
|---|---|---|---|
| , satisfied | , satisfied | ||
| , satisfied | , satisfied | ||
| , satisfied | , satisfied | ||
| , satisfied | , satisfied | ||
| , satisfied | , satisfied | ||
| , satisfied | , satisfied | ||
| and | forces are Balance | forces are Balance | |
| , satisfied | , satisfied | ||
| , satisfied | , satisfied | ||
| , satisfied | , satisfied | ||
| , satisfied | , satisfied | ||
| satisfied | satisfied | ||
| , satisfied | , satisfied | ||
| , satisfied | , satisfied | ||
| , satisfied | , satisfied | ||
| , satisfied | , not-satisfied | ||
| , satisfied | , not-satisfied | ||
| , satisfied | , satisfied | ||
| , satisfied | , satisfied |
| n | c | A | B | |
|---|---|---|---|---|
| 1.8 | 0.00710 | 4.870026 | 0.065561 | 9.2046 |
| 2.2 | 0.00686 | −6.929210 | 0.066135 | 9.5856 |
| 2.6 | 0.00662 | −2.519258 | 0.066720 | 9.9767 |
| 3.0 | 0.00639 | −1.391169 | 0.067316 | 10.3777 |
| 3.4 | 0.00617 | −0.624852 | 0.067922 | 10.7924 |
| 3.8 | 0.00596 | 0.998392 | 0.068539 | 11.2200 |
| 4.2 | 0.00576 | −2.674653 | 0.069167 | 11.6628 |
| 4.6 | 0.00556; | −1.187836 | 0.069807 | 12.1187 |
| 5.0 | 0.00537 | −0.761750 | 0.070459 | 12.5898 |
| 5.4 | 0.00518 | −0.460970 | 0.071123 | 13.0764 |
| 5.8 | 0.00500 | 0.071800 | 0.106334 | 13.5785 |
| 6.2 | 0.00483 | −1.027555 | 0.072490 | 14.0983 |
| 6.6 | 0.00467 | −0.515308 | 0.073193 | 14.6350 |
| 7.0 | 0.00451 | −0.346781 | 0.073911 | 15.1897 |
© 2020 by the authors. Licensee MDPI, Basel, Switzerland. This article is an open access article distributed under the terms and conditions of the Creative Commons Attribution (CC BY) license (http://creativecommons.org/licenses/by/4.0/).
Share and Cite
Waheed, S.; Mustafa, G.; Zubair, M.; Ashraf, A. Physically Acceptable Embedded Class-I Compact Stars in Modified Gravity with Karmarkar Condition. Symmetry 2020, 12, 962. https://doi.org/10.3390/sym12060962
Waheed S, Mustafa G, Zubair M, Ashraf A. Physically Acceptable Embedded Class-I Compact Stars in Modified Gravity with Karmarkar Condition. Symmetry. 2020; 12(6):962. https://doi.org/10.3390/sym12060962
Chicago/Turabian StyleWaheed, Saira, Ghulam Mustafa, Muhammad Zubair, and Asifa Ashraf. 2020. "Physically Acceptable Embedded Class-I Compact Stars in Modified Gravity with Karmarkar Condition" Symmetry 12, no. 6: 962. https://doi.org/10.3390/sym12060962
APA StyleWaheed, S., Mustafa, G., Zubair, M., & Ashraf, A. (2020). Physically Acceptable Embedded Class-I Compact Stars in Modified Gravity with Karmarkar Condition. Symmetry, 12(6), 962. https://doi.org/10.3390/sym12060962
