Stability and Dynamics of Viscoelastic Moving Rayleigh Beams with an Asymmetrical Distribution of Material Parameters
Abstract
1. Introduction
2. Mathematical Modeling
3. Discretization Technique
4. Stability Examination
5. Results and Discussion
5.1. Model Verification
5.2. Effect of Elastic Modulus Variation
5.3. Effect of Density Variation
5.4. Effect of Simultaneous Elastic Modulus and Density Variations
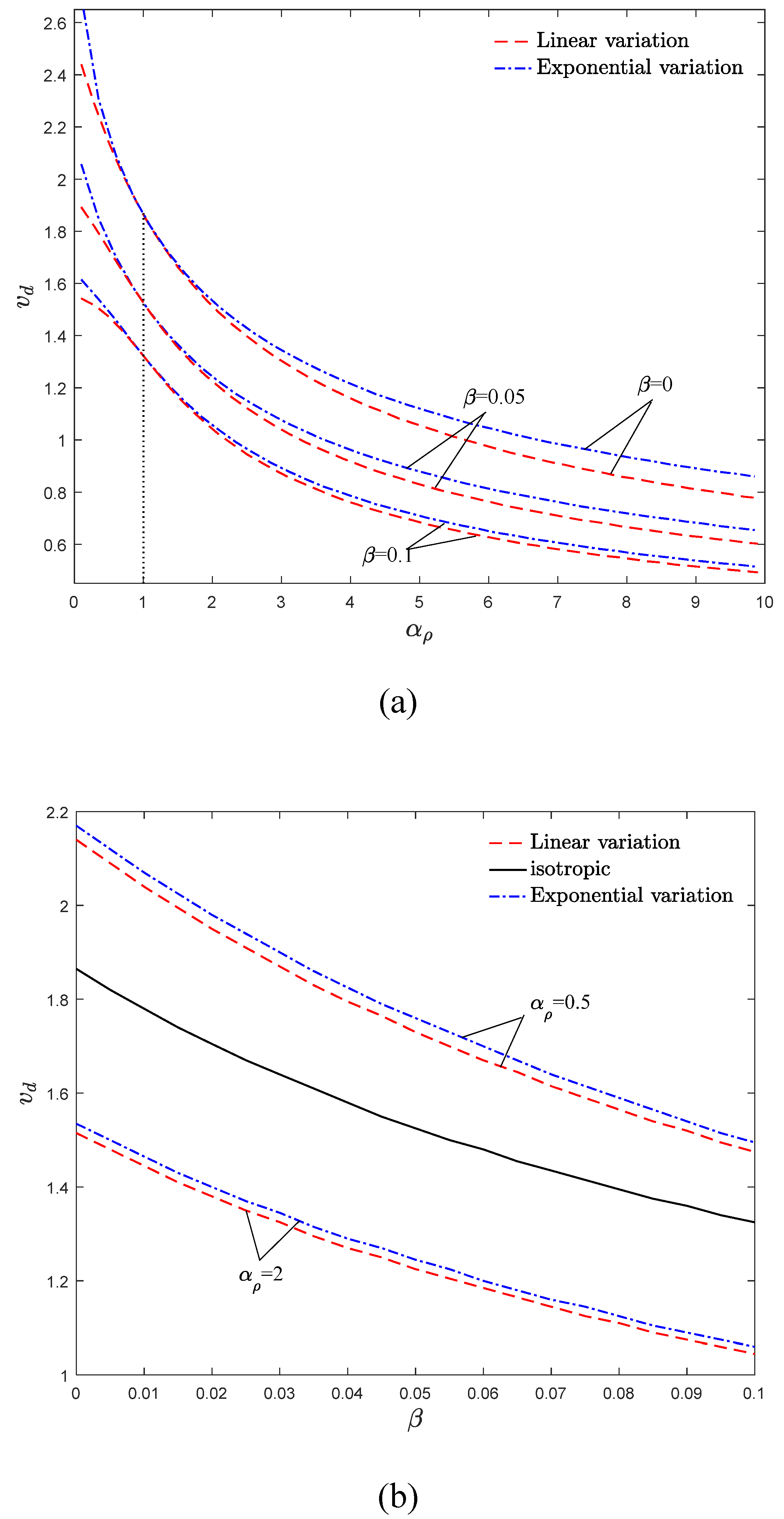
5.5. Effect of Viscoelastic Material
6. Conclusions
- Increasing the density/elastic modulus gradient parameter has a destabilizing/stabilizing effect on axially moving beams. Compared with isotropic axially moving beams, the system is more stable when density/elastic modulus decreases/increases along the axial direction.
- In the case of density/elastic modulus variation, exponential/linear distribution leads to a more stable system.
- In the case of simultaneous axial variation of elastic modulus and density, the effect of density gradation on the vibrational configuration of the system is dominant.
- The higher flexural stiffness, and the lower rotary inertia factor, the more stable the structure becomes. Moreover, the influence of axial material gradation on the stability boundaries of the system is more tangible at higher and lower values of flexural stiffness and rotary inertia factor.
- Compared with isotropic and moving axially graded beams, utilizing the viscoelastic material changes the stability evolution of the system.
Author Contributions
Funding
Conflicts of Interest
References
- Chen, L.-Q. Analysis and control of transverse vibrations of axially moving strings. Appl. Mech. Rev. 2005, 58, 91–116. [Google Scholar] [CrossRef]
- Marynowski, K.; Kapitaniak, T. Dynamics of axially moving continua. Int. J. Mech. Sci. 2014, 81, 26–41. [Google Scholar] [CrossRef]
- Stylianou, M.; Tabarrok, B. Finite element analysis of an axially moving beam, part II: Stability analysis. J. Sound Vib. 1994, 178, 455–481. [Google Scholar] [CrossRef]
- Sreeram, T.; Sivaneri, N. FE-analysis of a moving beam using Lagrangian multiplier method. Int. J. Solids Struct. 1998, 35, 3675–3694. [Google Scholar] [CrossRef]
- Wickert, J. Non-linear vibration of a traveling tensioned beam. Int. J. Non-Linear Mech. 1992, 27, 503–517. [Google Scholar] [CrossRef]
- Ghayesh, M.H.; Amabili, M. Post-buckling bifurcations and stability of high-speed axially moving beams. Int. J. Mech. Sci. 2013, 68, 76–91. [Google Scholar] [CrossRef]
- Chen, L.-Q.; Yang, X.-D. Vibration and stability of an axially moving viscoelastic beam with hybrid supports. Eur. J. Mech. A Solids 2006, 25, 996–1008. [Google Scholar] [CrossRef]
- Guo, X.-X.; Wang, Z.-M.; Wang, Y.; Zhou, Y.-F. Analysis of the coupled thermoelastic vibration for axially moving beam. J. Sound Vib. 2009, 325, 597–608. [Google Scholar] [CrossRef]
- Öz, H.; Pakdemirli, M. Vibrations of an axially moving beam with time-dependent velocity. J. Sound Vib. 1999, 227, 239–257. [Google Scholar] [CrossRef]
- Yang, T.; Fang, B.; Yang, X.-D.; Li, Y. Closed-form approximate solution for natural frequency of axially moving beams. Int. J. Mech. Sci. 2013, 74, 154–160. [Google Scholar] [CrossRef]
- Chen, L.-Q.; Yang, X.-D.; Cheng, C.-J. Dynamic stability of an axially accelerating viscoelastic beam. Eur. J. Mech. A Solids 2004, 23, 659–666. [Google Scholar] [CrossRef]
- Kiani, K. Divergence and flutter instabilities of nanobeams in moving state accounting for surface and shear effects. Comput. Math. Appl. 2019, 77, 2764–2785. [Google Scholar] [CrossRef]
- Kiani, K. Longitudinal, transverse, and torsional vibrations and stabilities of axially moving single-walled carbon nanotubes. Curr. Appl. Phys. 2013, 13, 1651–1660. [Google Scholar] [CrossRef]
- Chang, J.-R.; Lin, W.-J.; Huang, C.-J.; Choi, S.-T. Vibration and stability of an axially moving Rayleigh beam. Appl. Math. Model. 2010, 34, 1482–1497. [Google Scholar] [CrossRef]
- Zinati, R.F.; Rezaee, M.; Lotfan, S. Nonlinear Vibration and Stability Analysis of Viscoelastic Rayleigh Beams Axially Moving on a Flexible Intermediate Support. Iran. J. Sci. Technol. Trans. Mech. Eng. 2019, 1–15. [Google Scholar] [CrossRef]
- Tang, Y.-Q.; Chen, L.-Q.; Yang, X.-D. Natural frequencies, modes and critical speeds of axially moving Timoshenko beams with different boundary conditions. Int. J. Mech. Sci. 2008, 50, 1448–1458. [Google Scholar] [CrossRef]
- An, C.; Su, J. Dynamic response of axially moving Timoshenko beams: Integral transform solution. Appl. Math. Mech. 2014, 35, 1421–1436. [Google Scholar] [CrossRef]
- Zhu, K.; Chung, J. Vibration and stability analysis of a simply-supported Rayleigh beam with spinning and axial motions. Appl. Math. Model. 2019, 66, 362–382. [Google Scholar] [CrossRef]
- Dehrouyeh-Semnani, A.M.; Dehrouyeh, M.; Zafari-Koloukhi, H.; Ghamami, M. Size-dependent frequency and stability characteristics of axially moving microbeams based on modified couple stress theory. Int. J. Eng. Sci. 2015, 97, 98–112. [Google Scholar] [CrossRef]
- Fard, M.; Sagatun, S. Exponential stabilization of a transversely vibrating beam via boundary control. J. Sound Vib. 2001, 240, 613–622. [Google Scholar] [CrossRef]
- Zhang, Y.-W.; Hou, S.; Xu, K.-F.; Yang, T.-Z.; Chen, L.-Q. Forced vibration control of an axially moving beam with an attached nonlinear energy sink. Acta Mech. Solida Sin. 2017, 30, 674–682. [Google Scholar] [CrossRef]
- Li, T.-C.; Hou, Z.-C.; Li, J.-F. Stabilization analysis of a generalized nonlinear axially moving string by boundary velocity feedback. Automatica 2008, 44, 498–503. [Google Scholar] [CrossRef]
- Zhang, Y.-W.; Zhang, Z.; Chen, L.-Q.; Yang, T.-Z.; Fang, B.; Zang, J. Impulse-induced vibration suppression of an axially moving beam with parallel nonlinear energy sinks. Nonlinear Dyn. 2015, 82, 61–71. [Google Scholar] [CrossRef]
- Sarparast, H.; Ebrahimi-Mamaghani, A. Vibrations of laminated deep curved beams under moving loads. Compos. Struct. 2019, 226, 111262. [Google Scholar] [CrossRef]
- Sedighi, H.M.; Daneshmand, F.; Abadyan, M. Dynamic instability analysis of electrostatic functionally graded doubly-clamped nano-actuators. Compos. Struct. 2015, 124, 55–64. [Google Scholar] [CrossRef]
- Hosseini, R.; Hamedi, M.; Mamaghani, A.E.; Kim, H.C.; Kim, J.; Dayou, J. Parameter identification of partially covered piezoelectric cantilever power scavenger based on the coupled distributed parameter solution. Int. J. Smart Nano Mater. 2017, 8, 110–124. [Google Scholar] [CrossRef]
- Li, Y.; Dong, Y.; Qin, Y.; Lv, H. Nonlinear forced vibration and stability of an axially moving viscoelastic sandwich beam. Int. J. Mech. Sci. 2018, 138, 131–145. [Google Scholar] [CrossRef]
- Ghayesh, M.H. On the natural frequencies, complex mode functions, and critical speeds of axially traveling laminated beams: Parametric study. Acta Mech. Solida Sin. 2011, 24, 373–382. [Google Scholar] [CrossRef]
- Lv, H.; Li, Y.; Li, L.; Liu, Q. Transverse vibration of viscoelastic sandwich beam with time-dependent axial tension and axially varying moving velocity. Appl. Math. Model. 2014, 38, 2558–2585. [Google Scholar] [CrossRef]
- Esfahani, S.; Khadem, S.E.; Mamaghani, A.E. Size-dependent nonlinear vibration of an electrostatic nanobeam actuator considering surface effects and inter-molecular interactions. Int. J. Mech. Mater. Des. 2019, 15, 489–505. [Google Scholar] [CrossRef]
- Mirtalebi, S.H.; Ebrahimi-Mamaghani, A.; Ahmadian, M.T. Vibration Control and Manufacturing of Intelligibly Designed Axially Functionally Graded Cantilevered Macro/Micro-tubes. IFAC Pap. 2019, 52, 382–387. [Google Scholar] [CrossRef]
- Ebrahimi-Mamaghani, A.; Mirtalebi, S.H.; Ahmadian, M.-T. Magneto-mechanical stability of axially functionally graded supported nanotubes. Mater. Res. Express 2020, 6, 1250–1255. [Google Scholar] [CrossRef]
- Ebrahimi-Mamaghani, A.; Sotudeh-Gharebagh, R.; Zarghami, R.; Mostoufi, N. Thermo-mechanical stability of axially graded Rayleigh pipes. Mech. Based Des. Struct. Mach. 2020, 1–30. [Google Scholar] [CrossRef]
- Safarpour, M.; Rahimi, A.; Alibeigloo, A.; Bisheh, H.; Forooghi, A. Parametric study of three-dimensional bending and frequency of FG-GPLRC porous circular and annular plates on different boundary conditions. Mech. Based Des. Struct. Mach. 2019, 1–31. [Google Scholar] [CrossRef]
- Safarpour, M.; Rahimi, A.; Alibeigloo, A. Static and free vibration analysis of graphene platelets reinforced composite truncated conical shell, cylindrical shell, and annular plate using theory of elasticity and DQM. Mech. Based Des. Struct. Mach. 2019, 1–29. [Google Scholar] [CrossRef]
- Piovan, M.T.; Sampaio, R. Vibrations of axially moving flexible beams made of functionally graded materials. Thin Walled Struct. 2008, 46, 112–121. [Google Scholar] [CrossRef]
- Sui, S.; Chen, L.; Li, C.; Liu, X. Transverse vibration of axially moving functionally graded materials based on Timoshenko beam theory. Math. Probl. Eng. 2015, 2015, 391452. [Google Scholar] [CrossRef]
- Kiani, K. Longitudinal and transverse instabilities of moving nanoscale beam-like structures made of functionally graded materials. Compos. Struct. 2014, 107, 610–619. [Google Scholar] [CrossRef]
- Yan, T.; Yang, T.; Chen, L. Direct Multiscale Analysis of Stability of an Axially Moving Functionally Graded Beam with Time-Dependent Velocity. Acta Mech. Solida Sin. 2020, 33, 150–163. [Google Scholar] [CrossRef]
- Rezaee, M.; Lotfan, S. Non-linear nonlocal vibration and stability analysis of axially moving nanoscale beams with time-dependent velocity. Int. J. Mech. Sci. 2015, 96, 36–46. [Google Scholar] [CrossRef]
- Ghayesh, M.H. Nonlinear forced dynamics of an axially moving viscoelastic beam with an internal resonance. Int. J. Mech. Sci. 2011, 53, 1022–1037. [Google Scholar] [CrossRef]
- Mamaghani, A.E.; Zohoor, H.; Firoozbakhsh, K.; Hosseini, R. Dynamics of a Running Below-Knee Prosthesis Compared to Those of a Normal Subject. J. Solid Mech. Vol. 2013, 5, 152–160. [Google Scholar]
- Mirtalebi, S.H.; Ahmadian, M.T.; Ebrahimi-Mamaghani, A. On the dynamics of micro-tubes conveying fluid on various foundations. SN Appl. Sci. 2019, 1, 547. [Google Scholar] [CrossRef]
- Mamaghani, A.E.; Khadem, S.; Bab, S. Vibration control of a pipe conveying fluid under external periodic excitation using a nonlinear energy sink. Nonlinear Dyn. 2016, 86, 1761–1795. [Google Scholar] [CrossRef]
- Mamaghani, A.E.; Khadem, S.E.; Bab, S.; Pourkiaee, S.M. Irreversible passive energy transfer of an immersed beam subjected to a sinusoidal flow via local nonlinear attachment. Int. J. Mech. Sci. 2018, 138, 427–447. [Google Scholar] [CrossRef]
- Ebrahimi-Mamaghani, A.; Sotudeh-Gharebagh, R.; Zarghami, R.; Mostoufi, N. Dynamics of two-phase flow in vertical pipes. J. Fluids Struct. 2019, 87, 150–173. [Google Scholar] [CrossRef]
- Esfahani, S.; Khadem, S.E.; Mamaghani, A.E. Nonlinear vibration analysis of an electrostatic functionally graded nano-resonator with surface effects based on nonlocal strain gradient theory. Int. J. Mech. Sci. 2019, 151, 508–522. [Google Scholar] [CrossRef]
- Wickert, J.; Mote, C., Jr. Classical vibration analysis of axially moving continua. J. Appl. Mech. 1990, 57, 738–744. [Google Scholar] [CrossRef]
















© 2020 by the authors. Licensee MDPI, Basel, Switzerland. This article is an open access article distributed under the terms and conditions of the Creative Commons Attribution (CC BY) license (http://creativecommons.org/licenses/by/4.0/).
Share and Cite
Shariati, A.; Jung, D.w.; Mohammad-Sedighi, H.; Żur, K.K.; Habibi, M.; Safa, M. Stability and Dynamics of Viscoelastic Moving Rayleigh Beams with an Asymmetrical Distribution of Material Parameters. Symmetry 2020, 12, 586. https://doi.org/10.3390/sym12040586
Shariati A, Jung Dw, Mohammad-Sedighi H, Żur KK, Habibi M, Safa M. Stability and Dynamics of Viscoelastic Moving Rayleigh Beams with an Asymmetrical Distribution of Material Parameters. Symmetry. 2020; 12(4):586. https://doi.org/10.3390/sym12040586
Chicago/Turabian StyleShariati, Ali, Dong won Jung, Hamid Mohammad-Sedighi, Krzysztof Kamil Żur, Mostafa Habibi, and Maryam Safa. 2020. "Stability and Dynamics of Viscoelastic Moving Rayleigh Beams with an Asymmetrical Distribution of Material Parameters" Symmetry 12, no. 4: 586. https://doi.org/10.3390/sym12040586
APA StyleShariati, A., Jung, D. w., Mohammad-Sedighi, H., Żur, K. K., Habibi, M., & Safa, M. (2020). Stability and Dynamics of Viscoelastic Moving Rayleigh Beams with an Asymmetrical Distribution of Material Parameters. Symmetry, 12(4), 586. https://doi.org/10.3390/sym12040586

