A Nonlinear Convergence Consensus: Extreme Doubly Stochastic Quadratic Operators for Multi-Agent Systems
Abstract
1. Introduction
2. Background, Methods and Theoretical Result
- Create n agents.
- Initialize the statuses of the agents with random values [0, 1].
- Create a connection among the agents through a transition matrix for each agent; each matrix should include n*n of agents, and be under the condition of Equation (5).
- Evaluate the new agent statuses via Equation (2).
- If these new statuses are fixed, then proceed to step 7.
- Otherwise, go to step 4 and repeat the evaluation with new statuses until step 5 is complete.
- Stop.
3. Discussion and Numerical Solution
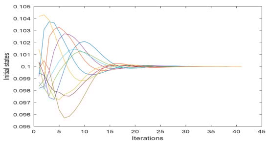
- Considering three (3) agents, the simulation result in this example presents Theorem 1.:
- 2
- Considering three (3) agents, the simulation result in this example presents Theorems 2 and 3:
- 3
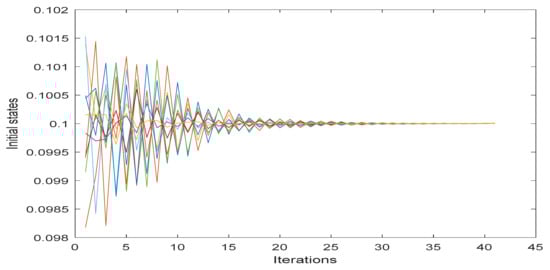
- Considering ten (10) agents, the simulation result demonstrates that EDSQO has reached consensus:
- 4
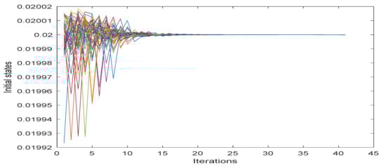
- Considering 50 agents, the simulation result in this example presents that EDSQO has reached consensus.
- 5
- Considering 100 agents, the simulation result in this example demonstrates that EDSQO has reached consensus.
4. Conclusions
Supplementary Materials
Author Contributions
Funding
Acknowledgments
Conflicts of Interest
Appendix A
References
- Ren, W.; Beard, R.W.; Atkins, E.M. A survey of consensus problems in multi-agent coordination. In Proceedings of the 2005 American Control Conference, Portland, OR, USA, 8–10 June 2005; pp. 1859–1864. [Google Scholar]
- Shi, G.; Johansson, K.H.; Hong, Y. Reaching an optimal consensus: Dynamical systems that compute intersections of convex sets. IEEE Trans. Autom. Control 2013, 58, 610–622. [Google Scholar] [CrossRef]
- Lin, Z.; Francis, B.; Maggiore, M. State agreement for continuous-time coupled nonlinear systems. SIAM J. Control Optim. 2007, 46, 288–307. [Google Scholar] [CrossRef]
- Vicsek, T.; Czirók, A.; Ben-Jacob, E.; Cohen, I.; Shochet, O. Novel type of phase transition in a system of self-driven particles. Phys. Rev. Lett. 1995, 75, 1226. [Google Scholar] [CrossRef]
- Tsitsiklis, J.; Bertsekas, D.; Athans, M. Distributed asynchronous deterministic and stochastic gradient optimization algorithms. IEEE Trans. Autom. Control 1986, 31, 803–812. [Google Scholar] [CrossRef]
- Fax, J.A.; Murray, R.M. Information flow and cooperative control of vehicle formations. IEEE Trans. Autom. Control 2004, 49, 1465–1476. [Google Scholar] [CrossRef]
- Reynolds, C.W. Flocks, herds and schools: A distributed behavioral model. ACM SIGGRAPH Comput. Graph. 1987, 21, 25–34. [Google Scholar] [CrossRef]
- Shang, Y.; Bouffanais, R. Influence of the number of topologically interacting neighbors on swarm dynamics. Sci. Rep. 2014, 4, 4184. [Google Scholar] [CrossRef]
- Eisenberg, E.; Gale, D. Consensus of subjective probabilities: The pari-mutuel method. Ann. Math. Stat. 1959, 30, 165–168. [Google Scholar] [CrossRef]
- DeGroot, M.H. Reaching a consensus. J. Am. Stat. Assoc. 1974, 69, 118–121. [Google Scholar] [CrossRef]
- Berger, R.L. A necessary and sufficient condition for reaching a consensus using DeGroot’s method. J. Am. Stat. Assoc. 1981, 76, 415–418. [Google Scholar] [CrossRef]
- Jadbabaie, A.; Lin, J.; Morse, A.S. Coordination of groups of mobile autonomous agents using nearest neighbor rules. IEEE Trans. Autom. Control 2003, 48, 988–1001. [Google Scholar] [CrossRef]
- Saber, R.O.; Murray, R.M. Consensus protocols for networks of dynamic agents. In Proceedings of the 2003 American Control Conference, Denver, CO, USA, USA, 4–6 June 2003; IEEE: Piscatway, NJ, USA, 2003; pp. 951–956. [Google Scholar]
- Olfati-Saber, R.; Murray, R.M. Consensus problems in networks of agents with switching topology and time-delays. IEEE Trans. Autom. Control 2004, 49, 1520–1533. [Google Scholar] [CrossRef]
- Olfati-Saber, R.; Fax, J.A.; Murray, R.M. Consensus and cooperation in networked multi-agent systems. Proc. IEEE 2007, 95, 215–233. [Google Scholar] [CrossRef]
- Moreau, L. Stability of multiagent systems with time-dependent communication links. IEEE Trans. Autom. Control 2005, 50, 169–182. [Google Scholar] [CrossRef]
- Lyubich, Y.I.; Vulis, D.; Karpov, A.; Akin, E. Mathematical structures in population genetics. Biomathematics 1992, 22, 373. [Google Scholar]
- Tsitsiklis, J.N. Problems in Decentralized Decision Making and Computation; Massachusetts Inst of Tech Cambridge Lab for Information and Decision Systems: Cambridge, MA, USA, 1984. [Google Scholar]
- Blondel, V.D.; Hendrickx, J.M.; Olshevsky, A.; Tsitsiklis, J.N. Convergence in multiagent coordination, consensus, and flocking. In Proceedings of the 44th IEEE Conference on Decision and Control, Seville, Spain, 15 December 2005; pp. 2996–3000. [Google Scholar]
- Olshevsky, A.; Tsitsiklis, J.N. Convergence speed in distributed consensus and averaging. SIAM Rev. 2011, 53, 747–772. [Google Scholar] [CrossRef]
- Nedić, A.; Ozdaglar, A. Convergence rate for consensus with delays. J. Glob. Optim. 2010, 47, 437–456. [Google Scholar] [CrossRef]
- Nedic, A.; Ozdaglar, A. Distributed subgradient methods for multi-agent optimization. IEEE Trans. Autom. Control 2009, 54, 48–61. [Google Scholar] [CrossRef]
- Xiao, L.; Boyd, S. Fast linear iterations for distributed averaging. Syst. Control Lett. 2004, 53, 65–78. [Google Scholar] [CrossRef]
- Kokotović, P.; Arcak, M. Constructive nonlinear control: A historical perspective. Automatica 2001, 37, 637–662. [Google Scholar] [CrossRef]
- Yu, W.; Chen, G.; Cao, M.; Kurths, J. Second-order consensus for multiagent systems with directed topologies and nonlinear dynamics. IEEE Trans. Syst. Man Cybern. Part B 2010, 40, 881–891. [Google Scholar]
- Bolouki, S. Linear Consensus Algorithms: Structural Properties and Connections with Markov Chains. Ph.D. Thesis, École Polytechnique de Montréal, Montréal, QC, Canada, 2014. [Google Scholar]
- Georgopoulos, L.; Hasler, M. Nonlinear average consensus. In Proceedings of the 2009 International Symposium on Nonlinear Theory and Its Applications, Sapporo, Japan, 19–21 October 2009; pp. 10–13. [Google Scholar]
- Roshanzamir, A.; Piltan, F.; Jahed, A.; Namvarchi, S.; Sulaiman, N.B.; Nazari, I. Research on Nonlinear Automation for First Order Delays System. Int. J. Hybrid Inf. Technol. 2015, 8, 313–328. [Google Scholar] [CrossRef]
- Schwarz, V.; Matz, G. Nonlinear average consensus based on weight morphing. In Proceedings of the 2012 IEEE International Conference on Acoustics, Speech and Signal Processing (ICASSP), Kyoto, Japan, 25–30 March 2012; pp. 3129–3132. [Google Scholar]
- Meng, D.; Jia, Y.; Du, J.; Zhang, J. On iterative learning algorithms for the formation control of nonlinear multi-agent systems. Automatica 2014, 50, 291–295. [Google Scholar] [CrossRef]
- Buşoniu, L.; Morărescu, I.C. Consensus for black-box nonlinear agents using optimistic optimization. Automatica 2014, 50, 1201–1208. [Google Scholar] [CrossRef]
- Abdulghafor, R.; Abdullah, S.S.; Turaev, S.; Othman, M. An overview of the consensus problem in the control of multi-agent systems. Automatika 2018, 59, 143–157. [Google Scholar] [CrossRef]
- Abdulghafor, R.; Abdullah, S.S.; Turaev, S.; Zeki, A.; Al-Shaikhli, I. Linear and nonlinear stochastic distribution for consensus problem in multi-agent systems. Neural Comput. Appl. 2018, 32, 261–277. [Google Scholar] [CrossRef]
- Abdulghafor, R.; Almotairi, S.; Almohamedh, H.; Turaev, S.; Almutairi, B. Nonlinear Consensus Protocol Modified from Doubly Stochastic Quadratic Operators in Networks of Dynamic Agents. Symmetry 2019, 11, 1519. [Google Scholar] [CrossRef]
- Abdulghafor, R.; Shahidi, F.; Zeki, A.; Turaev, S. Dynamics of doubly stochastic quadratic operators on a finite-dimensional simplex. Open Math. 2016, 14, 509–519. [Google Scholar] [CrossRef]
- Abdulghafor, R.; Abdullah, S.S.; Turaev, S.; Hassan, R. The nonlinear limit control of EDSQOs on finite dimensional simplex. Automatika 2019, 60, 404–412. [Google Scholar] [CrossRef]
- Abdulghafor, R.; Turaev, S. Consensus of fractional nonlinear dynamics stochastic operators for multi-agent systems. Inf. Fusion 2018, 44, 1–21. [Google Scholar] [CrossRef]
- Abdulghafor, R.; Turaev, S.; Zeki, A.; Abubaker, A. Nonlinear convergence algorithm: Structural properties with doubly stochastic quadratic operators for multi-agent systems. J. Artif. Intell. Soft Comput. Res. 2018, 8, 49–61. [Google Scholar] [CrossRef]
- Abdulghafor, R.; Turaev, S.; Tamrin, M.; Izzuddin, M. Nonlinear consensus for multi-agent systems using positive intractions of doubly stochastic quadratic operators. Int. J. Perceptive Cogn. Comput. 2016, 2, 19–22. [Google Scholar] [CrossRef]
- Abdulghafor, R.; Turaev, S.; Zeki, A. Necessary and Sufficient Conditions for Complementary Stochastic Quadratic Operators of Finite-Dimensional Simplex. Sukkur IBA J. Comput. Math. Sci. 2017, 1, 22–27. [Google Scholar] [CrossRef]
- Abdulghafor, R.; Turaev, S.; Abubakar, A.; Zeki, A. The extreme doubly stochastic quadratic operators on two dimensional simplex. In Proceedings of the 2015 4th International Conference on Advanced Computer Science Applications and Technologies (ACSAT), Kuala Lumpur, Malaysia, 8–10 December 2015; pp. 192–197. [Google Scholar]
- Abdulghafor, R.; Turaev, S.; Zeki, A. The Convergence Consensus of Multi-agent Systems Controlled via Doubly Stochastic Quadratic Operators. Int. J. Control 2018, 22, 1–21. [Google Scholar]
- Abdulghafor, R.; Turaev, S.; Izzuddin, M. Nonlinear Models for Distributed Consensus Modified from DSQO in Networks of Dynamic Agents. In Proceedings of the 4th International Conference on Mathematical Sciences, Kuala Lumpur, Malaysia, 8–10 December 2015. [Google Scholar]
- Helman, P.; Moret, B.M.E.; Shapiro, H.D. An exact characterization of greedy structures. SIAM J. Discret. Math. 1993, 6, 274–283. [Google Scholar] [CrossRef]
- Gąsieniec, L.; Wolter, F. Fundamentals of Computation Theory. In Proceedings of the 19th International Symposium, FCT 2013, Liverpool, UK, 19–21 August 2013; Volume 8070, ISBN 3642401643. [Google Scholar]
- Lawler, E.L. Submodular functions and polymatroid optimization. M. O’hEigeartaigh, JK Lenstra Ed. Comb. Optim. Annot. Bibliogr. 1985, 32–38. [Google Scholar]
- Lovász, L. Submodular functions and convexity. Math. Program. State Art 1982, 235–257. [Google Scholar]
- Parker, D.S.; Ram, P. Creed and Majorization; Computer Science Department, University of California. 1994. [Google Scholar]
- Bernstein, S. Solution of a mathematical problem connected with the theory of heredity. Ann. Math. Stat. 1942, 13, 53–61. [Google Scholar] [CrossRef]
- Vallander, S.S. On the limit behavior of iteration sequence of certain quadratic transformations. Soviet Math. Dokl. 1972, 13, 123–126. [Google Scholar]
- Marshall, A.W.; Olkin, I.; Arnold, B.C. Inequalities: Theory of Majorization and Its Applications; Academic Press: New York, NY, USA, 1979. [Google Scholar]
- Shahidi, F. On dissipative quadratic stochastic operators. ArXiv 2007, arXiv:0708.1813. Available online: https://arxiv.org/abs/0708.1813 (accessed on 3 April 2020).
- Ganikhodzhaev, R.; Shahidi, F. Doubly stochastic quadratic operators and Birkhoff’s problem. Linear Algebra Appl. 2010, 432, 24–35. [Google Scholar] [CrossRef][Green Version]
- Ganikhodzhaev, R.N. Quadratic stochastic operators, Lyapunov functions, and tournaments. Russ. Acad. Sci. Sb. Math. 1993, 76, 489. [Google Scholar] [CrossRef]
- Ando, T. Majorization, doubly stochastic matrices, and comparison of eigenvalues. Linear Algebra Appl. 1989, 118, 163–248. [Google Scholar] [CrossRef]
- Muirhead, R.F. Some methods applicable to identities and inequalities of symmetric algebraic functions of n letters. Proc. Edinburgh Math. Soc. 1902, 21, 144–162. [Google Scholar] [CrossRef]
- Lorenz, M.O. Methods of measuring the concentration of wealth. Publ. Am. Stat. Assoc. 1905, 9, 209–219. [Google Scholar] [CrossRef]
- Dalton, H. The measurement of the inequality of incomes. Econ. J. 1920, 30, 348–361. [Google Scholar] [CrossRef]
- Schur, I. Uber eine Klasse von Mittelbildungen mit Anwendungen auf die Determinantentheorie. Sitz. Der Berl. Math. Ges. 1923, 22, 9–20. [Google Scholar]
- Hardy, G.H.; Littlewood, J.E.; Pólya, G. Some simple inequalities satisfied by convex functions. Messenger Math 1929, 58, 310. [Google Scholar]
- Ganikhodzhaev, R.N. On the definition of bistochastic quadratic operators. Russ. Math. Surv. 1993, 48, 244–246. [Google Scholar] [CrossRef]
- Ganikhodzhaev, R.N.; Rozikov, U.A. Quadratic stochastic operators: Results and open problems. ArXiv 2009, arXiv:0902.4207. Available online: https://arxiv.org/abs/0902.4207 (accessed on 3 April 2020). [CrossRef]
- Shahidi, F. On the extreme points of the set of bistochastic operators. Math. Notes 2008, 84, 442–448. [Google Scholar] [CrossRef]
- Mukhamedov, F.; Embong, A.F. On b-bistochastic quadratic stochastic operators. J. Inequal. Appl. 2015, 2015, 226. [Google Scholar] [CrossRef]
- Shahidi, F.A. Doubly stochastic operators on a finite-dimensional simplex. Sib. Math. J. 2009, 50, 368–372. [Google Scholar] [CrossRef]
- Shahidi, F. Necessary and sufficient conditions for doubly stochasticity of infinite-dimensional quadratic operators. Linear Algebra Appl. 2013, 438, 96–110. [Google Scholar] [CrossRef]
- Shahidi, F.; Ganikhodzhaev, R.; Abdulghafor, R. The Dynamics of Some Extreme Doubly Stochastic Quadratic Operators. Middle-East J. Sci. Res. 2013, 13, 59–63. [Google Scholar]
- Abdulghafor, R.; Shahidi, F.; Zeki, A.; Turaev, S. Dynamics classifications of extreme doubly stochastic quadratic operators on 2d simplex. In Advanced Computer and Communication Engineering Technology; Springer: Cham, Switzerland, 2016; pp. 323–335. [Google Scholar]
- Cucker, F.; Smale, S.; Zhou, D.-X. Modeling language evolution. Found. Comput. Math 4. 2004, 3, 315–343. [Google Scholar] [CrossRef]
- Lynch, N.A. Distributed Algorithms; Morgan Kaufmann: Burlington, MA, USA, 1996; ISBN 0080504701. [Google Scholar]
- Cui, G.; Xu, S.; Lewis, F.L.; Zhang, B.; Ma, Q. Distributed consensus tracking for non-linear multi-agent systems with input saturation: A command filtered backstepping approach. IET Control Theory Appl. 2016, 10, 509–516. [Google Scholar] [CrossRef]
- Yu-Mei, L.; Xin-Ping, G. Nonlinear consensus protocols for multi-agent systems based on centre manifold reduction. Chin. Phys. B 2009, 18, 3355. [Google Scholar] [CrossRef]
- Li, Y.; Guan, X.; Hua, C. Nonlinear protocols for output performance value consensus of multi-agent systems. In Proceedings of the 30th Chinese Control Conference (CCC), Yantai, China, 22–24 July 2011; pp. 4831–4834. [Google Scholar]
- Abdulghafor, R.; Turaev, S.; Zeki, A.; Al-Shaikhli, I. Reach a nonlinear consensus for MAS via doubly stochastic quadratic operators. Int. J. Control 2018, 91, 1431–1459. [Google Scholar] [CrossRef]











| Name | Structure | Type | Average Number of Iterations | Average Computational Time | |
|---|---|---|---|---|---|
| 1 | DGL | Not complicated | Linear | 15.885 | 1.05E-04 |
| 2 | CSQO | Complicated | Nonlinear | 12.298 | 7.12E-05 |
| 3 | DSQO | Complicated | Nonlinear | 11.661 | 6.82E-05 |
| 4 | EDSQO | Not complicated | Nonlinear | 5.272 | 4.74E-05 |
© 2020 by the authors. Licensee MDPI, Basel, Switzerland. This article is an open access article distributed under the terms and conditions of the Creative Commons Attribution (CC BY) license (http://creativecommons.org/licenses/by/4.0/).
Share and Cite
Abdulghafor, R.; Almotairi, S.; Almohamedh, H.; Almutairi, B.; Bajahzar, A.; Almutairi, S.S. A Nonlinear Convergence Consensus: Extreme Doubly Stochastic Quadratic Operators for Multi-Agent Systems. Symmetry 2020, 12, 540. https://doi.org/10.3390/sym12040540
Abdulghafor R, Almotairi S, Almohamedh H, Almutairi B, Bajahzar A, Almutairi SS. A Nonlinear Convergence Consensus: Extreme Doubly Stochastic Quadratic Operators for Multi-Agent Systems. Symmetry. 2020; 12(4):540. https://doi.org/10.3390/sym12040540
Chicago/Turabian StyleAbdulghafor, Rawad, Sultan Almotairi, Hamad Almohamedh, Badr Almutairi, Abdullah Bajahzar, and Sulaiman Sulmi Almutairi. 2020. "A Nonlinear Convergence Consensus: Extreme Doubly Stochastic Quadratic Operators for Multi-Agent Systems" Symmetry 12, no. 4: 540. https://doi.org/10.3390/sym12040540
APA StyleAbdulghafor, R., Almotairi, S., Almohamedh, H., Almutairi, B., Bajahzar, A., & Almutairi, S. S. (2020). A Nonlinear Convergence Consensus: Extreme Doubly Stochastic Quadratic Operators for Multi-Agent Systems. Symmetry, 12(4), 540. https://doi.org/10.3390/sym12040540

