Numerical Investigation on Forced Hybrid Nanofluid Flow and Heat Transfer Inside a Three-Dimensional Annulus Equipped with Hot and Cold Rods: Using Symmetry Simulation
Abstract
:1. Introduction
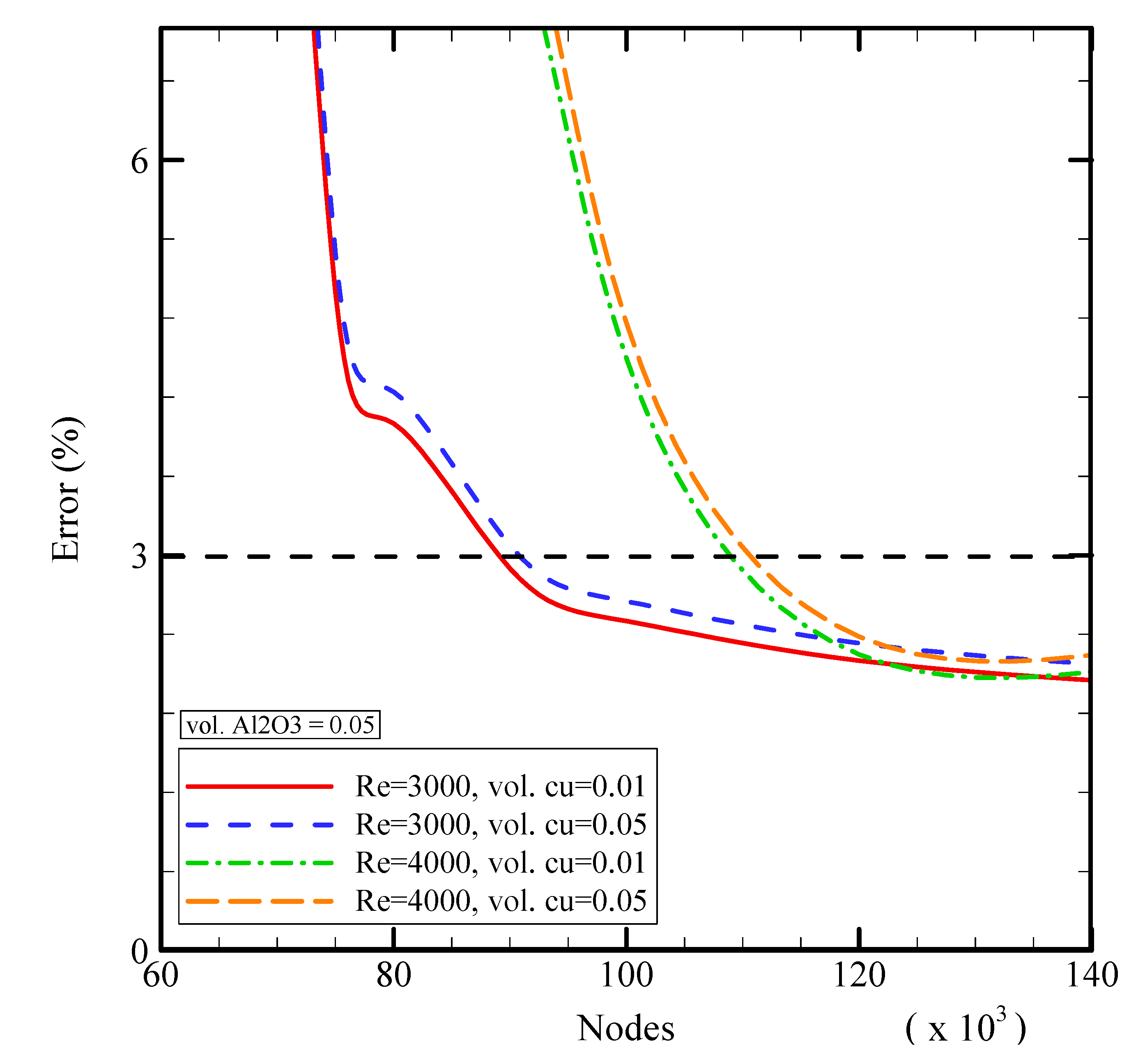
2. Methodology
2.1. Problem Statement and Governing Equations
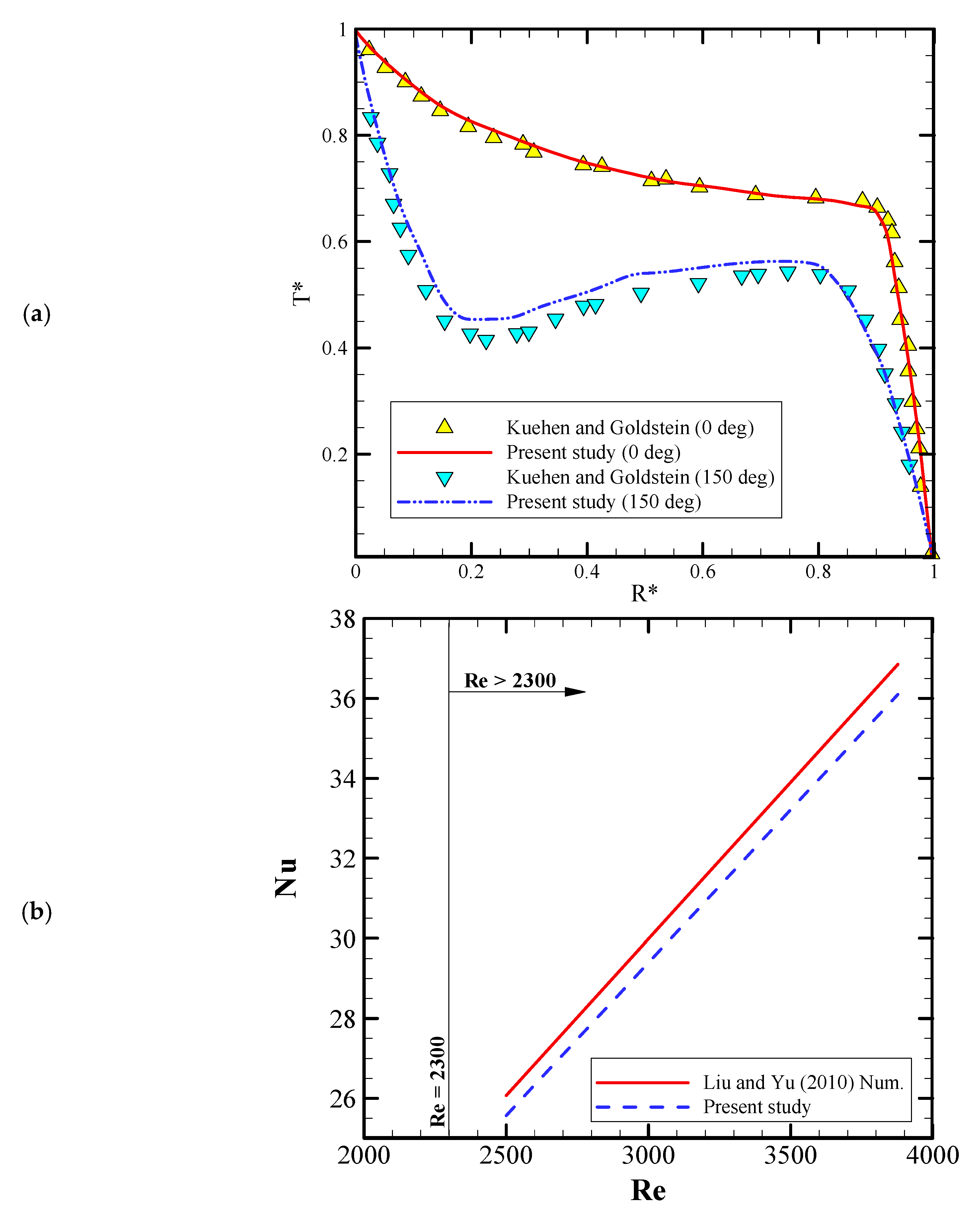
2.2. Validation
3. Results and Discussion
4. Conclusions
- For the model at Re = 3000 and = 0.05, all studied cases with different base fluids have similar behavior. For all studied cases, the total Nuave reduces firstly by an increment of the volume concentrations of Cu nanoparticles until = 0.01 or 0.02 and then, the total Nuave rises by an increment of the volume concentrations of Cu nanoparticles.
- For the case with water as the base fluid, the total Nuave at = 0.05 is more than the values at = 0.00, while for the other cases, the total Nuave at = 0.05 is less than the values at = 0.00.
- For all studied cases, the case with water as the base fluid has the maximum Nuave.
- For the model at Re = 4000 and = 0.05, all studied cases with different base fluids have similar behavior. For all studied cases, the total Nuave reduces firstly by an increment of the volume concentrations of Cu nanoparticles until = 0.01 and then, the total Nuave rises by an increment of the volume concentrations of Cu nanoparticles.
- By increment of Reynolds numbers, the Nuave augments.
- Higher emissivity values should lead to higher radiation heat transfer, but the portion of radiative heat transfer in the studied annulus is low and therefore, does not have an observable increment in HNF flow and heat transfer.
Author Contributions
Funding
Acknowledgments
Conflicts of Interest
Nomenclature
| cp | Specific heat (J/kg·K) |
| Cu | Copper |
| Nanoparticles size | |
| Gravity | |
| k | Thermal conductivity (W/m·K) |
| Ra | Rayleigh number |
| Molecular weight of the base fluid | |
| Avogadro number | |
| Nu | Nusselt number |
| Pressure | |
| Tc | Cold side temperature |
| liquid freezing point of base fluid | |
| Th | Hot side temperature |
| Tinitial | Initial nanofluid temperature |
| Tm | Each section-temperature |
| Nanoparticles drift velocity | |
| Base fluid drift velocity | |
| Average Brownian velocity | |
| Greek Symbols | |
| Acceleration | |
| ρ | Density (kg/m3) |
| ε | emissivity |
| volume concentration of nanoparticles | |
| Dynamic viscosity | |
References
- Shahsavar, A.; Shaham, A.; Talebizadehsardari, P. Wavy channels triple-tube LHS unit with sinusoidal variable wavelength in charging/discharging mechanism. Int. Commun. Heat Mass Transf. 2019, 107, 93–105. [Google Scholar] [CrossRef]
- Al-Rashed, A.A.; Shahsavar, A.; Rasooli, O.; Moghimi, M.; Karimipour, A.; Tran, M.D. Numerical assessment into the hydrothermal and entropy generation characteristics of biological water-silver nano-fluid in a wavy walled microchannel heat sink. Int. Commun. Heat Mass Transf. 2019, 104, 118–126. [Google Scholar] [CrossRef]
- Shahsavar, A.; Al-Rashed, A.A.; Entezari, S.; Talebizadehsardari, P. Melting and solidification characteristics of a double-pipe latent heat storage system with sinusoidal wavy channels embedded in a porous medium. Energy 2019, 171, 751–769. [Google Scholar] [CrossRef]
- Rostami, S.; Shahsavar, A.; Kefayati, G.; Goldanlou, A.S. Energy and Exergy Analysis of Using Turbulator in a Parabolic Trough Solar Collector Filled with Mesoporous Silica Modified with Copper Nanoparticles Hybrid Nanofluid. Energies 2020, 13, 2946. [Google Scholar] [CrossRef]
- Yan, S.-R.; Moria, H.; Pourhedayat, S.; Hashemian, M.; Asaadi, S.; Dizaji, H.S.; Jermsittiparsert, K. A critique of effectiveness concept for heat exchangers; theoretical-experimental study. Int. J. Heat Mass Transf. 2020, 159, 120160. [Google Scholar] [CrossRef]
- Yi, Y.; Xie, X.; Jiang, Y. Optimization of solution flow rate and heat transfer area allocation in the two-stage absorption heat exchanger system based on a complete heat and mass transfer simulation model. Appl. Therm. Eng. 2020, 178, 115616. [Google Scholar] [CrossRef]
- Yildiz, C.; Arici, M.; Nizetic, S.; Shahsavar, A. Numerical investigation of natural convection behavior of molten PCM in an enclosure having rectangular and tree-like branching fins. Energy 2020, 207, 118223. [Google Scholar] [CrossRef]
- Shahsavar, A.; Rashidi, M.; Mosghani, M.M.; Toghraie, D.; Talebizadehsardari, P. A numerical investigation on the influence of nanoadditive shape on the natural convection and entropy generation inside a rectangle-shaped finned concentric annulus filled with boehmite alumina nanofluid using two-phase mixture model. J. Therm. Anal. Calorim. 2019, 141, 915–930. [Google Scholar] [CrossRef]
- Ma, Y.; Shahsavar, A.; Talebizadehsardari, P. Two-phase mixture simulation of the effect of fin arrangement on first and second law performance of a bifurcation microchannels heatsink operated with biologically prepared water-Ag nanofluid. Int. Commun. Heat Mass Transf. 2020, 114, 104554. [Google Scholar] [CrossRef]
- Zhang, R.; Aghakhani, S.; Pordanjani, A.H.; Vahedi, S.M.; Shahsavar, A.; Afrand, M. Investigation of the entropy generation during natural convection of Newtonian and non-Newtonian fluids inside the L-shaped cavity subjected to magnetic field: Application of lattice Boltzmann method. Eur. Phys. J. Plus 2020, 135, 184. [Google Scholar] [CrossRef]
- Liu, W.; Shahsavar, A.; Barzinjy, A.A.; Al-Rashed, A.A.; Afrand, M. Natural convection and entropy generation of a nanofluid in two connected inclined triangular enclosures under magnetic field effects. Int. Commun. Heat Mass Transf. 2019, 108, 104309. [Google Scholar] [CrossRef]
- Alsarraf, J.; Rahmani, R.; Shahsavar, A.; Afrand, M.; Wongwises, S. Effect of magnetic field on laminar forced convective heat transfer of MWCNT–Fe3O4/water hybrid nanofluid in a heated tube. J. Therm. Anal. Calorim. 2019, 137, 1809–1825. [Google Scholar] [CrossRef]
- Zheng, Y.; Shahsavar, A.; Afrand, M. Sonication time efficacy on Fe3O4-liquid paraffin magnetic nanofluid thermal conductivity: An experimental evaluation. Ultrason. Sonochemistry 2020, 64, 105004. [Google Scholar] [CrossRef] [PubMed]
- Alsarraf, J.; Shahsavar, A.; Khaki, M.; Ranjbarzadeh, R.; Karimipour, A.; Afrand, M. Numerical investigation on the effect of four constant temperature pipes on natural cooling of electronic heat sink by nanofluids: A multifunctional optimization. Adv. Powder Technol. 2020, 31, 416–432. [Google Scholar] [CrossRef]
- Al-Rashed, A.A.A.A.; Rahimi-Nasrabadi, M.; Aghaei, A.; Monfared, F.; Shahsavar, A.; Afrand, M. Effect of a porous medium on flow and mixed convection heat transfer of nanofluids with variable properties in a trapezoidal enclosure. J. Therm. Anal. Calorim. 2019, 139, 741–754. [Google Scholar] [CrossRef]
- Chen, Z.; Shahsavar, A.; Al-Rashed, A.A.; Afrand, M. The impact of sonication and stirring durations on the thermal conductivity of alumina-liquid paraffin nanofluid: An experimental assessment. Powder Technol. 2020, 360, 1134–1142. [Google Scholar] [CrossRef]
- Shahsavar, A.; Baseri, M.M.; Al-Rashed, A.A.; Afrand, M. Numerical investigation of forced convection heat transfer and flow irreversibility in a novel heatsink with helical microchannels working with biologically synthesized water-silver nano-fluid. Int. Commun. Heat Mass Transf. 2019, 108, 104324. [Google Scholar] [CrossRef]
- Liu, W.; Al-Rashed, A.A.; AlSagri, A.S.; Mahmoudi, B.; Afrand, M.; Afrand, M. Laminar forced convection performance of non-Newtonian water-CNT/Fe3O4 nano-fluid inside a minichannel hairpin heat exchanger: Effect of inlet temperature. Powder Technol. 2019, 354, 247–258. [Google Scholar] [CrossRef]
- Yang, L.; Ji, W.; Mao, M.; Huang, J.-N. An updated review on the properties, fabrication and application of hybrid-nanofluids along with their environmental effects. J. Clean. Prod. 2020, 257, 120408. [Google Scholar] [CrossRef]
- Geng, Y.; Al-Rashed, A.A.A.A.; Mahmoudi, B.; AlSagri, A.S.; Shahsavar, A.; Sardari, P.T. Characterization of the nanoparticles, the stability analysis and the evaluation of a new hybrid nano-oil thermal conductivity. J. Therm. Anal. Calorim. 2019, 139, 1553–1564. [Google Scholar] [CrossRef]
- Wu, H.; Al-Rashed, A.A.; Barzinjy, A.A.; Shahsavar, A.; Karimi, A.; Talebizadehsardari, P. Curve-fitting on experimental thermal conductivity of motor oil under influence of hybrid nano additives containing multi-walled carbon nanotubes and zinc oxide. Phys. A Stat. Mech. Appl. 2019, 535, 122128. [Google Scholar] [CrossRef]
- Shahsavar, A.; Talebizadeh, P.; Toghraie, D. Free convection heat transfer and entropy generation analysis of water-Fe3O4/CNT hybrid nanofluid in a concentric annulus. Int. J. Numer. Methods Heat Fluid Flow 2019, 29, 915–934. [Google Scholar] [CrossRef]
- Shahsavar, A.; Godini, A.; Sardari, P.T.; Toghraie, D.; Salehipour, H. Impact of variable fluid properties on forced convection of Fe3O4/CNT/water hybrid nanofluid in a double-pipe mini-channel heat exchanger. J. Therm. Anal. Calorim. 2019, 137, 1031–1043. [Google Scholar] [CrossRef]
- Salman, S.; Talib, A.R.A.; Saadon, S.; Sultan, M.T.H. Hybrid nanofluid flow and heat transfer over backward and forward steps: A review. Powder Technol. 2020, 363, 448–472. [Google Scholar] [CrossRef]
- Li, L.; Tang, Z.; Li, H.; Gao, W.; Yue, Z.; Xie, G. Convective heat transfer characteristics of twin-web turbine disk with pin fins in the inner cavity. Int. J. Therm. Sci. 2020, 152, 106303. [Google Scholar] [CrossRef]
- Chorin, P.; Moreau, F.; Saury, D. Heat transfer modification of a natural convection flow in a differentially heated cavity by means of a localized obstacle. Int. J. Therm. Sci. 2020, 151, 106279. [Google Scholar] [CrossRef]
- Giwa, S.; Sharifpur, M.; Meyer, J. Effects of uniform magnetic induction on heat transfer performance of aqueous hybrid ferrofluid in a rectangular cavity. Appl. Therm. Eng. 2020, 170, 115004. [Google Scholar] [CrossRef]
- El Mansouri, A.; Hasnaoui, M.; Amahmid, A.; Alouah, M. Numerical analysis of conjugate convection-conduction heat transfer in an air-filled cavity with a rhombus conducting block subjected to subdivision: Cooperating and opposing roles. Int. J. Heat Mass Transf. 2020, 150, 119375. [Google Scholar] [CrossRef]
- Thiers, N.; Gers, R.; Skurtys, O. Heat transfer enhancement by localised time varying thermal perturbations at hot and cold walls in a rectangular differentially heated cavity. Int. J. Therm. Sci. 2020, 151, 106245. [Google Scholar] [CrossRef]
- Ataei-Dadavi, I.; Rounaghi, N.; Chakkingal, M.; Kenjeres, S.; Kleijn, C.R.; Tummers, M.J. An experimental study of flow and heat transfer in a differentially side heated cavity filled with coarse porous media. Int. J. Heat Mass Transf. 2019, 143, 118591. [Google Scholar] [CrossRef]
- Farsani, R.Y.; Mahmoudi, A.; Jahangiri, M. How a conductive baffle improves melting characteristic and heat transfer in a rectangular cavity filled with gallium. Therm. Sci. Eng. Prog. 2020, 16, 100453. [Google Scholar] [CrossRef]
- Vishnu, A.; Aravind, G.; Deepu, M.; Sadanandan, R. Effect of heat transfer on an angled cavity placed in supersonic flow. Int. J. Heat Mass Transf. 2019, 141, 1140–1151. [Google Scholar] [CrossRef]
- Sadaghiani, A.K.; Altay, R.; Noh, H.; Kwak, H.J.; Şendur, K.; Mısırlıoğlu, B.; Park, H.S.; Koşar, A. Effects of bubble coalescence on pool boiling heat transfer and critical heat flux—A parametric study based on artificial cavity geometry and surface wettability. Int. J. Heat Mass Transf. 2020, 147, 118952. [Google Scholar] [CrossRef]
- Pan, M.; Wang, H.; Zhong, Y.; Hu, M.; Zhou, X.; Dong, G.; Huang, P. Experimental investigation of the heat transfer performance of microchannel heat exchangers with fan-shaped cavities. Int. J. Heat Mass Transf. 2019, 134, 1199–1208. [Google Scholar] [CrossRef]
- Balotaki, H.K.; Havaasi, H.; KhakRah, H.; Hooshmand, P.; Ross, D. WITHDRAWN: Modelling of free convection heat transfer in a triangular cavity equipped using double distribution functions (DDF) lattice Boltzmann method (LBM). Therm. Sci. Eng. Prog. 2020, 100495. [Google Scholar] [CrossRef]
- Liu, Y.; Huang, H. Effect of three modes of linear thermal forcing on convective flow and heat transfer in rectangular cavities. Int. J. Heat Mass Transf. 2020, 147, 118951. [Google Scholar] [CrossRef]
- Seo, Y.M.; Luo, K.; Ha, M.Y.; Park, Y.G. Direct numerical simulation and artificial neural network modeling of heat transfer characteristics on natural convection with a sinusoidal cylinder in a long rectangular enclosure. Int. J. Heat Mass Transf. 2020, 152, 119564. [Google Scholar] [CrossRef]
- Razzaghpanah, Z.; Sarunac, N. Natural convection heat transfer from a bundle of in-line heated circular cylinders immersed in molten solar salt. Int. J. Heat Mass Transf. 2020, 148, 119032. [Google Scholar] [CrossRef]
- Krakov, M.; Nikiforov, I. Influence of the shape of the inner boundary on thermomagnetic convection in the annulus between horizontal cylinders: Heat transfer enhancement. Int. J. Therm. Sci. 2020, 153, 106374. [Google Scholar] [CrossRef]
- Pawar, A.P.; Sarkar, S.; Saha, S.K. Forced convective flow and heat transfer past an unconfined blunt headed cylinder at different angles of incidence. Appl. Math. Model. 2020, 82, 888–915. [Google Scholar] [CrossRef]
- Alam, M.; Abdelhamid, T.; Sohankar, A. Effect of cylinder corner radius and attack angle on heat transfer and flow topology. Int. J. Mech. Sci. 2020, 175, 105566. [Google Scholar] [CrossRef]
- Vyas, A.; Mishra, B.; Srivastava, A. Investigation of the effect of blockage ratio on flow and heat transfer in the wake region of a cylinder embedded in a channel using whole field dynamic measurements. Int. J. Therm. Sci. 2020, 153, 106322. [Google Scholar] [CrossRef]
- Hadžiabdić, M.; Palkin, E.; Mullyadzhanov, R.; Hanjalić, K. Heat transfer in flow around a rotary oscillating cylinder at a high subcritical Reynolds number: A computational study. Int. J. Heat Fluid Flow 2019, 79, 108441. [Google Scholar] [CrossRef]
- Aladdin, N.A.L.; Bachok, N.; Pop, I. Cu-Al2O3/water hybrid nanofluid flow over a permeable moving surface in presence of hydromagnetic and suction effects. Alex. Eng. J. 2020, 59, 657–666. [Google Scholar] [CrossRef]
- Tseng, Y.; Ferng, Y.; Lin, C. Investigating flow and heat transfer characteristics in a fuel bundle with split-vane pair grids by CFD methodology. Ann. Nucl. Energy 2014, 64, 93–99. [Google Scholar] [CrossRef]
- Chowdhury, D.; Neogi, S. Thermal performance evaluation of traditional walls and roof used in tropical climate using guarded hot box. Constr. Build. Mater. 2019, 218, 73–89. [Google Scholar] [CrossRef]
- Jamil, B.; Akhtar, N. Effect of specific height on the performance of a single slope solar still: An experimental study. Desalination 2017, 414, 73–88. [Google Scholar] [CrossRef]
- Qin, H.; Wang, C.; Zhang, D.; Tian, W.; Su, G.; Qiu, S. Parametric investigation of radiation heat transfer and evaporation characteristics of a liquid droplet radiator. Aerosp. Sci. Technol. 2020, 106, 106214. [Google Scholar] [CrossRef]
- Kan, K.; Zheng, Y.; Chen, H.; Zhou, D.; Dai, J.; Binama, M.; Yu, A. Numerical simulation of transient flow in a shaft extension tubular pump unit during runaway process caused by power failure. Renew. Energy 2020, 154, 1153–1164. [Google Scholar] [CrossRef]
- Naung, S.W.; Rahmati, M.; Farokhi, H. Direct Numerical Simulation of Interaction between Transient Flow and Blade Structure in a Modern Low-Pressure Turbine. Int. J. Mech. Sci. 2020, 106104. [Google Scholar] [CrossRef]
- Kan, K.; Chen, H.; Zheng, Y.; Zhou, D.; Binama, M.; Dai, J. Transient characteristics during power-off process in a shaft extension tubular pump by using a suitable numerical model. Renew. Energy 2021, 164, 109–121. [Google Scholar] [CrossRef]
- Abdelhafiz, M.M.; Hegele, L.A.; Oppelt, J.F. Numerical transient and steady state analytical modeling of the wellbore temperature during drilling fluid circulation. J. Pet. Sci. Eng. 2020, 186, 106775. [Google Scholar] [CrossRef]
- Ma, Y.; Mohebbi, R.; Rashidi, M.; Yang, Z. MHD convective heat transfer of Ag-MgO/water hybrid nanofluid in a channel with active heaters and coolers. Int. J. Heat Mass Transf. 2019, 137, 714–726. [Google Scholar] [CrossRef]
- Kuehn, T.; Goldstein, R. Numerical solution to the Navier-Stokes equations for laminar natural convection about a horizontal isothermal circular cylinder. Int. J. Heat Mass Transf. 1980, 23, 971–979. [Google Scholar] [CrossRef]
- Liu, D.; Yu, L. Experimental investigation of single-phase convective heat transfer of nanofluids in a minichannel. In Proceedings of the 14th International Heat Transfer Conference, IHTC14, Washington, DC, USA, 8–13 August 2010. [Google Scholar]












| Thermophysical Properties | k (W/m·K) | cp (J/kg·K) | ρ (kg/m3) |
|---|---|---|---|
| Cu | 400 | 385 | 8933 |
| Al2O3 | 40 | 765 | 3970 |
| Ethylene-glycol | 0.252 | 2415 | 1114.4 |
| H2O | 0.613 | 4179 | 997.1 |
| H2O/ethylene-glycol mixture | 0.3799 | 3300 | 1067.5 |
| Density | |
| Specific heat | |
| Thermal conductivity | |
| Dynamic viscosity |
| Continuity equation | |
| Momentum equation | |
| Energy equation | |
| Turbulence equations | |
| Parameters of interest |
| 0.85 | 1.176 | 1.000 | 2.000 | 1.168 | 0.31 | 0.0750 | 0.0828 | 0.0900 | 0.41 | 6 |
Publisher’s Note: MDPI stays neutral with regard to jurisdictional claims in published maps and institutional affiliations. |
© 2020 by the authors. Licensee MDPI, Basel, Switzerland. This article is an open access article distributed under the terms and conditions of the Creative Commons Attribution (CC BY) license (http://creativecommons.org/licenses/by/4.0/).
Share and Cite
Shahsavar Goldanlou, A.; Badri, M.; Heidarshenas, B.; Hussein, A.K.; Rostami, S.; Safdari Shadloo, M. Numerical Investigation on Forced Hybrid Nanofluid Flow and Heat Transfer Inside a Three-Dimensional Annulus Equipped with Hot and Cold Rods: Using Symmetry Simulation. Symmetry 2020, 12, 1873. https://doi.org/10.3390/sym12111873
Shahsavar Goldanlou A, Badri M, Heidarshenas B, Hussein AK, Rostami S, Safdari Shadloo M. Numerical Investigation on Forced Hybrid Nanofluid Flow and Heat Transfer Inside a Three-Dimensional Annulus Equipped with Hot and Cold Rods: Using Symmetry Simulation. Symmetry. 2020; 12(11):1873. https://doi.org/10.3390/sym12111873
Chicago/Turabian StyleShahsavar Goldanlou, Aysan, Mohammad Badri, Behzad Heidarshenas, Ahmed Kadhim Hussein, Sara Rostami, and Mostafa Safdari Shadloo. 2020. "Numerical Investigation on Forced Hybrid Nanofluid Flow and Heat Transfer Inside a Three-Dimensional Annulus Equipped with Hot and Cold Rods: Using Symmetry Simulation" Symmetry 12, no. 11: 1873. https://doi.org/10.3390/sym12111873
APA StyleShahsavar Goldanlou, A., Badri, M., Heidarshenas, B., Hussein, A. K., Rostami, S., & Safdari Shadloo, M. (2020). Numerical Investigation on Forced Hybrid Nanofluid Flow and Heat Transfer Inside a Three-Dimensional Annulus Equipped with Hot and Cold Rods: Using Symmetry Simulation. Symmetry, 12(11), 1873. https://doi.org/10.3390/sym12111873

