Diagnosis of Defective Rotor Bars in Induction Motors
Abstract
1. Introduction
2. Common Signals Analysis Methods
2.1. FFT
- is time index of discrete-time signal, k = 0, 1, …, k − 1,
- is frequency index of DFT, n = 0, 1, …, n − 1,
- is separation of sampling time,
- is frequency separation,
- is number of sampling.
- operational factor ,
- output = element + element ,
- output = element + element ,
- output = element + element ,
- output = element + element ,
- element ,
- element ,
- element ,
- element .
- is stator supply frequency,
- ∈ {1, 2, 3, …},
- is slip.
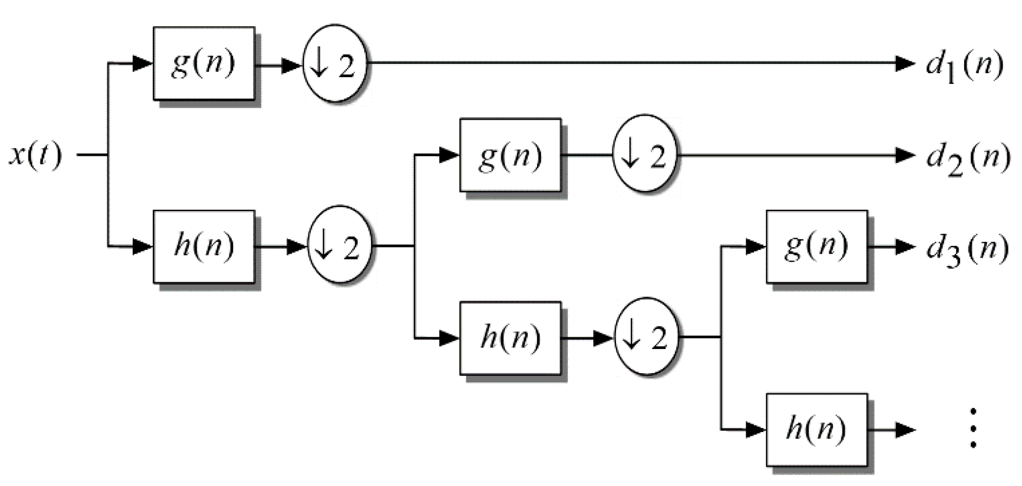
2.2. MRA
- is mother wavelet function,
- is scaling parameter,
- is translation parameter,
- is normalization factor, to ensure energy of and are constant.
- is the layer scaling parameter,
- is the layer mother wavelet parameter,
- is sequence data of signal,
- is MRA layer, .
2.3. HHT
- (1)
- The number of local extreme points and zero-crossing points of signal shall be equal or one difference at most.
- (2)
- Average value of the high and low envelope curves must be close to zero.
- Step 1
- Find out the local maximum and the local minimum input signal .
- Step 2
- Connect the maximum and minimum envelope curve, respectively, and obtain the mean envelope curve .
- Step 3
- Subtract from original signal , obtain a new signal .
- Step 4
- Whether is IMF or not? If it is true, then save it into , otherwise, repeat the previous steps 1 to 4.
- Step 5
- Obtain the trend function .
- Step 6
- If trend function is monotone function or constant, then the decomposition is complete, otherwise come back to the beginning step to re-sifting.
3. Neural Network Classifier
3.1. BPNN
- Step 1
- Set the number of neurons of input layer, hidden layer, and output layer.
- Step 2
- Set the initial value of network, randomly produce the weight and the bias , and then set the trainable learning rate which usually use 0.1–0.9, determine which type of activation function, as represented is sigmoid function and is piecewise linear function [43].
- Step 3
- Set the input vector as , the output of hidden layer and the output layer in the feedforward phase, defined as (15) and (16), respectively.
- Step 4
- Calculate the error function which is the number of training times, is the target value, is the output value.
- Step 5
- Calculate the gradient of weight and bias, defined as (17) to (20), respectively.
- Step 6
- Correct the weight and bias, defined as (21) to (24), respectively.
- Step 7
- Repeat steps 1 to 6 to reach the number of training times or compliance with the convergent criteria.
3.2. PNN
- is PDF of category at point,
- is the number of modes,
- is dimension of measure space,
- is smoothing parameter,
- is amount of category training vector,
- is input classificatory vector,
- is training vector data of category ,
- is transposed vector.
4. Experimental Setup for Defective Rotor Bars
4.1. Manufacture of Rotor Bar Defects
- Manufacture of blowhole defect.
- Manufacture of perforation defect—EDM.
4.2. Manufacture of Blowhole Defect
4.3. Manufacture of Perforation Defect—EDM
4.4. Experiment Setup and Measurement Data
5. Features Extraction and Defects Recognition
5.1. FFT-Based Recognition
5.2. MRA-Based Recognition
5.3. HHT-Based Recognition
5.4. Discussion
- As mentioned above, a good time to diagnose defective rotor bars is in the QC process for motor manufacture, and this study proposes the method has the high recognition rate of 97.0% under no-load and 97.6% under light-load conditions, respectively, it more advantage compared with another two kinds of signal analysis methods, especially under no-load condition. Under no-load condition, MRA recognition rate of 97.0% is higher than the HHT of 87.2%.
- Suitable for high noise workshops: the recognition rate still has 85.3% under 20 dB high noise interference environment, for example it has a good anti-noise ability.
- Only a few features can make the defective recognition; MRA recognizes only half of the features of HHT that can effectively reduce the recognition time.
6. Conclusions
Author Contributions
Funding
Conflicts of Interest
References
- Asad, B.; Vaimann, T.; Belahcen, A.; Kallaste, A. Broken rotor bar fault diagnostic of inverter fed induction motor using FFT, Hilbert and Park’s Vector Approach. In Proceedings of the XIII International Conference on Electrical Machines (ICEM), Alexandroupoli, Greece, 3–6 September 2018; pp. 1–7. [Google Scholar]
- Asad, B.; Vaimann, T.; Belahcen, A.; Kallaste, A.; Rassõlkin, A.; Iqbal, M.N. Broken rotor bar fault detection of the grid and inverter-fed induction motor by effective attenuation of the fundamental component. IET Electr. Power Appl. 2018, 13, 2005–2014. [Google Scholar] [CrossRef]
- Hassan, O.E.; Amer, M.; Abdelsalam, A.K.; Williams, B.W. Induction motor broken rotor bar fault detection techniques based on fault signature analysis—A review. IET Electr. Power Appl. 2018, 12, 895–907. [Google Scholar] [CrossRef]
- Ceban, A.; Pusca, R.; Romary, R. Study of rotor faults in induction motors using external magnetic field analysis. IEEE Trans. Ind. Electron. 2012, 59, 2082–2093. [Google Scholar] [CrossRef]
- Romary, R.; Corton, R.; Thailly, D.; Brudny, J.F. Induction machine fault diagnosis using an external radial flux sensor. EPJ. Appl. Phys. 2005, 32, 125–132. [Google Scholar] [CrossRef]
- Pusca, R.; Romary, R.; Ceban, A.; Brudny, J.F. An online universal diagnosis procedure using two external flux sensors applied to the ac electrical rotating machines. Sensors 2010, 10, 10448–10466. [Google Scholar] [CrossRef]
- Yazidi, A.; Henao, H.; Capolino, G.A.; Artioli, M.; Filippetti, F.; Casadei, D. Flux signature analysis: An alternative method for the fault diagnosis of induction machines. In Proceedings of the IEEE Power Tech, St. Petersburg, Russia, 27–30 June 2005; pp. 1–6. [Google Scholar]
- Dias, G.; Chabu, E. Spectral analysis using a hall effect sensor for diagnosing broken bars in large induction machines. IEEE Trans. Instrum. Meas. 2014, 63, 2890–2902. [Google Scholar] [CrossRef]
- Oumaamar, M.; Khezzar, A.; Boucherma, M.; Razik, H.; Andri, R.N.; Baghli, L. Neutral voltage analysis for broken rotor bars detection in induction motors using Hilbert Transform phase. In Proceedings of the 2007 IEEE Industry Applications Annual Meeting, New Orlean, LA, USA, 23–27 September 2007; pp. 1940–1947. [Google Scholar]
- Khezzar, A.; Oumaamar, M.; Hadjami, M.; Boucherma, M.; Razik, H. Induction motor diagnosis using line neutral voltage signatures. IEEE Trans. Ind. Electron. 2009, 56, 4581–4591. [Google Scholar] [CrossRef]
- Soualhi, A.; Clerc, G.; Razik, H. Detection and diagnosis of faults in induction motor using an improved artificial Ant Clustering technique. IEEE Trans. Ind. Electron. 2013, 60, 4053–4062. [Google Scholar] [CrossRef]
- Antonino-Daviu, J.; Riera-Guasp, M.; Pons-Llinares, J.; Park, J.; Bin Lee, S.; Yoo, J.; Kral, C. Detection of broken outer-cage bars for double-cage induction motors under the startup transient. IEEE Trans. Ind. Appl. 2012, 48, 1539–1548. [Google Scholar] [CrossRef]
- Ordaz-Moreno, A.; Romero-Troncoso, R.; Alberto Vite-Frias, J.; Rooney Rivera-Gillen, J.; Garcia-Perez, A. Automatic online diagnosis algorithm for broken-bar detection on induction motors based on discrete wavelet transform for FPGA Implementation. IEEE Trans. Ind. Electron. 2008, 55, 2193–2202. [Google Scholar] [CrossRef]
- Climente-Alarcon, V.; Antonino-Daviu, J.; Vedreño-Santos, F.; Puche-Panadero, R. Vibration transient detection of broken rotor bars by PSH Sidebands. IEEE Trans. Ind. Appl. 2013, 49, 2576–2582. [Google Scholar] [CrossRef]
- Sadoughi, A.; Ebrahimi, M.; Moalem, M.; Sadri, S. Intelligent diagnosis of broken bars in induction motors based on new features in vibration spectrum. In Proceedings of the 2007 IEEE International Symposium on Diagnostics for Electric Machines, Power Electronics and Drives, Cracow, Poland, 6–8 September 2007; pp. 106–111. [Google Scholar]
- Akcay, H.; Germen, E. Identification of acoustic spectra for fault detection in induction motors. In Proceedings of the Africon IEEE, Pointe Aux Piments, Mauritius, 9–12 September 2013; pp. 1–5. [Google Scholar]
- Li, W.D.; Mechefske, C.K. Detection of induction motor faults: A comparison of stator current vibration and acoustic methods. J. Vib. Control 2006, 12, 165–188. [Google Scholar] [CrossRef]
- Filho, E.R.; Riehl, R.R.; Avolio, E. Automatic three-phase squirrel cage induction motor test assembly for motor thermal behavior studies. In Proceedings of the IEEE Industrial Electronics, Santiago, Chile, 25–27 May 1994; pp. 204–209. [Google Scholar]
- Gyftakis, K.N.; Spyropoulos, D.V.; Kappatou, J.C.; Mitronikas, E.D. A novel approach for broken bar fault diagnosis in induction motors through torque monitoring. IEEE Trans. Energy Convers. 2013, 28, 267–277. [Google Scholar] [CrossRef]
- Antonino-Daviu, J.; Riera-Guasp, M.; Pons-Llinares, J.; Roger-Folch, J.; Perez, R.; Charlton-Perez, C. Toward condition monitoring of damper windings in synchronous motors via EMD analysis. IEEE Trans. Energy Convers. 2012, 27, 432–439. [Google Scholar] [CrossRef]
- Jung, J.H.; Lee, J.J.; Kwon, B.H. Online diagnosis of induction motors using MCSA. IEEE Trans. Ind. Electron. 2006, 53, 1842–1852. [Google Scholar] [CrossRef]
- Bishop, T. Squirrel cage rotor testing. In EASA Convention; Electrical Apparatus Service Association, Inc.: St. Louis, MO, USA, 2003; pp. 1–26. [Google Scholar]
- Ferrah, A.; Bradley, K.J.; Asher, G.M. An FFT-based novel approach to noninvasive speed measurement in induction motor drives. IEEE Trans. Instrum. Meas. 1992, 41, 797–802. [Google Scholar] [CrossRef]
- Kral, C.; Habetler, T.G.; Harley, R.G.; Pirker, F.; Pascoli, G.; Oberguggenberger, H.; Fenz, C.J.M. A comparison of rotor fault detection techniques with respect to the assessment of fault severity. In Proceedings of the 4th IEEE International Symposium on Diagnostics for Electric Machines, Power Electronics and Drives (SDEMPED 2003), Atlanta, GA, USA, 24–26 August 2003; pp. 265–270. [Google Scholar]
- Sadeghian, A.; Ye, Z.; Wu, B. Online detection of broken rotor bars in induction motors by Wavelet Packet Decomposition and Artificial Neural Networks. IEEE Trans. Instrum. Meas. 2009, 58, 2253–2263. [Google Scholar] [CrossRef]
- Khan, M.A.S.K.; Radwan, T.S.; Azizur Rahman, M. Real-time implementation of wavelet packet transform-based diagnosis and protection of three-phase induction motors. IEEE Trans. Energy Convers. 2007, 22, 647–655. [Google Scholar] [CrossRef]
- Antonino-Daviu, J.A.; Riera-Guasp, M.; Folch, J.R.; Palomares, M.P.M. Validation of a new method for the diagnosis of rotor bar failures via wavelet transform in industrial induction machines. IEEE Trans. Ind. Appl. 2006, 42, 990–996. [Google Scholar] [CrossRef]
- Yi-bing, L.; Qi, W.; Zhi-yong, M.; Ke-guo, Y. An improved Hilbert-Huang Transform and its application in faults signal analysis. In Proceedings of the IEEE International Conference on Mechatronics and Automation, Luoyang, China, 25–28 June 2006; pp. 2426–2431. [Google Scholar]
- Espinosa, A.G.; Rosero, J.A.; Cusid´o, J.; Romeral, L.; Ortega, J.A. Fault Detection by Means of Hilbert–Huang Transform of the Stator Current in a PMSM With Demagnetization. IEEE Trans. Energy Convers. 2010, 25, 312–318. [Google Scholar] [CrossRef]
- Tse, N.C.F.; Chan, J.Y.C.; Lau, W.H.; Lai, L.L. Hybrid wavelet and hilbert transform with frequency-shifting decomposition for power quality analysis. IEEE Trans. Instrum. Meas. 2012, 61, 3225–3233. [Google Scholar] [CrossRef]
- Xu, B.; Sun, L.; Xu, L.; Xu, G. Improvement of the Hilbert Method via ESPRIT for Detecting Rotor Fault in Induction Motors at Low Slip. IEEE Trans. Energy Convers. 2013, 28, 225–233. [Google Scholar] [CrossRef]
- Kreyszig, E. Advanced Engineering Mathematics, 8th ed.; John Wiley & Sons: New York, NY, USA, 1999. [Google Scholar]
- Cooley, J.W.; Tukey, J.W. An algorithm for the machine calculation of complex Fourier series. Math. Comput. 1965, 19, 297–301. [Google Scholar] [CrossRef]
- Grossman, A.; Morlet, J. Decompositions of hardy functions into square integrable wavelet of constant shape. Soc. Ind. Appl. Math. J. Math. Anal. 1984, 15, 723–736. [Google Scholar] [CrossRef]
- Mallat, S. A theory for multiresolution signal decomposition: The wavelet representation. IEEE Trans. Pattern Anal. Mach. Intell. 1989, 11, 674–693. [Google Scholar] [CrossRef]
- Hamid, E.; Kawasaki, Z. Instrument for the quality analysis of power systems based on the wavelet packet transform. IEEE Power Eng. Rev. 2002, 22, 52–54. [Google Scholar] [CrossRef]
- Huang, N.; Shen, S. Hilbert-Huang Transform and Its Applications; B & JO Enterprise: Singapore, 2005. [Google Scholar]
- Ayhan, B.; Chow, M.-Y.; Song, M.H. Multiple discriminant analysis and neural-network-based monolith and partition fault-detection schemes for broken rotor bar in induction motors. IEEE Trans. Ind. Electron. 2006, 53, 1298–1308. [Google Scholar] [CrossRef]
- Mishra, S.; Bhende, C.N.; Panigrahi, B.K. Detection and classification of power quality disturbances using s-transform and probabilistic neural network. IEEE Trans. Power Deliv. 2008, 23, 280–287. [Google Scholar] [CrossRef]
- Ghate, V.N.; Dudul, S.V. Cascade neural-network-based fault classifier for three-phase induction motor. IEEE Trans. Ind. Electron. 2011, 58, 1555–1563. [Google Scholar] [CrossRef]
- Tamura, S.; Tateishi, M. Capabilities of a four-layered feedforward neural network: Four layers versus three. IEEE Trans. Neural Netw. 1997, 8, 251–255. [Google Scholar] [CrossRef]
- Huang, G.B.; Chen, L.; Siew, C.K. Universal approximation using incremental constructive feedforward networks with random hidden nodes. IEEE Trans. Neural Netw. 2006, 17, 879–892. [Google Scholar] [CrossRef] [PubMed]
- Charalambous, C. Conjugate gradient algorithm for efficient training of artificial neural networks. IEEE Proc. G 1992, 139, 301–310. [Google Scholar] [CrossRef]
- Specht, D.F. Probabilistic neural networks. Neural Netw. 1990, 3, 109–118. [Google Scholar] [CrossRef]
- Mohammed, O.A.; Abed, N.Y.; Ganu, S. Modeling and characterization of induction motor internal faults using finite-element and discrete wavelet transforms. IEEE Trans. Magn. 2006, 42, 3434–3436. [Google Scholar] [CrossRef]
- Ayhan, B.; Trussell, H.J.; Chow, M.Y.; Song, M.H. On the use of a lower sampling rate for broken rotor bar detection with DTFT and AR-Based Spectrum Methods. IEEE Trans. Ind. Electron. 2008, 55, 1421–1434. [Google Scholar] [CrossRef]
- Sizov, G.Y.; Ahmed, A.S.; Yeh, C.C.; Demerdash, N.A.O. Analysis and diagnostics of adjacent and nonadjacent broken-rotor-bar faults in squirrel-cage induction machines. IEEE Trans. Ind. Electron. 2009, 56, 4627–4641. [Google Scholar] [CrossRef]




























| Feature | Method | ∞ dB | 30 dB | 25 dB | 20 dB |
|---|---|---|---|---|---|
| 6 | FFT | 73.0 | 70.5 | 68.4 | 63.1 |
| 25 | MRA | 96.0 | 92.4 | 85.3 | 74.6 |
| 50 | HHT | 94.8 | 87.8 | 84.5 | 68.4 |
| Feature | Method | ∞ dB | 30 dB | 25 dB | 20 dB |
|---|---|---|---|---|---|
| 6 | FFT | 86.7 | 82.9 | 81.7 | 74.5 |
| 25 | MRA | 98.5 | 94.6 | 91.4 | 85.3 |
| 50 | HHT | 97.0 | 96.1 | 93.9 | 81.7 |
Publisher’s Note: MDPI stays neutral with regard to jurisdictional claims in published maps and institutional affiliations. |
© 2020 by the authors. Licensee MDPI, Basel, Switzerland. This article is an open access article distributed under the terms and conditions of the Creative Commons Attribution (CC BY) license (http://creativecommons.org/licenses/by/4.0/).
Share and Cite
Lee, C.-Y.; Huang, K.-Y.; Jen, L.-Y.; Zhuo, G.-L. Diagnosis of Defective Rotor Bars in Induction Motors. Symmetry 2020, 12, 1753. https://doi.org/10.3390/sym12111753
Lee C-Y, Huang K-Y, Jen L-Y, Zhuo G-L. Diagnosis of Defective Rotor Bars in Induction Motors. Symmetry. 2020; 12(11):1753. https://doi.org/10.3390/sym12111753
Chicago/Turabian StyleLee, Chun-Yao, Kuan-Yu Huang, Lai-Yu Jen, and Guang-Lin Zhuo. 2020. "Diagnosis of Defective Rotor Bars in Induction Motors" Symmetry 12, no. 11: 1753. https://doi.org/10.3390/sym12111753
APA StyleLee, C.-Y., Huang, K.-Y., Jen, L.-Y., & Zhuo, G.-L. (2020). Diagnosis of Defective Rotor Bars in Induction Motors. Symmetry, 12(11), 1753. https://doi.org/10.3390/sym12111753

