Heat Transfer of Oil/MWCNT Nanofluid Jet Injection Inside a Rectangular Microchannel
Abstract
1. Introduction
2. Problem Definition
3. Governing Equations
4. Numerical Details
5. Results and Discussion
5.1. Streamlines and Isothermal Contours
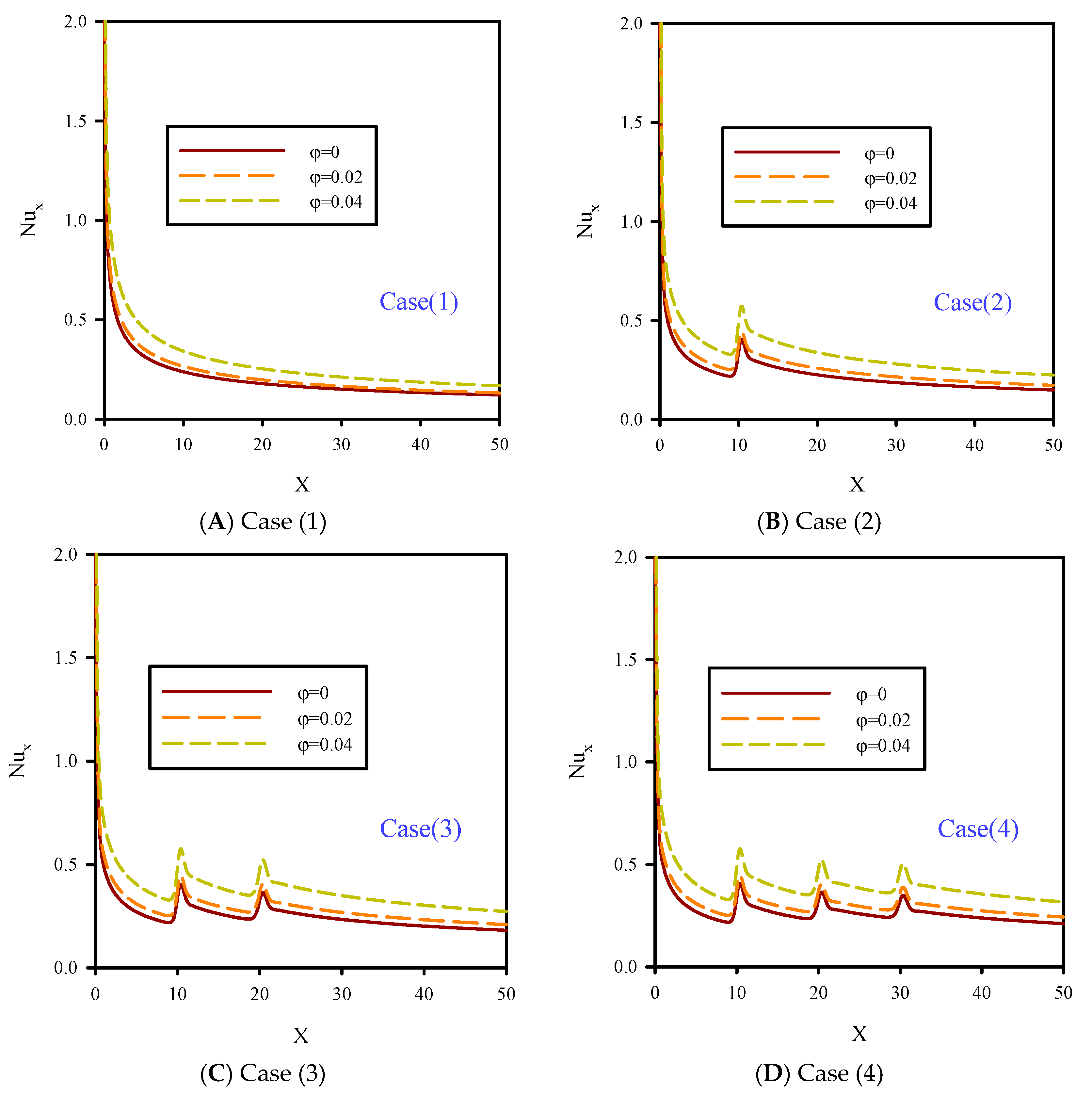
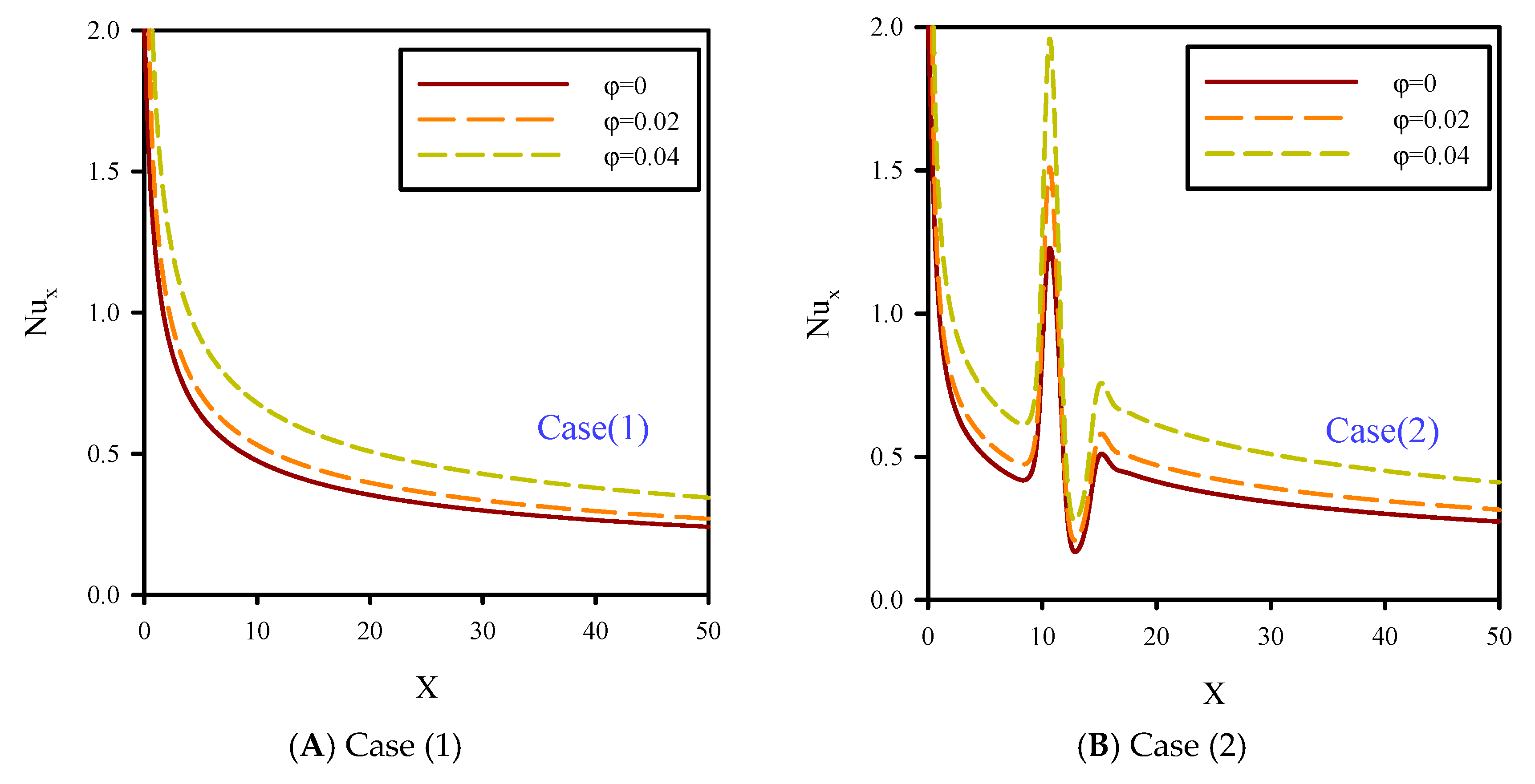
5.2. Local Nusselt Number
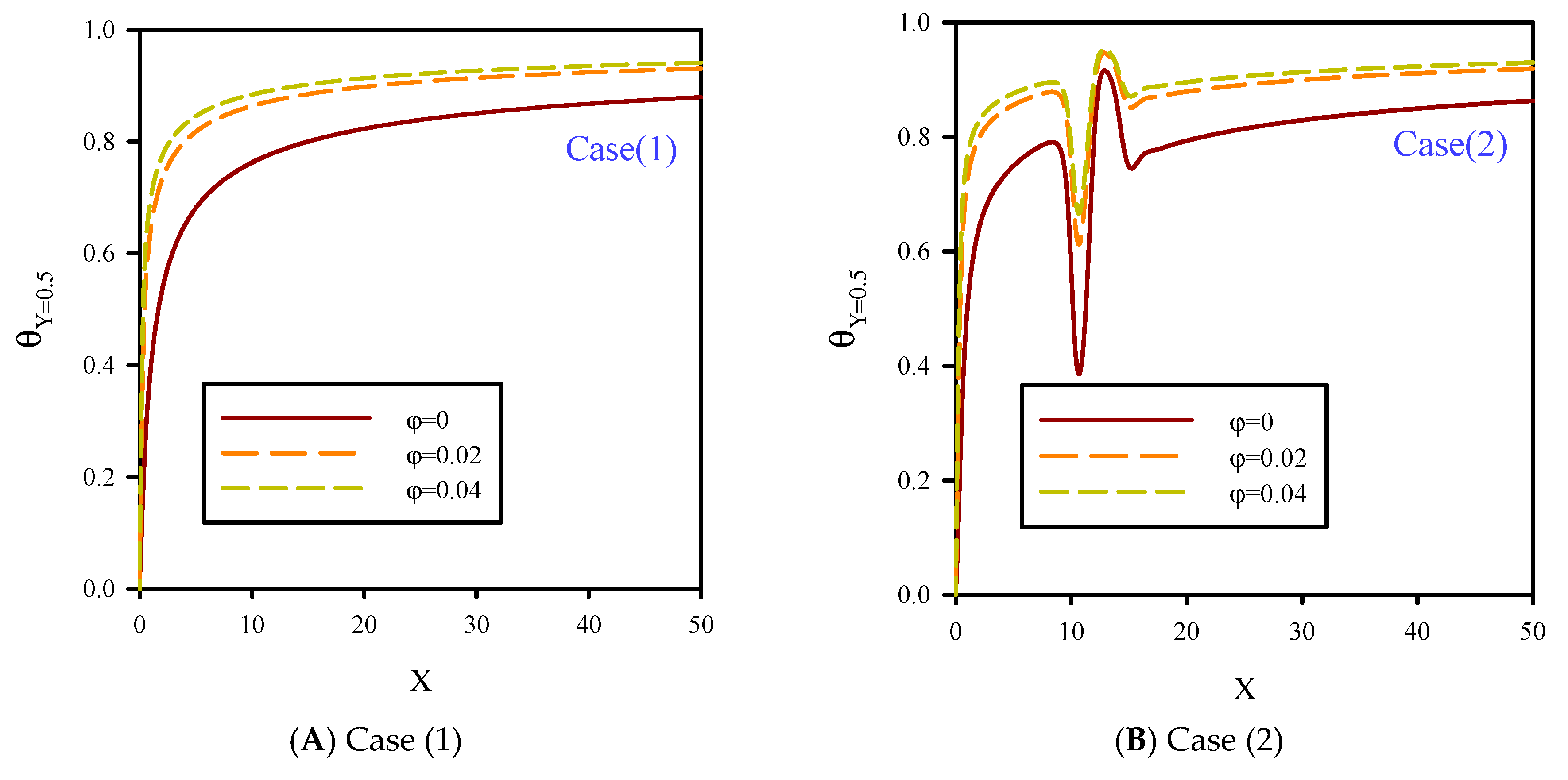
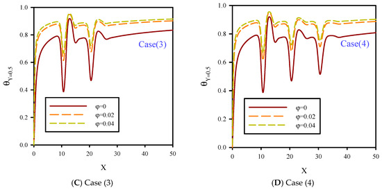
5.3. Temperature along the Symmetry Plane
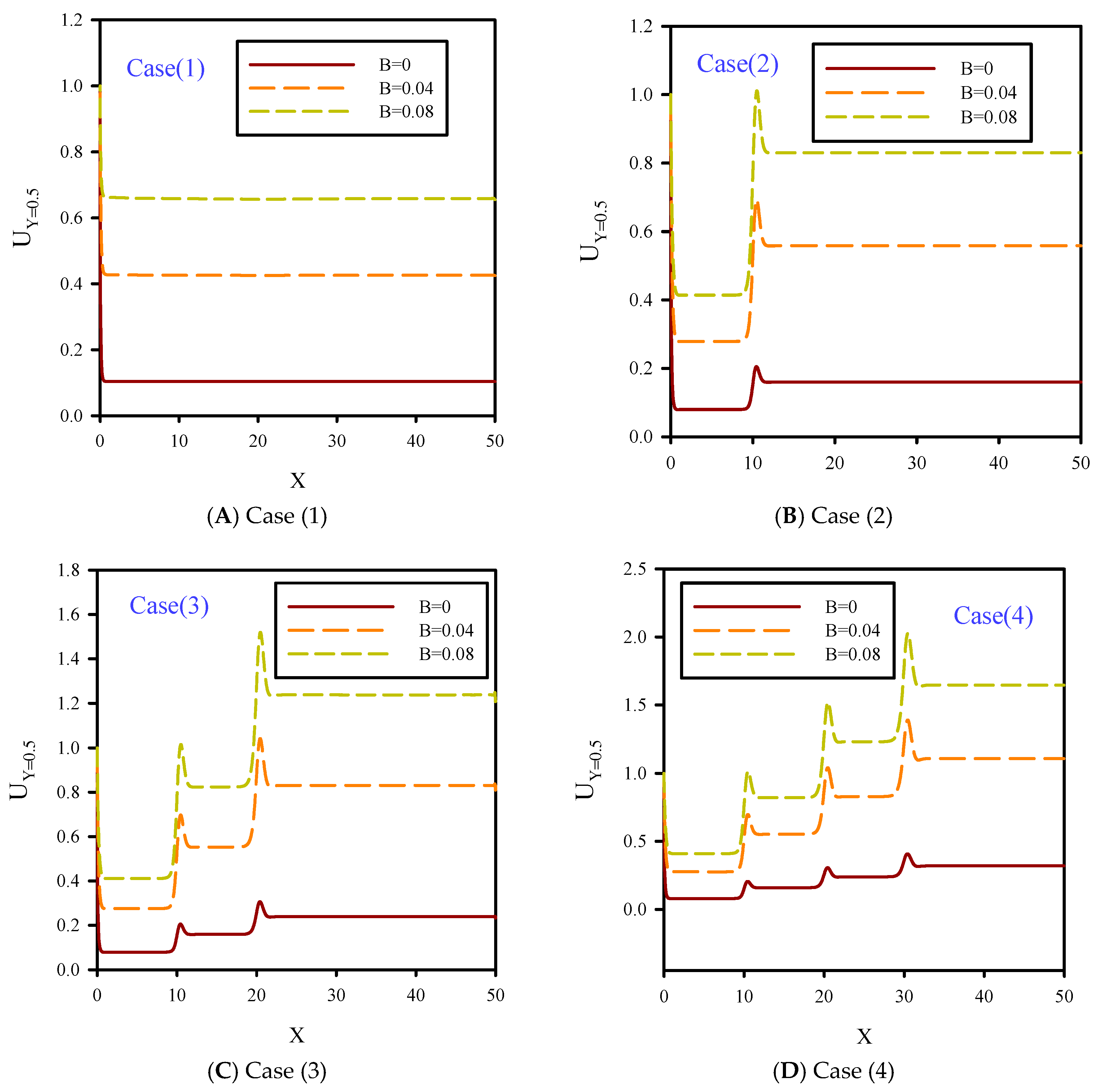
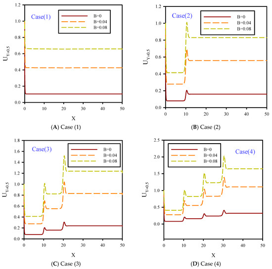
5.4. Axial Velocity along the Symmetric Plate
5.5. Average Nusselt Number on the Heated Surface
5.6. Effect of Slip Coefficient on Axial Velocity
6. Conclusions
Author Contributions
Funding
Conflicts of Interest
Nomenclature
| B | dimensionless slip velocity coefficient |
| Cp | heat capacity, J kg−1 K−1 |
| d | diameter, m |
| H, L | microchannel height and length, m |
| k | thermal conductivity coefficient, Wm−1 K−1 |
| Nu | Nusselt number |
| P | fluid pressure, Pa |
| Pr = νf/f | Prandtl number |
| Re = ρf uc H /µf | Reynolds number |
| T | temperature, K |
| u, v | velocity components in the x-, y-directions, ms−1 |
| uc | inlet flow velocity, ms−1 |
| (U, V) = (u/U0, v/U0) | dimensionless flow velocity in the x-, y-direction |
| x, y | Cartesian coordinates, m |
| (X, Y = x/H, y/H) | dimensionless coordinates |
| Greek symbols | |
| α | thermal diffusivity, m2s−1 |
| β * | dimensionless slip velocity coefficient |
| φ | nanoparticle volume fraction |
| µ | dynamic viscosity, Pa s |
| θ = (T − TC)/(TH − TC) | dimensionless temperature |
| ρ | density, kg m−3 |
| ν | kinematics viscosity m2s−1 |
| Super- and Subscripts | |
| c | Cold |
| eff | Effective |
| f | base fluid (pure water) |
| h | Hot |
| m | Mean |
| nf | Nanofluid |
| s | solid nanoparticles |
References
- Gorla, R.S.R.; Chamkha, A. Natural convective boundary layer flow over a vertical plate embedded in a porous medium saturated with a non-Newtonian nanofluid. Int. J. Microscale Nanoscale Therm. Fluid Transp. Phenom. 2011, 3, 1–20. [Google Scholar]
- Dogonchi, A.S.; Chamkha, A.J.; Seyyedi, S.M.; Ganji, D.D. Radiative nanofluid flow and heat transfer between parallel disks with penetrable and stretchable walls considering Cattaneo–Christov heat flux model. Heat Transf. Asian Res. 2018, 47, 735–753. [Google Scholar] [CrossRef]
- Goshayeshi, H.R.; Safaei, M.R.; Goodarzi, M.; Dahari, M. Particle Size and Type Effects on Heat Transfer Enhancement of Ferro-nanofluids in a Pulsating Heat Pipe under Magnetic Field. Powder Technol. 2016, 301, 1218–1226. [Google Scholar] [CrossRef]
- Khanafer, K.; Vafai, K. A critical synthesis of thermophysical characteristics of nanofluids. Int. J. Heat Mass Transf. 2012, 54, 4410–4428. [Google Scholar] [CrossRef]
- Kosar, A.; Peles, Y. TCPT-2006-096. R2: Micro Scale Pin Fin Heat Sinks—Parametric Performance Evaluation Study. IEEE Trans. Compon. Packag. Technol. 2007, 30, 855–865. [Google Scholar] [CrossRef]
- Sivasankaran, H.; Asirvatham, G.; Bose, J.; Albert, B. Experimental Analysis of Parallel Plate and Crosscut Pin Fin Heat Sinks for Electronic Cooling Applications. Therm. Sci. 2010, 14, 147–156. [Google Scholar] [CrossRef]
- Mital, M. Analytical Analysis of Heat Transfer and Pumping Power of Laminar Nanofluid Developing Flow in Microchannels. Appl. Therm. Eng. 2012, 50, 429–436. [Google Scholar] [CrossRef]
- Hung, T.C.; Yan, W.M.; Wang, X.D.; Chang, C.Y. Heat Transfer Enhancement in Microchannel Heat Sinks using Nanofluids. Int. J. Heat Mass Transf. 2012, 55, 2559–2570. [Google Scholar] [CrossRef]
- Akbari, O.A.; Toghraie, D.; Karimipour, A. Impact of ribs on flow parameters and laminar heat transfer of water–aluminum oxide nanofluid with different nanoparticle volume fractions in a three-dimensional rectangular microchannel. Adv. Mech. Eng. 2015, 7, 1–11. [Google Scholar] [CrossRef]
- Behnampour, A.; Akbari, O.A.; Safaei, M.R.; Ghavami, M.; Marzban, A.; Ahmadi Sheikh Shabani, G.R.; zarringhalam, M.; Mashayekhi, R. Analysis of heat transfer and nanofluid fluid flow in microchannels with trapezoidal, rectangular and triangular shaped ribs. Physica E 2017, 91, 15–31. [Google Scholar] [CrossRef]
- Gravndyan, Q.; Akbari, O.A.; Toghraie, D.; Marzban, A.; Mashayekhi, R.; Karimi, R.; Pourfattah, F. The effect of aspect ratios of rib on the heat transfer and laminar water/TiO2 nanofluid flow in a two-dimensional rectangular microchannel. J. Mol. Liq. 2017, 236, 254–265. [Google Scholar] [CrossRef]
- Lee, D.Y.; Vafai, K. Comparative analysis of jet impingement and microchannel cooling for high heat flux applications. Int. J. Heat Mass Transf. 1999, 42, 1555–1568. [Google Scholar] [CrossRef]
- Chang, S.W.; Chiang, K.F.; Chou, T.C. Heat transfer and pressure drop in hexagonal ducts with surface dimples. Exp. Therm. Fluid Sci. 2010, 34, 1172–1181. [Google Scholar] [CrossRef]
- Elyyan, M.A.; Ball, K.S.; Diller Thomas, E.; Paul Mark, R.; Ragab Saad, A. Heat Transfer Augmentation Surfaces Using Modified Dimples/Protrusions. Ph.D. Thesis, Virginia Tech, Blacksburg, VA, USA, 2008. [Google Scholar]
- Guo, J.; Fan, A.; Zhang, X.; Liu, W. A numerical study on heat transfer and friction factor characteristics of laminar flow in a circular tube fitted with centercleared twisted tap. Int. J. Therm. Sci. 2011, 50, 1263–1270. [Google Scholar] [CrossRef]
- Zhang, X.; Liu, Z.; Liu, W. Numerical studies on heat transfer and flow characteristics for laminar flow in a tube with multiple regularly spaced twisted tapes. Int. J. Therm. Sci. 2012, 58, 157–167. [Google Scholar] [CrossRef]
- Zheng, N.; Liu, W.; Liu, Z.; Liu, P.; Shan, F. A numerical study on heat transfer enhancement and the flow structure in a heat exchanger tube with discrete double inclined ribs. Appl. Therm. Eng. 2015, 90, 232–241. [Google Scholar] [CrossRef]
- Shan, F.; Liu, Z.; Liu, W.; Tsuji, Y. Effects of the orifice to pipe diameter ratio on orifice flows. Chem. Eng. Sci. 2016, 152, 497–506. [Google Scholar] [CrossRef]
- Zheng, N.; Liu, P.; Shan, F.; Liu, Z.; Liu, W. Effects of rib arrangements on the flow pattern and heat transfer in an internally ribbed heat exchanger tube. Int. J. Therm. Sci. 2016, 101, 93–105. [Google Scholar] [CrossRef]
- Chin, S.B.; Foo, J.J.; Lai, Y.L.; Yong, T.K.K. Forced Convective Heat Transfer Enhancement with Perforated Pin Fins. Heat Mass Transf. 2013, 49, 1447–1458. [Google Scholar] [CrossRef]
- Naphon, P.; Nakharintr, L. Heat Transfer of Nanofluids in the Mini-rectangular Fin Heat Sinks. Int. Commun. Heat Mass Transf. 2012, 40, 25–31. [Google Scholar] [CrossRef]
- Jasperson, B.A.; Jeon, Y.; Turner, K.T.; Pfefferkorn, F.E.; Qu, W. Comparison of Micro-pin-fin and Microchannel Heat Sinks Considering Thermal-hydraulic Performance and Manufacturability. IEEE Trans. Compon. Packag. Technol. 2010, 33, 148–160. [Google Scholar] [CrossRef]
- Zhuang, Y.; Ma, C.F.; Qin, M. Experimental study on local heat transfer with liquid impingement flow in two-dimensional micro-channels. Int. J. Heat Mass Transf. 1997, 40, 4055–4059. [Google Scholar] [CrossRef]
- Gholami, M.R.; Akbari, O.A.; Marzban, A.; Toghraie, D.; Ahmadi Sheikh Shabani, G.H.R.; Zarringhalam, M. The effect of rib shape on the behavior of laminar flow of Oil/MWCNT nanofluid in a rectangular microchannel. J. Therm. Anal. Calorim. 2017, 1–18. [Google Scholar] [CrossRef]
- Raisi, A.; Aminossadati, S.M.; Ghasemi, B. An innovative nanofluid-based cooling using separated natural and forced convection in low Reynolds flows. J. Taiwan Inst. Chem. Eng. 2016, 1–5. [Google Scholar] [CrossRef]
- Aminossadati, S.M.; Raisi, A.; Ghasemi, B. Effects of magnetic field on nanofluid forced convection in a partially heated microchannel. Int. J. Non-Linear Mech. 2011, 46, 1373–1382. [Google Scholar] [CrossRef]
- Bahmani, M.H.; Sheikhzadeh, G.; Zarringhalam, M.; Akbari, O.A.; Alrashed, A.A.A.A.; Ahmadi Sheikh Shabani, G.; Goodarzi, M. Investigation of turbulent heat transfer and nanofluid flow in a double pipe heat exchanger. Adv. Powder Technol. 2018, 29, 273–282. [Google Scholar] [CrossRef]
- Arani, A.A.A.; Akbari, O.A.; Safaei, M.R.; Marzban, A.; Alrashed, A.A.A.A.; Ahmadi, G.R.; Nguyen, T.K. Heat transfer improvement of water/single-wall carbon nanotubes (SWCNT) nanofluid in a novel design of a truncated double layered microchannel heat sink. Int. J. Heat Mass Transf. 2017, 113, 780–795. [Google Scholar] [CrossRef]
- Khodabandeh, E.; Rahbari, A.; Rosen, M.A.; Najafian Ashrafi, Z.; Akbari, O.A.; Anvari, A.M. Experimental and numerical investigations on heat transfer of a water-cooled lance for blowing oxidizing gas in an electrical arc furnace. Energy Conversat. Manag. 2017, 148, 43–56. [Google Scholar] [CrossRef]
- Safaiy, M.R.; Saleh, S.R.; Goudarzi, M. Numerical studies of laminar natural convection in a square cavity with orthogonal grid mesh by finite volume method. Int. J. Adv. Des. Manuf. Technol. 2011, 1, 13–21. [Google Scholar]
- Akbari, O.A.; Goodarzi, M.; Safaei, M.R.; Zarringhalam, M.; Ahmadi Sheikh Shabani, G.R.; Dahari, M. A modified two-phase mixture model of nanofluid flow and heat transfer in 3-D curved microtube. Adv. Powd. Technol. 2016, 27, 2175–2185. [Google Scholar] [CrossRef]
- Safaei, M.R.; Goodarzi, M.; Akbari, O.A.; Safdari Shadloo, M.; Dahari, M. Performance Evaluation of Nanofluids in an Inclined Ribbed Microchannel for Electronic Cooling Applications. Electron. Cool. 2016. [Google Scholar] [CrossRef]
- Raisi, A.; Ghasemi, B.; Aminossadati, S.M. A Numerical Study on the Forced Convection of Laminar Nanofluid in a Microchannel with Both Slip and No-Slip Conditions. Numer. Heat Transf. Part A 2011, 59, 114–129. [Google Scholar] [CrossRef]





















| Oil | MWCNT | φ = 0.02 | φ = 0.04 | |
|---|---|---|---|---|
| cp (J/kg K) | 2032 | 1700 | 2012.9 | 1995.1 |
| ρ (kg/m3) | 867 | 2600 | 901.66 | 936.32 |
| k (W/m K) | 0.133 | 3000 | 0.5255 | 0.7912 |
| µ (Pa s) | 0.0289 | - | 0.0305 | 0.0321 |
| Grid Size | 500 × 50 | 750 × 75 | 850 × 80 | 900 × 90 | 1000 × 100 |
|---|---|---|---|---|---|
| Re = 10 | |||||
| Nuave | 0.3698 | 0.3401 | 0.3202 | 0.2922 | 0.3401 |
| Uout(Y=H/2) | 3.806 | 3.7740 | 3.7532 | 3.6178 | 3.7740 |
| Re=50 | |||||
| Nuave | 0.69719 | 0.6561 | 0.6178 | 0.5541 | 0.6561 |
| Uout(Y=H/2) | 3.972 | 3.9616 | 3.9578 | 3.9257 | 3.9616 |
© 2019 by the authors. Licensee MDPI, Basel, Switzerland. This article is an open access article distributed under the terms and conditions of the Creative Commons Attribution (CC BY) license (http://creativecommons.org/licenses/by/4.0/).
Share and Cite
Jalali, E.; Ali Akbari, O.; Sarafraz, M.M.; Abbas, T.; Safaei, M.R. Heat Transfer of Oil/MWCNT Nanofluid Jet Injection Inside a Rectangular Microchannel. Symmetry 2019, 11, 757. https://doi.org/10.3390/sym11060757
Jalali E, Ali Akbari O, Sarafraz MM, Abbas T, Safaei MR. Heat Transfer of Oil/MWCNT Nanofluid Jet Injection Inside a Rectangular Microchannel. Symmetry. 2019; 11(6):757. https://doi.org/10.3390/sym11060757
Chicago/Turabian StyleJalali, Esmaeil, Omid Ali Akbari, M. M. Sarafraz, Tehseen Abbas, and Mohammad Reza Safaei. 2019. "Heat Transfer of Oil/MWCNT Nanofluid Jet Injection Inside a Rectangular Microchannel" Symmetry 11, no. 6: 757. https://doi.org/10.3390/sym11060757
APA StyleJalali, E., Ali Akbari, O., Sarafraz, M. M., Abbas, T., & Safaei, M. R. (2019). Heat Transfer of Oil/MWCNT Nanofluid Jet Injection Inside a Rectangular Microchannel. Symmetry, 11(6), 757. https://doi.org/10.3390/sym11060757

