Spatio-Temporal Land-Use/Cover Change Dynamics Using Spatiotemporal Data Fusion Model and Google Earth Engine in Jilin Province, China
Abstract
1. Introduction
2. Study Area and Data Source
2.1. Study Area
2.2. Data Sources
2.2.1. Landsat Data
2.2.2. MODIS Data
3. Methods
3.1. Data Selection and Pre-Processing
3.2. OL-STARFM High-Spatial-and-Temporal-Resolution Data Fusion Model
3.3. LU/CC Information Extraction Based on Random Forests with Fused Remote Sensing Indices
3.3.1. Integration of Remote Sensing Indices
3.3.2. Classifier Construction Based on the Random Forest Algorithm
3.3.3. Evaluation of the Accuracy of Classification Results
4. Results
4.1. Accuracy Test of the OL-STARFM Spatio-Temporal Fusion Data
4.2. Results of Remote Sensing Extraction of Land-Use/Cover Change Information in Jilin Province
4.3. Evolution of the Spatial and Temporal Patterns of Land-Use/Cover Change in Jilin Province
4.3.1. Changes in Time Trend
- (1)
- Cultivated land. The area and the amount of change in the area of cultivated land in different study years were counted, as shown in Figure 6. Through Figure 6 and Table 7, it can be seen that the area of cultivated land increased from 80,538.54 km2 in 2000 to 91,559.24 km2 in 2005, and then decreased continuously to 67,083.93 km2 in 2020. It then increased slightly to 71,951.81 km2 in 2023. Overall, cultivated land decreased by an average of 357.78 km2 per year, with rates of change of 13.68%, −13.98%, −8.13%, −7.29%, and 7.26% in each phase.
- (2)
- Grassland. The area and the amount of change in the area of grassland in different study years were counted, as shown in Figure 7. As can be seen from Figure 7 and Table 7, during the study period, contrary to cultivated land, the area of grassland as a whole showed a trend of decreasing, then increasing, and then decreasing, decreasing from 17,443.88 km2 in 2000 to 4176.38 km2 in 2005, then increasing to 22,832.24 km2 in 2020, and decreasing to 11,773.05 km2 in 2023. Overall, grassland decreased by an average of 236.28 km2 per year, with rates of change of −76.06%, 293.05%, 37.30%, 1.30%, and −48.44% in each phase.
- (3)
- Forest. The area and the amount of change in the area of forest land in different study years were counted, as shown in Figure 8. As can be seen from Figure 8 and Table 7, the area of forest increased steadily, with an average annual growth of 255.14 km2, and rates of change of 0.85%, 2%, −2.96%, 6.14%, and 1.96% in each phase.
- (4)
- Water. The area and the amount of change in the area of the water body in different study years were counted, as shown in Figure 9. From Figure 9 and Table 7, it can be seen that the overall trend of water area was increasing, with an average annual increase of 60.01 km2, but there was a fluctuating trend in the area of the water in individual study years, with a rate of change of 10.71%, −16.03%, 32.44%, 1.92%, and 21.92% for the five phases.
- (5)
- Building land. The area of construction land and the amount of area change in different study years were counted, as shown in Figure 10. It can be seen from Figure 10 and Table 7 that during the study period, the area of building land continuously increased from 4718 km2 in 2000 to 13,442.27 km2 in 2023, with an average annual increase of 363.51 km2. The area of building land in the five change phases increased by 2229.45 km2, 1864.19 km2, 442.29 km2, 1587.9 km2, and 2600.45 km2, corresponding to a rate of change of 47.25%, 26.83%, 5.02%, 17.16%, and 23.99%, respectively.
- (6)
- Unused land. The area of bare land and the amount of change in the area in different study years were counted, as shown in Figure 11. As can be seen from Figure 11 and Table 7, the unused land area showed an overall decreasing trend during the study period, with an average annual decrease of 84.6 km2, but there were repeated increases and decreases in 2010–2023, with rates of change of −16.47%, −50.61%, 58.22%, −36.84%, and 54.48% in each phase.
4.3.2. Changes in Spatial Characteristics
- (1)
- Cultivated land. The total area of cultivated land decreased, mainly in the western part of Jilin Province, where agriculture predominates, and in the areas of Changchun City, Jilin City, and Yanbian Prefecture, which corresponded with the expansion of construction land and tourism development. During the study period, a total of 24,969.65 km2 was transferred, of which 33.54% was converted to forest, 30.77% was converted to grassland, and 29.01% was converted to building land. In terms of transfer-in, water, building land, and unused land have always been the stable transfer-in types of cultivated land, and the largest areas transformed into cultivated land were 284.7 km2 (2015–2020), 3439.04 km2 (2015–2020), and 1102.4 km2 (2000–2005). The area of grassland and forest transferred to cultivated land was unstable and fluctuated.
- (2)
- Grassland. Grassland makes up a relatively small proportion of Jilin Province, and is mainly distributed at in the eastern forest edge area of Jilin City and a small part of Changchun City. With the implementation of the policy of returning cultivated land to forest and grassland and the reconstruction of the ecological environment, the area of grassland increased between 2005 and 2020, but declined in 2020–2023. In the whole study period, under the influence of the policy of returning farmland to forest and grassland, the main transfer of grassland area occurred between cultivated land and grassland. In 24a, both the maximum area transferred in and the maximum area transferred out of grassland were cultivated land, at 7682.48 km2 and 9942.33 km2. In the interval study, the area of cultivated land transferred to grassland was the largest, with a maximum interval change of 13,182.89 km2 (2005–2010), which was strongly influenced by institutional factors. The largest type of grassland transferred was also cultivated land, with an area of 13,368.64 km2 in 2000–2005.
- (3)
- Forest. The forest land is mainly concentrated in the eastern part of the study area and in the green spaces of a few cities in the central and western regions, such as Changchun, Jilin, and Liaoyuan. The spatial pattern is relatively stable, and it is a land type with a low frequency of change. The main types of transfer-in and transfer-out are cultivated land. In terms of transfer-in, the main transfer-in source of forest is cultivated land, and the largest transfer-in area was 5392.66 km2 (2005–2010). The largest transfer source was grassland from 2015 to 2020, at 6172.14 km2. In terms of transfer-out, forest was mainly diverted to grassland and cultivated land, with maximum diversion areas of 5665.19 km2 (2010–2015) and 5582.88 km2 (2000–2005), respectively.
- (4)
- Water. The changes in the water body area in the study area are relatively stable, and mainly distributed in lakes in the western platform plain area of Jilin Province and the five river systems flowing through the province: Songhua River, Liao River, Yalu River, Tumen River, and Suifen River. The main reason for the changes in water was the mutual transformation between water and other land features such as cultivated land. In terms of transfer-in, the main sources were cultivated land and building land, and the largest transfer-in areas were 608.86 km2 (2020–2023) and 415.28 km2 (2020–2023). In terms of transfer-out, building land and cultivated land were the main transfer-out areas, and the largest transfer-out areas were 291.96 km2 (2005–2010) and 284.7 km2 (2015–2020), respectively.
- (5)
- Building land. Building land showed a trend of continuous expansion, and the development tended to start from a city cluster and spread around. The expansion area was mainly concentrated in central and western Jilin Province, with the urban expansion of Changchun City and the western platform plain cities being the most obvious. The area of building land increased year by year. In terms of transfer-in, the main sources of building land transfer-in were cultivated land, grassland, and unused land, and the largest transfer areas were 6015.315 km2 (2020–2023), 1597.71 km2 (2020–2023), and 1373.27 km2 (2005–2010). In terms of transfer-out, the transfer-out area of building land was mainly cultivated land and unused land, and the maximum transfer-out area was 3439.04 km2 (2015–2020) and 1013.37 km2 (2020–2023).
- (6)
- Unused land. The unused land area decreased, occasionally fluctuated, and the spatial distribution was relatively small and mainly distributed in the west. Saline–alkali land was more likely to change. In terms of transfer-out, unused land was mainly transferred to building land and cultivated land, and the largest transfer areas were 1373.27 km2 (2005–2010) and 1102.4 km2 (2000–2005). In terms of transfer-in, the main sources of transfer were also cultivated land and building land, with the largest transfer areas of 1202.78 km2 (2010–2015) and 1013.37 km2 (2020–2023).
5. Discussion
5.1. Attitudes towards Land-Use Change Dynamics
5.2. Frequency Analysis of Land-Use Change
6. Conclusions
- (1)
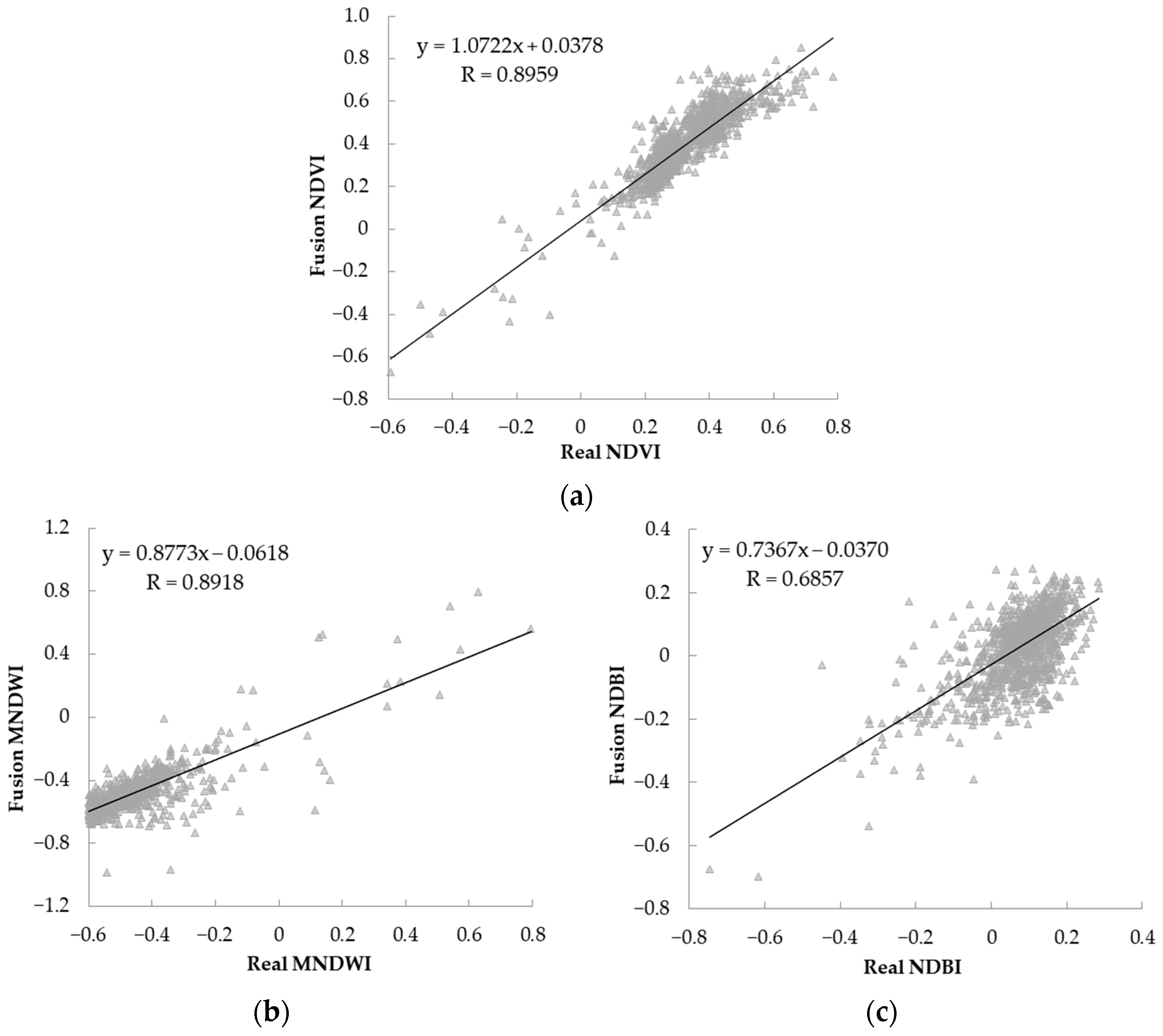
- The prediction results using the OL-STARFM method were close to the real images, and also highlighted more spatially detailed features. The different bands obtained by spatio-temporal data fusion showed a positive correlation, and the Pearson correlation coefficient reached more than 0.85.
- (2)
- The land-use type maps with 30 m resolution for six time phases in Jilin Province from 2000 to 2023 were drawn by using the classification method of random forest remote sensing images based on the remote sensing index. The average overall accuracy and kappa coefficient of the products were 95.11% and 0.9394, respectively.
- (3)
- During the study period, the cultivated land area increased from 2000 to in 2005, then decreased continuously until 2020, and then increased slightly to 71,951.81 km2 in 2023, with an average annual decrease of 357.78 km2.The overall grassland area showed a trend of decreasing, then increasing, then decreasing, for an average annual decrease of 236.28 km2. The area of forest increased steadily, with an average annual increase of 255.14 km2. The overall water area showed an upward trend, with an average annual increase of 38.96 km2, but it showed fluctuations in individual study years. The area of building land continuously increased, with an average annual growth of 363.51 km2. The overall unused land area showed a downward trend during the study period, with an average annual decrease of 84.6 km2, but there were fluctuating changes in 2010–2023.
- (4)
- During the study period, the pattern of land use in Jilin Province changed significantly. Cultivated land was the most important source of transfer-out, and the proportion of the total area decreased from 42.98% to 38.39%. Grassland, forest, and building land were mainly transferred out, and the transfer-out areas were 7682.48 km2, 8374.11 km2, and 7244.52 km2, respectively. Grassland was the largest source of transfer-in, at 9942.33 km2. The land transfer among other feature types was relatively small, at less than 3300 km2 each.
Author Contributions
Funding
Data Availability Statement
Acknowledgments
Conflicts of Interest
References
- Rashidi, P.; Patil, S.D.; Schipper, A.M.; Alkemade, R.; Rosa, I. Downscaling Global Land-Use Scenario Data to the National Level: A Case Study for Belgium. Land 2023, 12, 1740. [Google Scholar] [CrossRef]
- Jing, Q.Q.; He, J.J.; Li, Y.R.; Yang, X.Y.; Peng, Y.; Wang, H.; Yu, F.; Wu, J.; Gong, S.L.; Che, H.Z.; et al. Analysis of the spatiotemporal changes in global land cover from 2001 to 2020. Sci. Total Environ. 2024, 908, 168354. [Google Scholar] [CrossRef] [PubMed]
- Zhang, Z.; Wei, Y.; Li, X.; Wan, D.; Shi, Z. Study on Tianjin Land-Cover Dynamic Changes, Driving Factor Analysis, and Forecasting. Land 2024, 13, 726. [Google Scholar] [CrossRef]
- Zhang, M.M.; Zhang, C.; Kafy, A.A.; Tan, S.K. Simulating the Relationship between Land Use/Cover Change and Urban Thermal Environment Using Machine Learning Algorithms in Wuhan City, China. Land 2022, 11, 14. [Google Scholar] [CrossRef]
- Mendoza-Ponce, A.; Corona-Nunez, R.; Kraxner, F.; Leduc, S.; Patrizio, P. Identifying effects of land use cover changes and climate change on terrestrial ecosystems and carbon stocks in Mexico. Glob. Environ. Chang.—Hum. Policy Dimens. 2018, 53, 12–23. [Google Scholar] [CrossRef]
- Zhao, Y.; An, R.; Xiong, N.; Ou, D.; Jiang, C. Spatio-Temporal Land-Use/Land-Cover Change Dynamics in Coastal Plains in Hangzhou Bay Area, China from 2009 to 2020 Using Google Earth Engine. Land 2021, 10, 1149. [Google Scholar] [CrossRef]
- Chen, C.; Chen, H.; Chen, D.; Zhang, Z.; Zhang, X.; Zhuang, Y.; Chu, Y.; Chen, J.; Zheng, H. Coastline extraction and spatial—temporal variations using remote sensing technology in Zhoushan Islands. Remote Sens. Land Resour. 2021, 33, 141–152. [Google Scholar]
- Du, Z.R.; Yu, L.; Chen, X.; Gao, B.B.; Yang, J.Y.; Fu, H.H.; Gong, P. Land use/cover and land degradation across the Eurasian steppe: Dynamics, patterns and driving factors. Sci. Total Environ. 2024, 909, 168593. [Google Scholar] [CrossRef] [PubMed]
- Cruz, J.D.; Blanco, C.J.C.; de Oliveira, J.F. Modeling of land use and land cover change dynamics for future projection of the Amazon number curve. Sci. Total Environ. 2022, 811, 15234. [Google Scholar] [CrossRef]
- Wang, C.Y.; Yang, K.; Yang, W.; Qiang, H.Y.; Xue, H.Y.; Lu, B.B.; Zhou, P. R-MFNet: Analysis of Urban Carbon Stock Change against the Background of Land-Use Change Based on a Residual Multi-Module Fusion Network. Remote Sens. 2023, 15, 2823. [Google Scholar] [CrossRef]
- Li, X.; Huang, C.L.; Che, T.; Jin, R.; Wang, S.G.; Wang, J.M.; Gao, F.; Zhang, S.W.; Qiu, C.J.; Wang, C.H. Development of a Chinese land data assimilation system: Its progress and prospects. Prog. Nat. Sci.—Mater. Int. 2007, 17, 881–892. [Google Scholar]
- You, Q.X.; Deng, W.X.; Tang, X.; Liu, Y.; Lei, P.; Chen, J.J.; You, H.T. Monitoring of mangrove dynamic change in Beibu Gulf of Guangxi based on reconstructed time series images. Sci. Total Environ. 2024, 917, 170395. [Google Scholar] [CrossRef]
- Mu, S.; Li, B.; Yao, J.; Yang, G.; Wan, R.; Xu, X. Monitoring the spatio-temporal dynamics of the wetland vegetation in Poyang Lake by Landsat and MODIS observations. Sci. Total Environ. 2020, 725, 138096. [Google Scholar] [CrossRef] [PubMed]
- Jing, W.; Lou, T.; Wang, Z.; Zou, W.; Xu, Z.; Mohaisen, L.; Li, C.; Wang, J. A Rigorously-Incremental Spatiotemporal Data Fusion Method for Fusing Remote Sensing Images. IEEE J. Sel. Top. Appl. Earth Obs. Remote Sens. 2023, 16, 6723–6738. [Google Scholar] [CrossRef]
- Cheng, Q.; Zhang, Z.; Liang, D.; Ye, F. Fine Spatial and Temporal Ice/Snow Surface Temperature Generation: Evaluation Spatiotemporal Fusion Methods in Greenland Ice Sheet. IEEE J. Sel. Top. Appl. Earth Obs. Remote Sens. 2023, 16, 10216–10229. [Google Scholar] [CrossRef]
- Gao, F.; Masek, J.; Schwaller, M.; Hall, F. On the blending of the Landsat and MODIS surface reflectance: Predicting daily Landsat surface reflectance. IEEE Trans. Geosci. Remote Sens. 2006, 44, 2207–2218. [Google Scholar] [CrossRef]
- Wu, M.Q.; Wang, J.; Niu, Z.; Zhao, Y.Q.; Wang, C.Y. A model for spatial and temporal data fusion. J. Infrared Millim. Waves 2012, 31, 80–84. [Google Scholar] [CrossRef]
- Zhu, X.L.; Chen, J.; Gao, F.; Chen, X.H.; Masek, J.G. An enhanced spatial and temporal adaptive reflectance fusion model for complex heterogeneous regions. Remote Sens. Environ. 2010, 114, 2610–2623. [Google Scholar] [CrossRef]
- Lin, L.; Shen, Y.; Wu, J.; Nan, F. CAFE: A Cross-Attention Based Adaptive Weighting Fusion Network for MODIS and Landsat Spatiotemporal Fusion. IEEE Geosci. Remote Sens. Lett. 2023, 20, 1–5. [Google Scholar] [CrossRef]
- Liu, Q.; Meng, X.; Li, X.; Shao, F. Detail Injection-Based Spatio-Temporal Fusion for Remote Sensing Images with Land Cover Changes. IEEE Trans. Geosci. Remote Sens. 2023, 61, 1–14. [Google Scholar] [CrossRef]
- Zhukov, B.; Oertel, D.; Lanzl, F.; Reinhäckel, G. Unmixing-based multisensor multiresolution image fusion. IEEE Trans. Geosci. Remote Sens. 1999, 37, 1212–1226. [Google Scholar] [CrossRef]
- Busetto, L.; Meroni, M.; Colombo, R. Combining medium and coarse spatial resolution satellite data to improve the estimation of sub-pixel NDVI time series. Remote Sens. Environ. 2008, 112, 118–131. [Google Scholar] [CrossRef]
- Hilker, T.; Wulder, M.A.; Coops, N.C.; Linke, J.; McDermid, G.; Masek, J.G.; Gao, F.; White, J.C. A new data fusion model for high spatial- and temporal-resolution mapping of forest disturbance based on Landsat and MODIS. Remote Sens. Environ. 2009, 113, 1613–1627. [Google Scholar] [CrossRef]
- Zhu, X.L.; Helmer, E.H.; Gao, F.; Liu, D.S.; Chen, J.; Lefsky, M.A. A flexible spatiotemporal method for fusing satellite images with different resolutions. Remote Sens. Environ. 2016, 172, 165–177. [Google Scholar] [CrossRef]
- Guo, D.; Shi, W.; Zhang, H.; Hao, M. A Flexible Object-Level Processing Strategy to Enhance the Weight Function-Based Spatiotemporal Fusion Method. IEEE Trans. Geosci. Remote Sens. 2022, 60, 165–177. [Google Scholar] [CrossRef]
- Guo, D.; Shi, W.; Zhang, H.; Hao, M. Temporal and spatial variation analysis of the area of Siling Co lake in Tibet based on ESTARFM (1976–2014). J. Geo-Inf. Sci. 2016, 18, 833–846. [Google Scholar]
- Liu, H.; Gong, P. 21st century daily seamless data cube reconstruction and seasonal to annual land cover and land use dynamics mapping-iMap(China)1.0. J. Remote Sens. 2021, 25, 126–147. [Google Scholar] [CrossRef]
- Wang, J.; Bretz, M.; Dewan, M.A.A.; Delavar, M.A. Machine learning in modelling land-use and land cover-change (LULCC): Current status, challenges and prospects. Sci. Total Environ. 2022, 822, 153559. [Google Scholar] [CrossRef]
- Da Silva, G.M.; Arai, E.; Hoffmann, T.B.; Duarte, V.; Martini, P.R.; Dutra, A.C.; Mataveli, G.; Cassol, H.L.G.; Shimabukuro, Y.E. Land Use and Land Cover Classification in Sao Paulo, Brazil, Using Landsat-8 Oli Images and Derived Spectral Indices. In Proceedings of the IEEE International Geoscience and Remote Sensing Symposium (IGARSS), Pasadena, CA, USA, 16–21 July 2023; pp. 2961–2964. [Google Scholar]
- Dastour, H.; Hassan, Q.K. A Comparison of Deep Transfer Learning Methods for Land Use and Land Cover Classification. Sustainability 2023, 15, 7854. [Google Scholar] [CrossRef]
- Xi, X.Y.; Liu, Z.M.; Sun, L.; Xie, S.; Wang, Z.H. High-Confidence Sample Generation Technology and Application for Global Land-Cover Classification. IEEE J. Sel. Top. Appl. Earth Obs. Remote Sens. 2023, 16, 3248–3263. [Google Scholar] [CrossRef]
- Peng, J.; Sun, W.; Wei, T.; Fan, W. A modified correlation alignment algorithm for the domain adaptation of GF-5 hyperspectral image. J. Remote Sens. 2020, 24, 417–426. [Google Scholar] [CrossRef]
- Sun, W.; Zhang, D.; Yang, G.; Li, W. Band selection for hyperspectral imagery based on weighted probabilistic archetypal analysis. J. Remote Sens. 2018, 22, 110–118. [Google Scholar] [CrossRef]
- Zhou, D.; Zhang, L.; Hao, L.; Sun, G.; Xiao, J.; Li, X. Large discrepancies among remote sensing indices for characterizing vegetation growth dynamics in Nepal. Agric. For. Meteorol. 2023, 339, 109546. [Google Scholar] [CrossRef]
- Belay, H.; Melesse, A.M.; Tegegne, G. Scenario-Based Land Use and Land Cover Change Detection and Prediction Using the Cellular Automata-Markov Model in the Gumara Watershed, Upper Blue Nile Basin, Ethiopia. Land 2024, 13, 396. [Google Scholar] [CrossRef]
- Ghorbanian, A.; Kakooei, M.; Amani, M.; Mahdavi, S.; Mohammadzadeh, A.; Hasanlou, M. Improved land cover map of Iran using Sentinel imagery within Google Earth Engine and a novel automatic workflow for land cover classification using migrated training samples. ISPRS J. Photogramm. Remote Sens. 2020, 167, 276–288. [Google Scholar] [CrossRef]
- Rodrigues, S.W.P.; Souza-Filho, P.W.M. Use of Multi-Sensor Data to Identify and Map Tropical Coastal Wetlands in the Amazon of Northern Brazil. Wetlands 2011, 31, 11–23. [Google Scholar] [CrossRef]
- Akar, ö.; Güngö, o. Classification of multi-spectral images using Random Forest algorithm. J. Geod. Geoinf. 2012, 1, 105–112. [Google Scholar] [CrossRef]
- Ji, Y.W.; Zhang, L.; Gu, X.C.; Zhang, L. Study on the Spatial and Temporal Evolution of Regional Green Space Morphology Outside Built-Up Areas based on the Google Earth Engine and Biophysical Component Modeling. Land 2023, 12, 2184. [Google Scholar] [CrossRef]
- Ning, X.; Chang, W.; Wang, H.; Zhang, H.; Zhu, Q. Extraction of marsh wetland in Heilongjiang Basin based on GEE and multi-source remote sensing data. J. Remote Sens. 2022, 26, 386–396. [Google Scholar] [CrossRef]
- Shen, W.; Zhang, J.; Wang, K.; Zhang, Z. Identifying the spatio-temporal dynamics of regional ecological risk based on Google Earth Engine: A case study from Loess Plateau, China. Sci. Total Environ. 2023, 873, 162346. [Google Scholar] [CrossRef]
- Yin, Z.; Li, J.; Liu, Y.; Xie, Y.; Zhang, F.; Wang, S.; Sun, X.; Zhang, B. Water clarity changes in Lake Taihu over 36 years based on Landsat TM and OLI observations. Int. J. Appl. Earth Obs. Geoinf. 2021, 102, 10457. [Google Scholar] [CrossRef]
- Sivrikaya, F.; Gunlu, A.; Kucuk, O.; Urker, O. Forest fire risk mapping with Landsat 8 OLI images: Evaluation of the potential use of vegetation indices. Ecol. Inform. 2024, 79, 102461. [Google Scholar] [CrossRef]
- Nguyen, L.H.; Joshi, D.R.; Clay, D.E.; Henebry, G.M. Characterizing land cover/land use from multiple years of Landsat and MODIS time series: A novel approach using land surface phenology modeling and random forest classifier. Remote Sens. Environ. 2020, 238, 111017. [Google Scholar] [CrossRef]
- Roman, M.O.; Justice, C.; Paynter, I.; Boucher, P.B.; Devadiga, S.; Endsley, A.; Erb, A.; Friedl, M.; Gao, H.; Giglio, L.; et al. Continuity between NASA MODIS Collection 6.1 and VIIRS Collection 2 land products. Remote Sens. Environ. 2024, 302, 113963. [Google Scholar] [CrossRef]
- Gurugnanam, S.S.C.B. Spatiotemporal detection of land use/land cover changes and land surface temperature using Landsat and MODIS data across the coastal Kanyakumari district, India. Geod. Geodyn. 2023, 14, 172–181. [Google Scholar]
- Li, J.; Zhang, B.; Huang, X. A hierarchical category structure based convolutional recurrent neural network (HCS-ConvRNN) for Land-Cover classification using dense MODIS Time-Series data. Int. J. Appl. Earth Obs. Geoinf. 2022, 108, 102744. [Google Scholar] [CrossRef]
- Mateo-Garcia, G.; Gomez-Chova, L.; Amoros-Lopez, J.; Munoz-Mari, J.; Camps-Valls, G. Multitemporal Cloud Masking in the Google Earth Engine. Remote Sens. 2018, 10, 1079. [Google Scholar] [CrossRef]
- Wang, C.; Jia, M.; Chen, N.; Wang, W. Long-Term Surface Water Dynamics Analysis Based on Landsat Imagery and the Google Earth Engine Platform: A Case Study in the Middle Yangtze River Basin. Remote Sens. 2018, 10, 1635. [Google Scholar] [CrossRef]
- Zurqani, H.A.; Post, C.J.; Mikhailova, E.A.; Schlautman, M.A.; Sharp, J.L. Geospatial analysis of land use change in the Savannah River Basin using Google Earth Engine. Int. J. Appl. Earth Obs. Geoinf. 2018, 69, 175–185. [Google Scholar] [CrossRef]
- Breiman, L. Random forests. Mach. Learn. 2001, 45, 5–32. [Google Scholar] [CrossRef]
- Chen, C.; Fu, J.; Sui, X.; Lu, X.; Tan, A. Construction and application of knowledge decision tree after a disaster for water body information extraction from remote sensing images. J. Remote Sens. 2018, 22, 792–801. [Google Scholar] [CrossRef]
- Sun, W.; Yang, G.; Chen, C.; Chang, M.; Huang, K.; Meng, X.; Liu, L. Development status and literature analysis of China’s earth observation remote sensing satellites. J. Remote Sens. 2020, 24, 479–510. [Google Scholar] [CrossRef]

















| Data Set | Satellite | Sensor | Resolution | Year | Selected Bands |
|---|---|---|---|---|---|
| LANDSAT/LT05/C01/T1_SR | Landsat 5 | TM | 30 m | 2005, 2010 | Blue, green, red, NIR, SWIR1, SWIR2 |
| LANDSAT/LE07/C01/T1_SR | Landsat 7 | ETM+ | 30 m | 2000 | Blue, green, red, NIR, SWIR1, SWIR2 |
| LANDSAT/LC08/C01/T1_SR | Landsat 8 | OLI | 30 m | 2015, 2020, 2023 | Blue, green, red, NIR, SWIR1, SWIR2 |
| Landsat 5 (TM) | Landsat7 (ETM) | Landsat 8 (OLI) | MOD09A1 | ||||
|---|---|---|---|---|---|---|---|
| Band Name | Bandwidth/μm | Band Name | Bandwidth/μm | Band Name | Bandwidth/μm | Band Name | Bandwidth/μm |
| SR_B1 (blue) | 0.45–0.52 | SR_B1 (blue) | 0.45–0.52 | B2 (blue) | 0.452–0.512 | sur_refl_b03 | 0.459–0.479 |
| SR_B2 (green) | 0.52–0.60 | SR_B2 (green) | 0.52–0.60 | B3 (green) | 0.533–0.590 | sur_refl_b04 | 0.545–0.565 |
| SR_B3 (red) | 0.63–0.69 | SR_B3 (red) | 0.63–0.69 | B4 (red) | 0.636–0.673 | sur_refl_b01 | 0.620–0.670 |
| SR_B4 (nir) | 0.77–0.90 | SR_B4 (nir) | 0.77–0.90 | B5 (nir) | 0.851–0.879 | sur_refl_b02 | 0.841–0.876 |
| SR_B5 (SWIR1) | 1.55–1.75 | SR_B5 (SWIR1) | 1.55–1.75 | B6 (SWIR1) | 1.566–1.651 | sur_refl_b06 | 1.628–1.652 |
| SR_B7 (SWIR2) | 2.08–2.35 | SR_B7 (SWIR2) | 2.08–2.35 | B7 (SWIR2) | 2.107–2.294 | sur_refl_b07 | 2.105–2.155 |
| Category | Definition | Features of Remote Sensing Images (Standard False Color Composition) |
|---|---|---|
| Cultivated land | Farmland that can be cultivated normally in normal years | ![]() |
| Grassland | Land dominated by herbaceous vegetation | ![]() |
| Forest | Trees, shrubs, and other woodlands | ![]() |
| Water | Natural land waters, land for water conservancy facilities and aquaculture ponds | ![]() |
| Building | Urban and rural residential areas and industrial and mining transportation land | ![]() |
| Unused land | The surface is soil or rock, the land is largely unvegetated | ![]() |
| Category | Real Image (True Color Composition) | Fusion Image (True Color Composition) |
|---|---|---|
| Cultivated land | ![]() | ![]() |
| Grassland | ![]() | ![]() |
| Forest | ![]() | ![]() |
| Water | ![]() | ![]() |
| Building | ![]() | ![]() |
| Unused land | ![]() | ![]() |
| Before Fusion Remote Sensing Index | After Fusion Remote Sensing Index | |||||||||||||
| 1 | 2 | 3 | 4 | 5 | 6 | 1 | 2 | 3 | 4 | 5 | 6 | |||
| 1 | 17 | 0 | 0 | 0 | 1 | 0 | 1 | 20 | 2 | 0 | 0 | 0 | 0 | |
| 2 | 4 | 10 | 0 | 0 | 0 | 0 | 2 | 2 | 13 | 0 | 0 | 0 | 0 | |
| 3 | 0 | 1 | 22 | 0 | 1 | 0 | 3 | 0 | 0 | 19 | 0 | 0 | 0 | |
| 4 | 0 | 0 | 0 | 14 | 0 | 0 | 4 | 0 | 0 | 0 | 20 | 0 | 0 | |
| 5 | 0 | 0 | 2 | 0 | 17 | 2 | 5 | 0 | 1 | 1 | 0 | 17 | 1 | |
| 6 | 0 | 0 | 0 | 0 | 0 | 17 | 6 | 0 | 0 | 0 | 0 | 0 | 20 | |
| Overall Accuracy = 89.81% | Overall Accuracy = 93.97% | |||||||||||||
| Kappa = 0.8767 | Kappa = 0.9274 | |||||||||||||
| Year | 2000 | 2005 | 2010 | 2015 | 2020 | 2023 | Mean |
|---|---|---|---|---|---|---|---|
| Overall accuracy/% | 93.09 | 94.55 | 92.96 | 96.48 | 97.24 | 96.31 | 95.11 |
| Kappa | 0.9148 | 0.9323 | 0.9134 | 0.9563 | 0.9658 | 0.9537 | 0.9394 |
| Year | Index | Cultivated Land | Grassland | Forest | Water | Building | Unused Land |
|---|---|---|---|---|---|---|---|
| 2000 | Area (km2) | 80,538.54 | 17,443.88 | 76,389.85 | 2718.03 | 4718 | 5591.7 |
| 2005 | 91,559.24 | 4176.38 | 77,037.34 | 3009.07 | 6947.44 | 4670.53 | |
| 2010 | 78,762.75 | 16,415.19 | 78,576.78 | 2526.83 | 8811.64 | 2306.81 | |
| 2015 | 72,362.71 | 22,538.86 | 76,247.99 | 3346.58 | 9253.92 | 3649.94 | |
| 2020 | 67,083.93 | 22,832.24 | 80,925.95 | 3410.7 | 10,841.82 | 2305.34 | |
| 2023 | 71,951.81 | 11,773.05 | 82,513.3 | 4158.24 | 13,442.27 | 3561.3 | |
| 2000–2005 | Area change /km2 | 11,020.7 | −13,267.5 | 647.49 | 291.04 | 2229.45 | −921.17 |
| 2005–2010 | −12,796.5 | 12,238.8 | 1539.45 | −482.23 | 1864.19 | −2363.73 | |
| 2010–2015 | −6400.04 | 6123.67 | −2328.79 | 819.74 | 442.29 | 1343.13 | |
| 2015–2020 | −5278.78 | 293.38 | 4677.95 | 64.13 | 1587.9 | −1344.6 | |
| 2020–2023 | 4867.89 | −11,059.2 | 1587.36 | 747.54 | 2600.45 | 1255.97 | |
| 2000–2005 | Rate of area change/% | 13.68 | −76.06 | 0.85 | 10.71 | 47.25 | −16.47 |
| 2005–2010 | −13.98 | 293.05 | 2 | −16.03 | 26.83 | −50.61 | |
| 2010–2015 | −8.13 | 37.30 | −2.96 | 32.44 | 5.02 | 58.22 | |
| 2015–2020 | −7.29 | 1.30 | 6.14 | 1.92 | 17.16 | −36.84 | |
| 2020–2023 | 7.26 | −48.44 | 1.96 | 21.92 | 23.99 | 54.48 |
| Type of transfer-out | Type of transfer-in | |||||||||||||
| Land transfer matrix (2000–2005) | Land transfer matrix (2005–2010) | |||||||||||||
| Cultivated | Grassland | Forest | Water | Building | Unused | Cultivated | Grassland | Forest | Water | Building | Unused | |||
| Cultivated | 68,926.42 | 3260.86 | 4182.32 | 310.6 | 2624.38 | 395.86 | 68,244.91 | 13,182.89 | 5392.66 | 88.72 | 3725.98 | 92.32 | ||
| Grassland | 13,368.64 | 654.9 | 2553.62 | 128.25 | 665.89 | 33.66 | 3445.67 | 468.72 | 117.58 | 5.34 | 64.67 | 1.33 | ||
| Forest | 5582.88 | 113.83 | 71,152.05 | 72.69 | 523.05 | 69.79 | 3026.1 | 2555.99 | 72,257.95 | 100.93 | 201.58 | 3.78 | ||
| Water | 236.08 | 9.21 | 179.73 | 2043.33 | 143.44 | 67.28 | 259.6 | 12.48 | 97.12 | 2207.91 | 291.96 | 95.57 | ||
| Building | 1512.71 | 39.03 | 76.44 | 310.81 | 2193.76 | 513.48 | 2721.17 | 177.56 | 583.96 | 102.91 | 3152.45 | 155.21 | ||
| Unused | 1102.4 | 25.22 | 1.99 | 97.82 | 742.42 | 3485.16 | 1061.3 | 18.12 | 130.23 | 22.76 | 1373.27 | 1959.3 | ||
| Land transfer matrix (2010–2015) | Land transfer matrix (2015–2020) | |||||||||||||
| Cultivated | 57,420.24 | 10,969.68 | 4057.02 | 535.46 | 4573.56 | 1202.78 | 53,214.63 | 12,413.53 | 1877.7 | 147.49 | 3715.31 | 236.69 | ||
| Grassland | 7826.63 | 5076.89 | 3241.43 | 43.51 | 211.54 | 15.75 | 6828.34 | 8478.7 | 6022.84 | 67.24 | 1110.28 | 6.81 | ||
| Forest | 2753.04 | 5665.19 | 69,850.89 | 190.83 | 104.77 | 14.79 | 1359.45 | 1596.81 | 74,129.29 | 19.28 | 205.76 | 0.92 | ||
| Water | 81.22 | 53.95 | 40.83 | 2152.89 | 112.55 | 87.12 | 284.7 | 40.19 | 47.46 | 2792.33 | 125.8 | 12.18 | ||
| Building | 3365.56 | 741.96 | 120.92 | 317.86 | 3438.63 | 824.99 | 3439.04 | 268.88 | 19.94 | 213.38 | 4589.41 | 569.17 | ||
| Unused | 158.65 | 6.54 | 0.43 | 62.1 | 658.77 | 1421.02 | 1041.09 | 14.14 | 2.69 | 120.96 | 961.57 | 1426 | ||
| Land transfer matrix (2020–2023) | Land transfer matrix (2000–2023) | |||||||||||||
| Cultivated | 48,756.27 | 5294.46 | 4465.19 | 608.86 | 6015.31 | 1027.17 | 54,730.78 | 7682.48 | 8374.11 | 857.29 | 7244.52 | 811.25 | ||
| Grassland | 14,038 | 4180.71 | 2902.48 | 71.8 | 1597.71 | 21.55 | 9942.33 | 1979.99 | 3261.63 | 359.51 | 1788.16 | 73.33 | ||
| Forest | 5050.48 | 1161.81 | 75,706.55 | 18.62 | 158.86 | 3.6 | 4265.32 | 1190.8 | 71,663.49 | 76.78 | 303.06 | 14.86 | ||
| Water | 22.76 | 75.56 | 78.87 | 2892.59 | 114.3 | 176.59 | 143.65 | 104.74 | 95.3 | 2021.27 | 141.08 | 173.01 | ||
| Building | 3160.69 | 953.43 | 435 | 415.28 | 4730.36 | 1013.37 | 1004.21 | 447.4 | 173.7 | 495.34 | 2021.19 | 504.4 | ||
| Unused | 250.91 | 22.95 | 4 | 80.31 | 657.77 | 1235.84 | 1194.46 | 283.16 | 24.72 | 275.88 | 1775.43 | 1901.37 | ||
| Cultivated | Grassland | Forest | Water | Building | Unused | |
|---|---|---|---|---|---|---|
| 2000–2005 | 2.74% | −15.21% | 0.17% | 2.14% | 9.45% | −3.29% |
| 2005–2010 | −2.80% | 58.61% | 0.40% | −3.21% | 5.37% | −10.12% |
| 2010–2015 | −1.63% | 7.46% | −0.59% | 6.49% | 1.00% | 11.64% |
| 2015–2020 | −1.46% | 0.26% | 1.23% | 0.38% | 3.43% | −7.37% |
| 2020–2023 | 2.42% | −16.15% | 0.65% | 7.31% | 8.00% | 18.16% |
| 2000–2023 | −0.46% | −1.41% | 0.35% | 2.30% | 8.04% | −1.58% |
| 2000–2005 | 2005–2010 | 2010–2015 | 2015–2020 | 2020–2023 | 2000–2023 | |
|---|---|---|---|---|---|---|
| Integration of dynamic attitudes | 1.51% | 1.67% | 0.93% | 0.71% | 1.97% | 0.38% |
Disclaimer/Publisher’s Note: The statements, opinions and data contained in all publications are solely those of the individual author(s) and contributor(s) and not of MDPI and/or the editor(s). MDPI and/or the editor(s) disclaim responsibility for any injury to people or property resulting from any ideas, methods, instructions or products referred to in the content. |
© 2024 by the authors. Licensee MDPI, Basel, Switzerland. This article is an open access article distributed under the terms and conditions of the Creative Commons Attribution (CC BY) license (https://creativecommons.org/licenses/by/4.0/).
Share and Cite
Liu, Z.; Han, Y.; Zhu, R.; Qu, C.; Zhang, P.; Xu, Y.; Zhang, J.; Zhuang, L.; Wang, F.; Huang, F. Spatio-Temporal Land-Use/Cover Change Dynamics Using Spatiotemporal Data Fusion Model and Google Earth Engine in Jilin Province, China. Land 2024, 13, 924. https://doi.org/10.3390/land13070924
Liu Z, Han Y, Zhu R, Qu C, Zhang P, Xu Y, Zhang J, Zhuang L, Wang F, Huang F. Spatio-Temporal Land-Use/Cover Change Dynamics Using Spatiotemporal Data Fusion Model and Google Earth Engine in Jilin Province, China. Land. 2024; 13(7):924. https://doi.org/10.3390/land13070924
Chicago/Turabian StyleLiu, Zhuxin, Yang Han, Ruifei Zhu, Chunmei Qu, Peng Zhang, Yaping Xu, Jiani Zhang, Lijuan Zhuang, Feiyu Wang, and Fang Huang. 2024. "Spatio-Temporal Land-Use/Cover Change Dynamics Using Spatiotemporal Data Fusion Model and Google Earth Engine in Jilin Province, China" Land 13, no. 7: 924. https://doi.org/10.3390/land13070924
APA StyleLiu, Z., Han, Y., Zhu, R., Qu, C., Zhang, P., Xu, Y., Zhang, J., Zhuang, L., Wang, F., & Huang, F. (2024). Spatio-Temporal Land-Use/Cover Change Dynamics Using Spatiotemporal Data Fusion Model and Google Earth Engine in Jilin Province, China. Land, 13(7), 924. https://doi.org/10.3390/land13070924



















