Routes of Soil Uses and Conversions with the Main Crops in Brazilian Cerrado: A Scenario from 2000 to 2020
Abstract
1. Introduction
2. Materials and Methods
2.1. Study Area and Their Characteristics
2.2. Cerrado Deforestation
2.3. Agriculture Characterization
2.4. Calculus and Data Analyses
3. Results
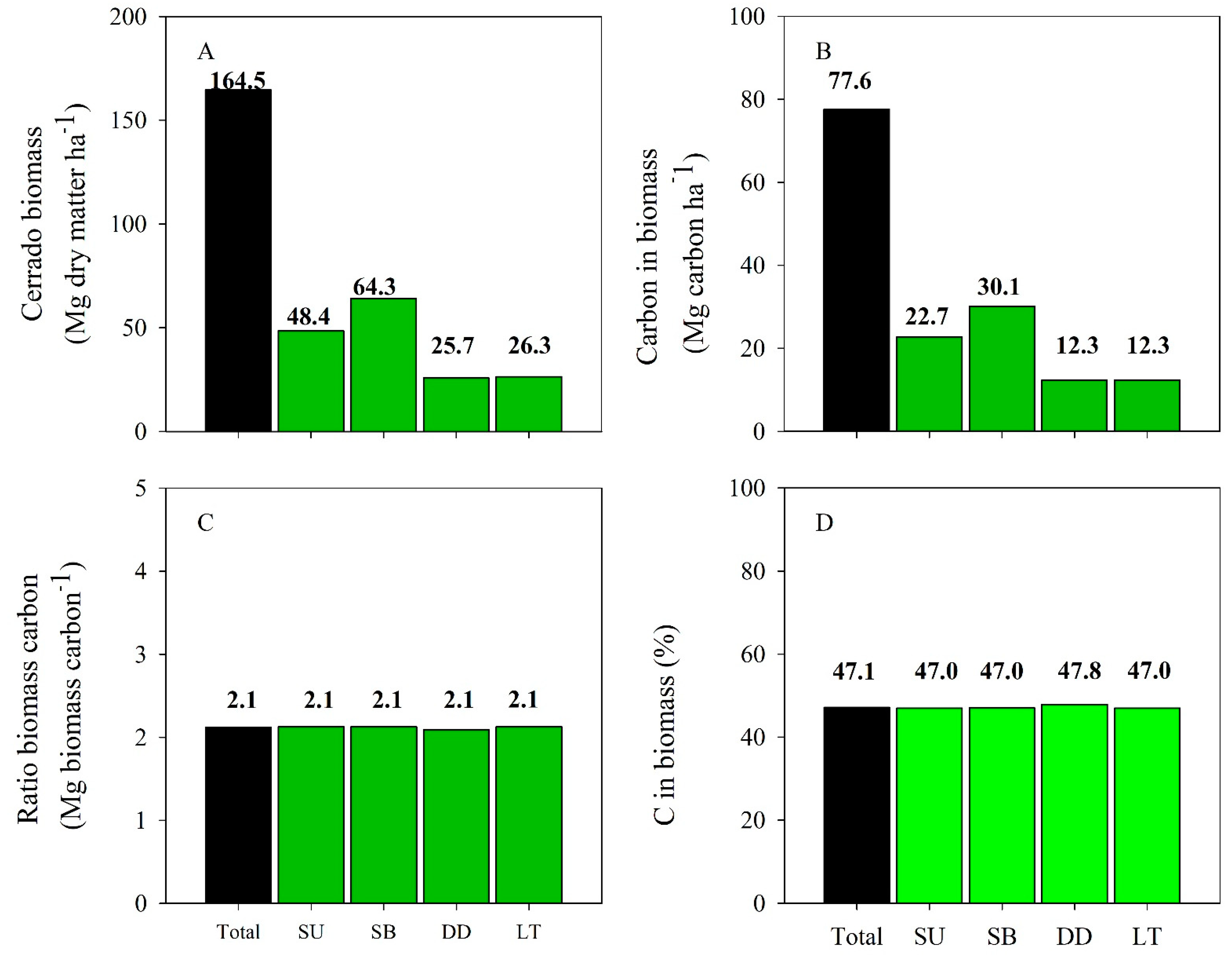
3.1. Cerrado Vegetation
3.2. Agriculture Characterization
3.3. Pasture Characterization
3.4. Routes of Soil-Uses
4. Discussion
5. Conclusions
Supplementary Materials
Author Contributions
Funding
Institutional Review Board Statement
Informed Consent Statement
Data Availability Statement
Conflicts of Interest
References
- Cutter, S.L.; Renwick, W.H. Exploitation Conservation Preservation: A Geographic Perspective on Natural Resource Use, 4th ed.; John Wiley & Sons Inc.: New York City, NY, USA, 2003. [Google Scholar]
- Achard, F.; Beuchle, R.; Mayaux, P.; Stibig, H.J.; Bodart, C.; Brink, A.; Carboni, S.; Desclée, B.; Donnay, F.; Eva, H.D.; et al. Determination of tropical deforestation rates and related carbon losses from 1990 to 2010. Glob. Chang. Biol. 2014, 20, 2540–2554. [Google Scholar] [CrossRef] [PubMed]
- Achard, F.; Eva, H.D.; Stibig, H.J.; Mayaux, P.; Gallego, J.; Richards, T.; Malingreau, J.P. Determination of deforestation rates of the world’s humid tropical forests. Science 2002, 297, 999–1002. [Google Scholar] [CrossRef] [PubMed]
- Meyfroidt, P.; Lambin, E.F. Global Forest Transition: Prospects for an End to Deforestation. Annu. Rev. Environ. Resour. 2011, 36, 343–371. [Google Scholar] [CrossRef]
- Oliveira, E. Desmatamentos na Amazônia e Cerrado atingem área equivalente a 11 cidades de São Paulo de agosto de 2018 a julho de 2019. Natureza, 7 January 2020; p. G1. [Google Scholar]
- Costa, W.; Fonseca, E.; Körting, T. Classifying grasslands and cultivated pastures in the brazilian cerrado using support vector machines, multilayer perceptrons and autoencoders. In Lecture Notes in Computer Science (Including Subseries Lecture Notes in Artificial Intelligence and Lecture Notes in Bioinformatics); Springer Verlag: Berlin/Heidelberg, Germany, 2015; Volume 9166, pp. 187–198. [Google Scholar]
- MMA. Mapeamento do Uso e Cobertura do Cerrado: Projeto Terra Class Cerrado; MMA: Brasilia, DF, Brazil, 2013. [Google Scholar]
- Arantes, A.E.; Ferreira, L.G.; Coe, M.T. The seasonal carbon and water balances of the Cerrado environment of Brazil: Past, present, and future influences of land cover and land use. ISPRS J. Photogramm. Remote Sens. 2016, 117, 66–78. [Google Scholar] [CrossRef]
- Menini Matosak, B.; Vargas Maretto, R.; Sehn Körting, T.; Adami, M.; Matosak, B.M.; Maretto, R.V.; Körting, T.S.; Adami, M.; Fonseca, G.L.M. Mapping Deforested Areas in the Cerrado Biome through Recurrent Neural Networks. In Proceedings of the IEEE International Geoscience and Remote Sensing Symposium, Waikoloa, HI, USA, 26 September–2 October 2020. [Google Scholar]
- Benito, N.P.; Brossard, M.; Pasini, A.; Guimarães, M.D.F.; Bobillier, B. Transformations of soil macroinvertebrate populations after native vegetation conversion to pasture cultivation (Brazilian Cerrado). Eur. J. Soil Biol. 2004, 40, 147–154. [Google Scholar] [CrossRef]
- Woodwell, G.M.; Hobbie, J.E.; Houghton, R.A.; Melillo, J.M.; Moore, B.; Peterson, B.J.; Shaver, G.R. Global deforestation: Contribution to atmospheric carbon dioxide. Science 1983, 222, 1081–1086. [Google Scholar] [CrossRef] [PubMed]
- Ferraz-Almeida, R.; Spokas, K.A.; De Oliveira, R.C. Columns and Detectors Recommended in Gas Chromatography to Measure Greenhouse Emission and O2 Uptake in Soil: A Review. Commun. Soil Sci. Plant Anal. 2020, 51, 582–594. [Google Scholar] [CrossRef]
- Von Arnold, K.; Nilsson, M.; Hånell, B.; Weslien, P.; Klemedtsson, L. Fluxes of CO2, CH4 and N2O from drained organic soils in deciduous forests. Soil Biol. Biochem. 2005, 37, 1059–1071. [Google Scholar] [CrossRef]
- MMA. PPCerrado—Plano de Ação Para Prevenção e Controle do Desmatamento e das Queimadas no Cerrado: 2a Fase (2014–2015); MMA: Brasília, DF, Brazil, 2014. [Google Scholar]
- UN. Our Growing Population. Available online: https://www.un.org/en/sections/issues-depth/population/ (accessed on 30 December 2020).
- Fróna, D.; Szenderák, J.; Harangi-Rákos, M. The Challenge of Feeding the World. Sustainability 2019, 11, 5816. [Google Scholar] [CrossRef]
- CONAB. Conab—Boletim da Safra de Grãos, 8º Levantamento—Safra 2019/20. Available online: https://www.conab.gov.br/info-agro/safras/graos/boletim-da-safra-de-graos (accessed on 24 June 2020).
- Lopes, S.A.; Daher, E. Savanas: Desafios e Estratégias para o Equilíbrio Entre Sociedade, Agronegócio e Recursos Naturais. In Agronegócio e Recursos Naturais no Cerrado: Desafios para uma Coexistência Harmônica; Faleiro, G.F., Farias Neto, A.L.F., Eds.; Embrapa Cerrados: Planaltina, Brazil, 2008; p. 1198. ISBN 978-85-7075-039-6. [Google Scholar]
- Dias, L.C.P.; Pimenta, F.M.; Santos, A.B.; Costa, M.H.; Ladle, R.J. Patterns of land use, extensification, and intensification of Brazilian agriculture. Glob. Chang. Biol. 2016, 22, 2887–2903. [Google Scholar] [CrossRef]
- Spera, S.A.; Galford, G.L.; Coe, M.T.; Macedo, M.N.; Mustard, J.F. Land-use change affects water recycling in Brazil’s last agricultural frontier. Glob. Chang. Biol. 2016, 22, 3405–3413. [Google Scholar] [CrossRef] [PubMed]
- MMA. The Submission of the E. Brazil’s Forest Reference Emission Level for Reducing Emissions from Deforestation in the Cerrado Biome for Results-Based Payments for REDD+ under the United Nations Framework Convention on Climate Change for the Acronym in Portuguese; MMA: Brasilia, DF, Brazil, 2017. [Google Scholar]
- INPE. PRODES. Available online: http://terrabrasilis.dpi.inpe.br/app/map/deforestation (accessed on 20 December 2020).
- Parente, L.; Nogueira, S.; Baumann, L.; Almeida, C.; Maurano, L.; Affonso, A.G.; Ferreira, L. Quality assessment of the PRODES Cerrado deforestation data. Remote Sens. Appl. Soc. Environ. 2021, 21, 100444. [Google Scholar] [CrossRef]
- IBGE. Levantamento Sistemático da Produção Agrícola Estatística da Produção Agrícola. Available online: https://biblioteca.ibge.gov.br/visualizacao/periodicos/2415/epag_2019_dez.pdf (accessed on 11 December 2020).
- CONAB. Conab—National Supply Company. Available online: https://www.conab.gov.br/ (accessed on 2 June 2020).
- IBGE. Censo Agropecuário 2017. Rio Janeiro; 2017. Available online: https://censos.ibge.gov.br/agro/2017/templates/censo_agro/resultadosagro/index.html (accessed on 10 December 2020).
- Eiten, G. The cerrado vegetation of Brazil. Bot. Rev. 1972, 38, 201–341. [Google Scholar] [CrossRef]
- Roquette, J.G. Distribution of biomass in cerrado and its importance for carbon storage. Cienc. Florest. 2018, 28, 1350–1363. [Google Scholar] [CrossRef]
- Teixeira, A.W.; Isabel, D.d.S.Q.; Risely, F.A.; Fernanda, P.M.; Joseph, E.R.M.; Elias, N.B. Hydro-physical properties and organic carbon of a yellow oxysol under different uses. Afr. J. Agric. Res. 2016, 11, 2547–2554. [Google Scholar] [CrossRef]
- Martins, F.P.; Almeida, R.F.; Mikhael, J.E.R.; Queiroz, I.D.d.S.; Teixeira, W.G.; Borges, E.N. Correlação do COT e porosidade em Latossolo com diferentes usos e manejos na região de Uberaba. Rev. Agrogeoambiental 2014, 7, 81–90. [Google Scholar] [CrossRef][Green Version]
- Cunha, G.d.M.; Gama-Rodrigues, A.C.; Gama-Rodrigues, E.F.; Velloso, A.C.X. Biomass, carbon and nutrient pools in montane atlantic forests in the north of Rio de Janeiro state, Brazil. Rev. Bras. Cienc. do Solo 2009, 33, 1175–1185. [Google Scholar] [CrossRef]
- Almeida, R.F.; Sanches, B.C. Disponibilidade de carbono orgânico nos solos do cerrado brasileiro. Sci. Agrar. Paranaensis 2014, 13, 259–264. [Google Scholar] [CrossRef]
- Espírito-Santo, F.D.B.; Gloor, M.; Keller, M.; Malhi, Y.; Saatchi, S.; Nelson, B.; Junior, R.C.O.; Pereira, C.; Lloyd, J.; Frolking, S.; et al. Size and frequency of natural forest disturbances and the Amazon forest carbon balance. Nat. Commun. 2014, 5, 1–6. [Google Scholar] [CrossRef]
- Kauppi, P.E.; Mielikäinen, K.; Kuusela, K. Biomass and carbon budget of european forests, 1971 to 1990. Science 1992, 256, 70–74. [Google Scholar] [CrossRef] [PubMed]
- Amado, T.J.C.; Bayer, C.; Conceição, P.C.; Spagnollo, E.; de Campos, B.-H.C.; da Veiga, M. Potential of Carbon Accumulation in No-Till Soils with Intensive Use and Cover Crops in Southern Brazil. J. Environ. Qual. 2006, 35, 1599–1607. [Google Scholar] [CrossRef] [PubMed]
- Bayer, C.; Martin-Neto, L.; Mielniczuk, J.; Pavinato, A.; Dieckow, J. Carbon sequestration in two Brazilian Cerrado soils under no-till. Soil Tillage Res. 2006, 86, 237–245. [Google Scholar] [CrossRef]
- De-Almeida, R.F.; Silveira, C.H.; Mota, R.P.; Arruda, E.M.; Nave, E.R.; Souza, L.C.; Mendonca, E.S.; Wendling, B. Sugarcane residue incubated in soil at different temperatures and nitrogen fertilization. Aust. J. Crop Sci. 2015, 9, 781–789. [Google Scholar]
- Mikhael, J.E.R.; Almeida, R.F.; Franco, F.d.O.; Camargo, R.O.; Wendling, B. Recalcitrant carbon and nitrogen in agriculture soils with residue accumulation and fertilization under tropical conditions. Biosci. J. 2019, 35, 732–740. [Google Scholar] [CrossRef]
- Wendling, B.; Jucksch, I.; De Sá Mendonça, E.; De Almeida, R.F.; Alvarenga, R.C. Simulação dos estoques de Carbono e Nitrogênio pelo Modelo Century em Latossolos, no Cerrado Brasileiro. Rev. Cienc. Agron. 2014, 45, 238–248. [Google Scholar] [CrossRef]
- Ferraz-Almeida, R.; Silveira, C.H.; Mota, R.P.; Moitinho, M.; Arruda, E.M.; Mendonça, E.D.S.; La Scala, N.; Wendling, B. For how long does the quality and quantity of residues in the soil affect the carbon compartments and CO2-C emissions? J. Soils Sediments 2016, 16, 2354–2364. [Google Scholar] [CrossRef]
- Clemente, C.M.S.; do Espírito-Santo, M.M.; Leite, M.E. Estimates of deforestation avoided by protected areas: A case study in Brazilian tropical dry forests and Cerrado. Landsc. Res. 2020, 45, 470–483. [Google Scholar] [CrossRef]
- Defries, R.S.; Rudel, T.; Uriarte, M.; Hansen, M. Deforestation driven by urban population growth and agricultural trade in the twenty-first century. Nat. Geosci. 2010, 3, 178–181. [Google Scholar] [CrossRef]
- Trigueiro, W.R.; Nabout, J.C.; Tessarolo, G. Uncovering the spatial variability of recent deforestation drivers in the Brazilian Cerrado. J. Environ. Manag. 2020, 275, 111243. [Google Scholar] [CrossRef]
- Matricardi, E.A.T.; Aguiar, A.S.; Miguel, E.P.; Angelo, H.; Gaspar, R.D.O. Modelagem do Desmatamento na Região do Matopiba. Nativa 2018, 6, 198. [Google Scholar] [CrossRef]
- Noojipady, P.; Morton, C.D.; Macedo, N.M.; Victoria, C.D.; Huang, C.; Gibbs, K.H.; Bolfe, L.E. Forest carbon emissions from cropland expansion in the Brazilian Cerrado biome. Environ. Res. Lett. 2017, 12, 025004. [Google Scholar] [CrossRef]
- FAO. Dimensions of Need—Human Nutrition: Key to Health and Development. Available online: http://www.fao.org/3/u8480e/U8480E04.htm (accessed on 22 December 2020).
- Meade, B.; Puricelli, E.; McBride, W.D.; Valdes, C.; Hoffman, L.; Foreman, L.; Dohlman, E. Corn and Soybean Production Costs and Export Competitiveness in Argentina, Brazil, and the United States. USDA Econ. Inf. Bull. 2016, 154, 52. [Google Scholar]
- De Faria, I.K.P.; Vieira, J.L.V.; Tenelli, S.; De Almeida, R.E.M.; Campos, L.J.M.; Da Costa, R.V.; Zavaschi, E.; De Almeida, R.F.; Carneiro, L.D.M.; Otto, R. Optimal plant density and nitrogen rates for improving off-season corn yields in Brazil. Sci. Agric. 2019, 76, 344–352. [Google Scholar] [CrossRef]
- Altarugio, L.M.; Savieto, J.; Machado, B.D.A.; Migliavacca, R.A.; Almeida, R.F.; Zavaschi, E.; Carneiro, L.D.M.E.S.; Vitti, G.C.; Otto, R. Optimal Management Practices for Nitrogen Application in Corn Cultivated During Summer and Fall in the Tropics. Commun. Soil Sci. Plant Anal. 2019, 50, 662–672. [Google Scholar] [CrossRef]
- Duarte, A.P.; Kappes, C. Evolution of Maize Cultivation Systems in Brazil; IPNI: Piracicaba, Brazil, 2015. [Google Scholar]
- Ferraz-Almeida, R.; da Silva, N.L.; Wendling, B. How Does N Mineral Fertilizer Influence the Crop Residue N Credit? Nitrogen 2020, 1, 99–110. [Google Scholar] [CrossRef]
- Yang, L.; Deng, Y.; Wang, X.; Zhang, W.; Shi, X.; Chen, X.; Lakshmanan, P.; Zhang, F. Global direct nitrous oxide emissions from the bioenergy crop sugarcane (Saccharum spp. inter-specific hybrids). Sci. Total Environ. 2021, 752, 141795. [Google Scholar] [CrossRef] [PubMed]
- EPE. Plano Decenal de Expansão de Energia; 2018. Available online: https://www.epe.gov.br/pt/publicacoes-dados-abertos/publicacoes/plano-decenal-de-expansao-de-energia-pde (accessed on 15 January 2021).
- Gillson, I.; Poulton, C.; Balcombe, K.; Page, S. Understanding the Impact of Cotton Subsidies on Developing Countries; MPRA: Munich, Germany, 2004. [Google Scholar]
- Hoffmann, L.V.; Kresic, I.B.; Paz, J.G.; Bela, D.A.; Tcach, N.E.; Lamas, F.M.; Sofiatti, V. Cotton Production in Brazil and Other South American Countries. In Cotton Production; Wiley: Hoboken, NJ, USA, 2019; pp. 277–295. [Google Scholar]
- Ferraz de Almeida, R.; Rodriguez Mikhael, J.E.; Oliveira Franco, F.; Fonesca Santana, L.M.; Wendling, B. Measuring the labile and recalcitrant pools of carbon and nitrogen in forested and agricultural soils: A study under tropical conditions. Forests 2019, 10, 544. [Google Scholar] [CrossRef]
- Pereira, O.; Ferreira, L.; Pinto, F.; Baumgarten, L. Assessing Pasture Degradation in the Brazilian Cerrado Based on the Analysis of MODIS NDVI Time-Series. Remote Sens. 2018, 10, 1761. [Google Scholar] [CrossRef]
- Peron, A.J.; Evangelista, A.R. Degradação de pastagens em regiões de cerrado. Ciência e Agrotecnologia 2004, 28, 655–661. [Google Scholar] [CrossRef]
- Yong, R. The circular economy in China. J. Mater. Cycles Waste Manag. 2007, 9, 121–129. [Google Scholar] [CrossRef]








Publisher’s Note: MDPI stays neutral with regard to jurisdictional claims in published maps and institutional affiliations. |
© 2021 by the authors. Licensee MDPI, Basel, Switzerland. This article is an open access article distributed under the terms and conditions of the Creative Commons Attribution (CC BY) license (https://creativecommons.org/licenses/by/4.0/).
Share and Cite
Ferraz-Almeida, R.; da Mota, R.P. Routes of Soil Uses and Conversions with the Main Crops in Brazilian Cerrado: A Scenario from 2000 to 2020. Land 2021, 10, 1135. https://doi.org/10.3390/land10111135
Ferraz-Almeida R, da Mota RP. Routes of Soil Uses and Conversions with the Main Crops in Brazilian Cerrado: A Scenario from 2000 to 2020. Land. 2021; 10(11):1135. https://doi.org/10.3390/land10111135
Chicago/Turabian StyleFerraz-Almeida, Risely, and Raquel Pinheiro da Mota. 2021. "Routes of Soil Uses and Conversions with the Main Crops in Brazilian Cerrado: A Scenario from 2000 to 2020" Land 10, no. 11: 1135. https://doi.org/10.3390/land10111135
APA StyleFerraz-Almeida, R., & da Mota, R. P. (2021). Routes of Soil Uses and Conversions with the Main Crops in Brazilian Cerrado: A Scenario from 2000 to 2020. Land, 10(11), 1135. https://doi.org/10.3390/land10111135

