Combined Application of Desulfurization Gypsum and Biochar for Improving Saline-Alkali Soils: A Strategy to Improve Newly Reclaimed Cropland in Coastal Mudflats
Abstract
:1. Introduction
2. Materials and Methods
2.1. Overview of Study Area
2.2. Experimental Materials
2.3. Experimental Design
2.4. Indicator Testing Methods
2.5. Statistical Analysis
2.6. Comprehensive Evaluation of the Improvement Effect of Newly Reclaimed Arable Land in Coastal Mudflats
2.7. Technique of Order of Preference by Similarity to the Ideal Solution and Entropy Weight Model
- (1)
- Nondimensionalization of raw index data
- (2)
- Calculation of information entropy
- (3)
- Calculation of the entropy weight of each indicator
- (4)
- Vectors of optimal and worst values of each indicator
- (5)
- Calculation of weighted Euclidean distance
- (6)
- Calculation of the conjoint ratio Ci
3. Results
3.1. Effect of Desulfurization Gypsum and Biochar on Soil pH and SAR
3.2. Effect of Desulfurization Gypsum and Biochar on Field Water-Holding Capacity and Soil Bulk Density
3.3. Effect of Desulfurization Gypsum and Biochar on Water-Soluble Ions in the Soil
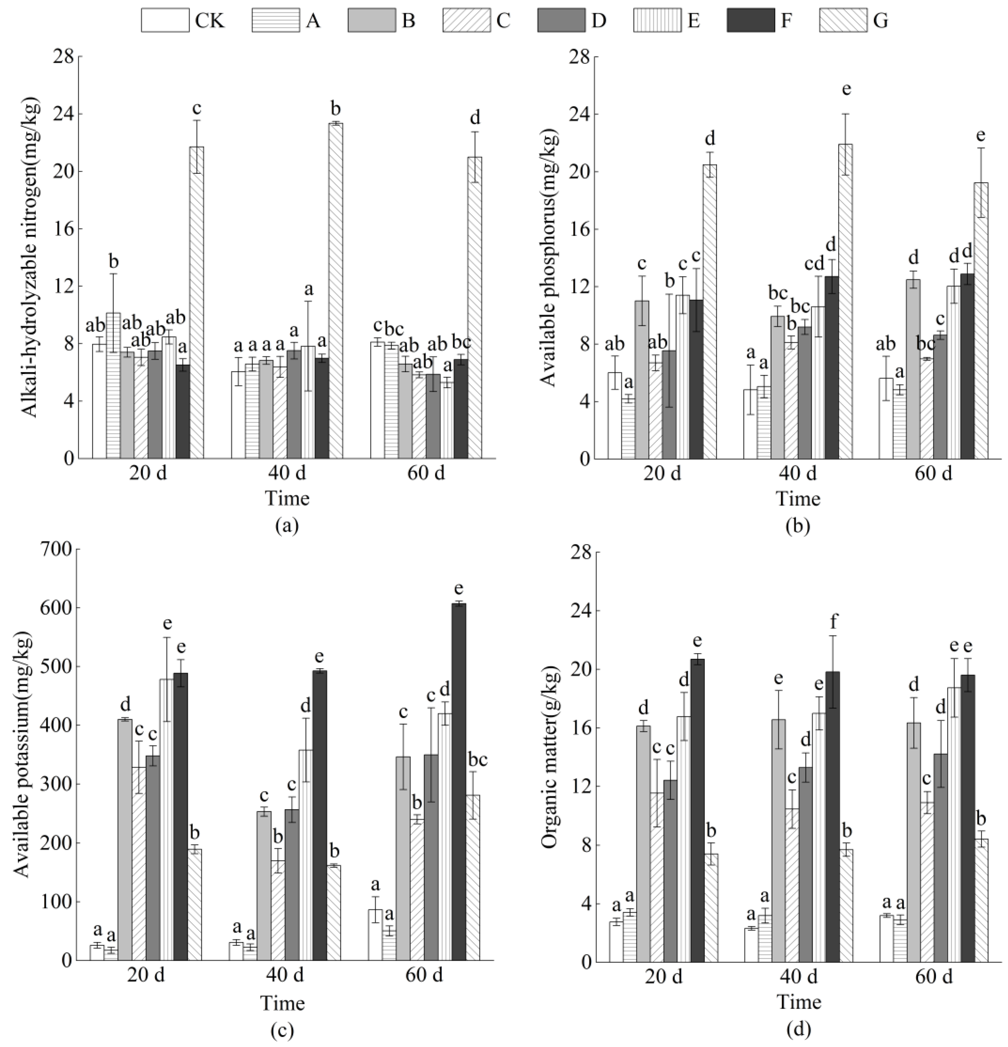
3.4. Effect of Desulfurization Gypsum and Biochar on Soil Nutrient Indicators
3.5. Effect of Desulfurization Gypsum and Biochar on Peanut Growth
3.6. Optimization of the Combined Improvement Effect of Desulfurization Gypsum and Biochar
4. Discussion
4.1. Effect of Desulfurization Gypsum and Biochar on Soil pH and SAR
4.2. Effect of Desulfurization Gypsum and Biochar on Field Water-Holding Capacity and Soil Bulk Density
4.3. Effect of Desulfurization Gypsum and Biochar on Water-Soluble Ion Content of Soil
4.4. Effect of Desulfurization Gypsum and Biochar on the Soil Nutrient Indicators
4.5. Effect of Desulfurization Gypsum and Biochar on Peanut Growth
4.6. Mechanisms of Combined Desulfurization Gypsum and Biochar for the Improvement of Newly Reclaimed Cropland
5. Conclusions
- (1)
- Both desulfurization gypsum and biochar were effective in improving newly reclaimed cropland in coastal mudflats. Both single and combined applications of desulfurization gypsum significantly increased soil Ca2+, SO42−, and Mg2+ contents and significantly reduced soil pH, SAR, and bulk density. Both single and combined biochar treatments significantly reduced the soil bulk density and significantly increased water-soluble K+; field water-holding capacity; and soil available phosphorus, available potassium, and organic matter contents.
- (2)
- The treatments with addition of desulfurization gypsum and biochar, as well as the combination of both, could effectively promote crop growth; and the fresh weight, dry weight, plant height, and leaf area of peanut in the aforementioned treatments were higher than those in treatments CK and G. Among them, treatment A (desulfurization gypsum 100 g/kg) had the most significant effect in increasing the fresh and dry weight of peanut. Treatment C (desulfurization gypsum 75 g/kg + biochar 20 g/kg) had the most significant effect in increasing the plant height and leaf area of peanut.
- (3)
- According to the results of the comprehensive evaluation of the TOPSIS-entropy weight model, after 60 days of planting, the improvement effects of each treatment were ranked C > A > E > B > D > F > G > CK. Both combined treatment with desulfurization gypsum and biochar and single treatment of desulfurization gypsum were effective, followed by the single application of biochar. Treatment C (desulfurization gypsum 75 g/kg + biochar 20 g/kg) was the optimal-proportioned scheme.
- (4)
- An evaluation index system for saline-alkali soil in coastal mudflats was established, the improvement effect of saline-alkali soil in coastal mudflats was comprehensively evaluated using the TOPSIS-entropy weight method, and the best scheme was selected according to the application amount of different ameliorants, avoiding singularity and subjectivity of evaluation. However, the improvement of newly reclaimed arable land from coastal mudflats should consider the influence of multiple factors. This study considered only the properties of soil and crop growth, excluding the influence of meteorological, topographical, and economic conditions, as well as other variables. Inevitably, a comprehensive evaluation of newly reclaimed arable land from coastal mudflats is insufficient, and in the future, more factors could be considered to evaluate the improvement effect in a more comprehensive manner.
Author Contributions
Funding
Data Availability Statement
Acknowledgments
Conflicts of Interest
References
- Andreu, V.; Gimeno-Garcia, E.; Pascual, J.A.; Vazquez-Roig, P.; Pico, Y. Presence of pharmaceuticals and heavy metals in the waters of a Mediterranean coastal wetland: Potential interactions and the influence of the environment. Sci. Total Environ. 2016, 540, 278–286. [Google Scholar] [CrossRef]
- Murray, N.J.; Phinn, S.R.; DeWitt, M.; Ferrari, R.; Johnston, R.; Lyons, M.B.; Clinton, N.; Thau, D.; Fuller, R.A. The global distribution and trajectory of tidal flats. Nature 2019, 565, 222–225. [Google Scholar] [CrossRef] [PubMed]
- Eertman, R.H.M.; Kornman, B.A.; Stikvoort, E.; Verbeek, H. Restoration of the Sieperda tidal marsh in the Scheldt estuary, the Netherlands. Restor. Ecol. 2002, 10, 438–449. [Google Scholar] [CrossRef]
- Peng, J.; Wang, Y.L. A study on shoaly land in China. Acta Sci. Nat. Univ. Pekin. 2000, 36, 832–839. [Google Scholar]
- Wang, Y. The mudflat coast of China. Can. J. Fish. Aquat. Sci. 1983, 40, 160–171. [Google Scholar] [CrossRef]
- Zhang, W.K. A study on exploitation and utilization of tideland resources in Fujian Province. Resour. Sci. 2001, 23, 29–32. [Google Scholar]
- Xu, M.G.; Lu, C.A.; Zhang, W.J.; Li, L.; Duan, Y.H. Situation of the quality of arable land in China and improvement strategy. Chin. J. Agric. Resour. Reg. Plann. 2016, 37, 8–14. [Google Scholar]
- Zuo, W.G.; Huang, G.L.; Zhu, X.W.; Chen, Y.S.; Shen, Y.L.; Tao, T.Y.; Bo, Y.C.; Shan, Y.H.; Feng, K. Motivating effect of different dairy manure addition on soil initial fertility formation and ryegrass growth in coastal mudflat soil. J. Plant Nutr. Fert. 2016, 22, 372–379. [Google Scholar]
- Zhang, M.; Gao, C.; Yin, A.J.; Bao, Z.Y.; Chen, G.G.; Liang, X.H.; Yong, T.J.; Zhu, Y.P.; Zhou, M. Variation in soil total salt and base ions content of tidal-flat reclamation with different years. Trans. Chin. Soc. Agric. Eng. 2018, 34, 118–126. [Google Scholar]
- Chen, Y.Y.; Fu, Y.X.; Zhang, Z.K.; Zhang, L.H.; Xu, H.X. Review of the Chinese patents on coastal saline-alkali soil improvement. Chin. Agric. Sci. Bull. 2014, 30, 279–285. [Google Scholar]
- Leiva, C.; Garcia Arenas, C.; Vilches, L.F.; Vale, J.; Gimenez, A.; Ballesteros, J.C.; Fernandez-Pereira, C. Use of FGD gypsum in fire resistant panels. Waste Manag. 2010, 30, 1123–1129. [Google Scholar] [CrossRef]
- Clark, R.B.; Ritchey, K.D.; Baligar, V.C. Benefits and constraints for use of FGD products on agricultural land. Fuel 2001, 80, 821–828. [Google Scholar] [CrossRef]
- Alva, A.K.; Prakash, O.; Paramasivam, S. Flue-gas desulfurization gypsum effects on leaching of magnesium and potassium from a candler fine sand. Commun. Soil Sci. Plant Anal. 1998, 29, 459–466. [Google Scholar] [CrossRef]
- Mao, Y.; Li, X.; Dick, W.A.; Chen, L. Remediation of saline-sodic soil with flue gas desulfurization gypsum in a reclaimed tidal flat of southeast China. J. Environ. Sci. 2016, 45, 224–232. [Google Scholar] [CrossRef]
- Wang, J.M.; Yang, P.L. Potential flue gas desulfurization gypsum utilization in agriculture: A comprehensive review. Renew. Sustain. Energy Rev. 2018, 82, 1969–1978. [Google Scholar] [CrossRef]
- Chi, C.M.; Zhao, C.W.; Sun, X.J.; Wang, Z.C. Reclamation of saline-sodic soil properties and improvement of rice (Oriza sativa L.) growth and yield using desulfurized gypsum in the west of Songnen Plain, northeast China. Geoderma 2012, 187, 24–30. [Google Scholar] [CrossRef]
- Yu, H.; Yang, P.; Lin, H.; Ren, S.; He, X. Effects of sodic soil reclamation using flue gas desulphurization gypsum on soil pore characteristics, bulk density, and saturated hydraulic conductivity. Soil Sci. Soc. Am. J. 2014, 78, 1201–1213. [Google Scholar] [CrossRef]
- Lehmann, J.; Joseph, S. Biochar for Environmental Management Science, Technology and Implementation, 2nd ed.; Routledge: London, UK, 2015; pp. 1–11. [Google Scholar]
- Dahlawi, S.; Naeem, A.; Rengel, Z.; Naidu, R. Biochar application for the remediation of salt-affected soils: Challenges and opportunities. Sci. Total Environ. 2018, 625, 320–335. [Google Scholar]
- Gou, M.M.; Qu, Z.Y.; Wang, F.; Gao, X.Y.; Hu, M. Progress in research on biochar affecting soil-water environment and carbon sequestration-mitigating emissions in agricultural fields. Trans. Chin. Soc. Agric. Mach. 2018, 49, 1–12. [Google Scholar]
- Rajkovich, S.; Enders, A.; Hanley, K.; Hyland, C.; Zimmerman, A.R.; Lehmann, J. Corn growth and nitrogen nutrition after additions of biochars with varying properties to a temperate soil. Biol. Fertil. Soils 2012, 48, 271–284. [Google Scholar] [CrossRef]
- Lehmann, J.; da Silva, J.P.; Steiner, C.; Nehls, T.; Zech, W.; Glaser, B. Nutrient availability and leaching in an archaeological Anthrosol and a Ferralsol of the Central Amazon basin: Fertilizer, manure and charcoal amendments. Plant Soil 2003, 249, 343–357. [Google Scholar] [CrossRef]
- Abbas, T.; Rizwan, M.; Ali, S.; Adrees, M.; Zia-ur-Rehman, M.; Qayyum, M.F.; Ok, Y.S.; Murtaza, G. Effect of biochar on alleviation of cadmium toxicity in wheat (Triticum aestivum L.) grown on Cd-contaminated saline soil. Environ. Sci. Pollut. Res. 2017, 25, 25668–25680. [Google Scholar] [CrossRef]
- Akhtar, S.S.; Andersen, M.N.; Liu, F. Residual effects of biochar on improving growth, physiology and yield of wheat under salt stress. Agric. Water Manag. 2015, 158, 61–68. [Google Scholar] [CrossRef]
- Ma, R.M.; Ma, R.H.; Han, D.M.; Yun, W.J. Construction of cultivated land quality evaluation system in provincial level based on multilevel indicators. Trans. Chin. Soc. Agric. Eng. 2018, 34, 249–257. [Google Scholar]
- Zhao, X.J.; Ye, Y.; Zhou, J.H.; Liu, L.; Dai, W.J.; Wang, Q.X.; Hu, Y.M. Comprehensive evaluation of cultivated land quality and sensitivity analysis of index weight in hilly region of Pearl River Delta. Trans. Chin. Soc. Agric. Eng. 2017, 33, 226–235. [Google Scholar]
- Zhang, C.; Gao, L.L.; Yun, W.J.; Li, L.; Ji, W.J.; Ma, J.N. Research Progress on Obtaining Cultivated Land Quality Evaluation Indexes by Remote Sensing. Trans. Chin. Soc. Agric. Mach. 2022, 53, 1–13. [Google Scholar]
- Sun, X.B.; Kong, X.B.; Wen, L.Y. Evaluation index system of cultivated land quality and its development trend based on cultivated land elements. Chin. J. Soil Sci. 2019, 50, 739–747. [Google Scholar]
- Gan, F.; Shi, H.; Gou, J.; Zhang, L.; Liu, C. Effects of bedrock strata dip on soil infiltration capacity under different land use types in a karst trough valley of Southwest China. Catena 2023, 230, 107253. [Google Scholar] [CrossRef]
- Zhao, Y.Y.; Zhang, Z.Y.; Tang, X.D.; Zang, L.B.; Liu, X.Y.; Lu, J.L. Analysis of high content water-soluble salt cation in saline-alkali soil by X-Ray fluorescence spectrometry. Spectrosc. Spectr. Anal. 2020, 40, 1467–1472. [Google Scholar]
- Page, A.L. Methods of Soil Analysis, Part 2. In Chemical and Microbiological Properties, 2nd ed.; American Society of Agronomy, Soil Science Society of America: Madison, WI, USA, 1982; pp. 1035–1049. [Google Scholar]
- Pansu, M.; Gautheyrou, J. Handbook of Soil Analysis: Mineralogical, Organic and Inorganic Methods; Springer: Berlin/Heidelberg, Germany, 2006; pp. 605–635. [Google Scholar]
- Lu, R.K. Chemical Analysis of Agricultural Soils; China Agricultural Science and Technology Press: Beijing, China, 2000; pp. 107–108. [Google Scholar]
- Xu, Z.Q.; Chen, Y.; Mao, X.M. Influences of salt adsorption ratio and salt concentration on the physical properties of typical sandy loam in Xinjiang. Trans. Chin. Soc. Agric. Eng. 2022, 38, 86–95. [Google Scholar]
- Sun, Z.J. Research on Effects and the Mechanism of Desulfurization Gypsum and Humic Acid on Coastal Saline-Alkali Soil Improvement. Ph.D. Thesis, China University of Mining & Technology, Beijing, China, 2013. [Google Scholar]
- Yan, S.L.; Liu, S.F.; Zhu, J.J.; Fang, Z.G.; Liu, J. TOPSIS decision-making method with three-parameter interval number based on entropy measure. Chin. J. Manag. Sci. 2013, 21, 145–151. [Google Scholar]
- Lei, X.P.; Robin, Q.; Liu, Y. Evaluation of regional land use performance based on entropy TOPSIS model and diagnosis of its obstacle factors. Trans. Chin. Soc. Agric. Eng. 2016, 32, 243–253. [Google Scholar]
- Wang, M.W.; Chen, G.Y.; Jin, J.L. Entropy-based of set pair analysis model for optimization of land consolidation plans. Trans. Chin. Soc. Agric. Eng. 2010, 26, 322–325. [Google Scholar]
- Liang, J.F.; Chen, S.L. Evaluation and grey correlational analysis of land use performance in Fujian Province based on entropy-weight TOPSIS model. J. Fujian Norm. Univ. Nat. Sci. 2019, 35, 80–87. [Google Scholar]
- Zhang, Q.Q.; Liao, H.P.; Yang, W.; Zhang, Y.F.; Long, H. Evaluation of rural land use transformation based on the entropy weight TOPSIS model——A case study of Yubei District, Chongqing. J. Southwest Univ. Nat. Sci. 2018, 40, 135–144. [Google Scholar]
- Shen, S.M. Soil Fertility in China; China Agriculture Press: Beijing, China, 1998; pp. 111–335. [Google Scholar]
- Zhao, Y.; Wang, S.; Li, Y.; Liu, J.; Zhuo, Y.; Chen, H.; Wang, J.; Xu, L.; Sun, Z. Extensive reclamation of saline-sodic soils with flue gas desulfurization gypsum on the Songnen Plain, Northeast China. Geoderma 2018, 321, 52–60. [Google Scholar] [CrossRef]
- Mahmoodabadi, M.; Yazdanpanah, N.; Rodriguez Sinobas, L.; Pazira, E.; Neshat, A. Reclamation of calcareous saline sodic soil with different amendments (I): Redistribution of soluble cations within the soil profile. Agric. Water Manag. 2013, 120, 30–38. [Google Scholar] [CrossRef]
- Nan, J.; Chen, X.; Chen, C.; Lashari, M.S.; Deng, J.; Du, Z. Impact of flue gas desulfurization gypsum and lignite humic acid application on soil organic matter and physical properties of a saline-sodic farmland soil in Eastern China. J. Soils Sediments 2016, 16, 2175–2185. [Google Scholar] [CrossRef]
- Tokova, L.; Igaz, D.; Horak, J.; Aydin, E. Can application of biochar improve the soil water characteristics of silty loam soil. J. Soils Sediments 2023, 23, 2832–2847. [Google Scholar] [CrossRef]
- Sakai, Y.; Ren, S.; Wang, C.; Sadakata, M. Salt-affected soil amelioration with flue gas desulfurization by-products and waste gypsum board in Tianjin, China. J. Chem. Eng. Jpn. 2011, 44, 750–756. [Google Scholar] [CrossRef]
- Mandal, S.; Thangarajan, R.; Bolan, N.S.; Sarkar, B.; Khan, N.; Ok, Y.S.; Naidu, R. Biochar-induced concomitant decrease in ammonia volatilization and increase in nitrogen use efficiency by wheat. Chemosphere 2016, 142, 120–127. [Google Scholar] [CrossRef]
- Esfandbod, M.; Phillips, I.R.; Miller, B.; Rashti, M.R.; Lan, Z.M.; Srivastava, P.; Singh, B.; Chen, C.R. Aged acidic biochar increases nitrogen retention and decreases ammonia volatilization in alkaline bauxite residue sand. Ecol. Eng. 2017, 98, 157–165. [Google Scholar] [CrossRef]
- Tubail, K.; Chen, L.; Michel, F.C., Jr.; Keener, H.M.; Rigot, J.F.; Klingman, M.; Kost, D.; Dick, W.A. Gypsum additions reduce ammonia nitrogen losses during composting of dairy manure and biosolids. Compost Sci. Util. 2008, 16, 285–293. [Google Scholar] [CrossRef]
- Qu, J.; Zhang, L.; Zhang, X.; Gao, L.; Tian, Y. Biochar combined with gypsum reduces both nitrogen and carbon losses during agricultural waste composting and enhances overall compost quality by regulating microbial activities and functions. Bioresour. Technol. 2020, 314, 123781. [Google Scholar] [CrossRef] [PubMed]
- Mishra, A.; Cabrera, M.L.; Kissel, D.E.; Rema, J.A. Gypsum effect on nitrogen mineralization and ammonia volatilization from broiler litter. Soil Sci. Soc. Am. J. 2013, 77, 2045–2049. [Google Scholar] [CrossRef]
- He, K.; Li, X.P.; Zhang, X.Y.; Zhang, Y.B. Effect of flue gas desulfurization gypsum (FGD-gypsum) on physical and chemical properties of soil and growth of upland rice in Chongming coastal saline soils. Southwest China J. Agric. Sci. 2016, 29, 1381–1386. [Google Scholar]
- Naidu, R.; Syers, J.K.; Tillman, R.W.; Kirkman, J.H. Assessment of plant-available phosphate in limed, acid soils using several soil-testing procedures. Fert. Res. 1991, 30, 47–53. [Google Scholar] [CrossRef]
- Lashari, M.S.; Ye, Y.; Ji, H.; Li, L.; Kibue, G.W.; Lu, H.; Zheng, J.; Pan, G. Biochar-manure compost in conjunction with pyroligneous solution alleviated salt stress and improved leaf bioactivity of maize in a saline soil from central China: A 2-year field experiment. J. Sci. Food Agric. 2015, 95, 1321–1327. [Google Scholar] [CrossRef]
- Lashari, M.S.; Liu, Y.; Li, L.; Pan, W.; Fu, J.; Pan, G.; Zheng, J.; Zheng, J.; Zhang, X.; Yu, X. Effects of amendment of biochar-manure compost in conjunction with pyroligneous solution on soil quality and wheat yield of a salt-stressed cropland from Central China Great Plain. Field Crops Res. 2013, 144, 113–118. [Google Scholar] [CrossRef]
- Renforth, P.; Mayes, W.M.; Jarvis, A.P.; Burke, I.T.; Manning, D.A.C.; Gruiz, K. Contaminant mobility and carbon sequestration downstream of the Ajka (Hungary) red mud spill: The effects of gypsum dosing. Sci. Total Environ. 2012, 421, 253–259. [Google Scholar] [CrossRef]
- Khan, N.; Clark, I.; Sanchez-Monedero, M.A.; Shea, S.; Meier, S.; Bolan, N. Maturity indices in co-composting of chicken manure and sawdust with biochar. Bioresour. Technol. 2014, 168, 245–251. [Google Scholar] [CrossRef] [PubMed]
- Maathuis, F.J.M. Sodium in plants: Perception, signalling, and regulation of sodium fluxes. J. Exp. Bot. 2014, 65, 849–858. [Google Scholar] [CrossRef] [PubMed]
- Bello, S.K.; Alayafi, A.H.; Al-Solaimani, S.G.; Abo-Elyousr, K.A.M. Mitigating soil salinity stress with gypsum and bio-organic amendments: A review. Agronomy 2021, 11, 1735. [Google Scholar] [CrossRef]
- Aboelsoud, H.; Engel, B.; Gad, K. Effect of planting methods and gypsum application on yield and water productivity of wheat under salinity conditions in North Nile Delta. Agronomy 2020, 10, 853. [Google Scholar] [CrossRef]
- Cramer, G.R. Kinetics of maize leaf elongation: III. Silver thiosulfate increases the yield threshold of salt-stressed plants, but ethylene is not involved. Plant Physiol. 1992, 100, 1044–1047. [Google Scholar] [CrossRef]






| Alkali-Hydrolyzable Nitrogen (mg/kg) | Available Phosphorus (mg/kg) | Available Potassium (mg/kg) | Organic Matter (g/kg) | pH | Electrical Conductivity (µs/cm) | Bulk Density (g/cm3) | Clay (%) | Silt (%) | Sand (%) |
|---|---|---|---|---|---|---|---|---|---|
| 6.05 | 3.86 | 72.24 | 2.61 | 8.4 | 64.18 | 1.5 | 1.04 | 5.9 | 93.06 |
| Experimental Materials | pH | Electrical Conductivity (µs/cm) | Alkali-Hydrolyzable Nitrogen (mg/kg) | Available Phosphorus (mg/kg) | Available Potassium (mg/kg) |
|---|---|---|---|---|---|
| Desulfurization gypsum | 7.69 | 1829 | 13.63 | 0.96 | 11.24 |
| Biochar | 9.43 | 569.4 | 7.91 | 199.43 | 623.5 |
| Ameliorant | CK | A | B | C | D | E | F | G |
|---|---|---|---|---|---|---|---|---|
| Biochar (g/kg) | 0 | 0 | 30 | 20 | 20 | 30 | 50 | 0 |
| Desulfurization gypsum (g/kg) | 0 | 100 | 75 | 75 | 50 | 50 | 0 | 0 |
| Destination Layer | Criterion Layer | Index Layer | Unit | Weight |
|---|---|---|---|---|
| Improvement effect on coastal mudflats | Physicochemical indicators (0.3807) | Ca2+ | g/kg | 0.0713 |
| Mg2+ | g/kg | 0.0549 | ||
| Na+ | g/kg | 0.0145 | ||
| K+ | g/kg | 0.0512 | ||
| Cl− | g/kg | 0.0102 | ||
| CO32− | g/kg | 0 | ||
| HCO3− | g/kg | 0.0214 | ||
| SO42− | g/kg | 0.0727 | ||
| pH | / | 0.0347 | ||
| Sodium adsorption ratio | mmol/L | 0.0094 | ||
| Field water-holding capacity | % | 0.0213 | ||
| Bulk density | g/cm3 | 0.0119 | ||
| Nutrient indicators (0.2602) | Alkali-hydrolyzable nitrogen | mg/kg | 0.1029 | |
| Available phosphorus | mg/kg | 0.0563 | ||
| Available potassium | mg/kg | 0.0513 | ||
| Organic matter | g/kg | 0.0496 | ||
| Growth indicators (0.3591) | Fresh weight | g | 0.0852 | |
| Dry weight | g | 0.1103 | ||
| Plant height | cm | 0.0554 | ||
| Leaf area | cm2 | 0.1082 |
| Conjoint Ratio | Comprehensive Improvement Level |
|---|---|
| 0~0.3 | Poor |
| >0.3~0.6 | Moderate |
| >0.6~0.8 | Good |
| >0.8~1 | Excellent |
| Treatment | Time (days) | Na+ | K+ | Mg2+ | Ca2+ | HCO3− | CO32− | SO42− | Cl− |
|---|---|---|---|---|---|---|---|---|---|
| CK | 0.06 + 0.009 ab | 0.065 + 0.011 a | 0.052 + 0.009 a | 0.09 + 0.017 a | 0.277 + 0.097 bc | 0 | 0.118 + 0.035 a | 0.21 + 0.128 b | |
| A | 0.174 + 0.066 d | 0.11 + 0.017 a | 0.344 + 0.057 c | 2.797 + 0.147 b | 0.185 + 0.022 a | 0 | 4.624 + 0.523 b | 0.062 + 0.098 a | |
| B | 0.114 + 0.021 c | 0.813 + 0.147 de | 0.265 + 0.097 b | 2.693 + 0.233 b | 0.241 + 0.084 abc | 0 | 4.564 + 0.64 b | 0.043 + 0.022 a | |
| C | 20 | 0.118 + 0.032 c | 0.409 + 0.065 b | 0.205 + 0.038 b | 2.761 + 0.118 b | 0.181 + 0.024 a | 0 | 4.858 + 0.281 bc | 0.058 + 0.044 a |
| D | 0.107 + 0.014 bc | 0.614 + 0.116 c | 0.263 + 0.04 b | 2.622 + 0.42 b | 0.19 + 0.021 ab | 0 | 5.256 + 0.135 c | 0.047 + 0.035 a | |
| E | 0.097 + 0.016 abc | 0.937 + 0.168 e | 0.228 + 0.036 b | 2.628 + 0.382 b | 0.185 + 0.005 ab | 0 | 5.368 + 0.021 c | 0.05 + 0.003 a | |
| F | 0.036 + 0.02 a | 0.657 + 0.148 cd | 0.051 + 0.01 a | 0.094 + 0.016 a | 0.33 + 0.097 c | 0 | 0.163 + 0.034 a | 0.014 + 0.002 c | |
| G | 0.056 + 0.007 ab | 0.204 + 0.041 a | 0.063 + 0.031 a | 0.115 + 0.044 a | 0.226 + 0.065 abc | 0 | 0.121 + 0.023 a | 0.003 + 0.006 a | |
| CK | 0.08 + 0.028 a | 0.06 + 0.013 a | 0.05 + 0.013 a | 0.117 + 0.062 a | 0.271 + 0.079 b | 0 | 0.124 + 0.054 a | 0.156 + 0.066 b | |
| A | 0.166 + 0.064 a | 0.1 + 0.014 a | 0.297 + 0.06 c | 2.931 + 0.012 b | 0.245 + 0.053 ab | 0 | 4.21 + 0.468 b | 0.075 + 0.06 a | |
| B | 0.083 + 0.019 a | 0.571 + 0.222 cd | 0.159 + 0.062 b | 2.851 + 0.017 b | 0.2 + 0.013 ab | 0 | 5.264 + 0.175 b | 0.043 + 0.058 a | |
| C | 40 | 0.079 + 0.022 a | 0.423 + 0.188 bc | 0.127 + 0.069 ab | 2.185 + 0.414 b | 0.235 + 0.098 ab | 0 | 5.232 + 0.23 b | 0.041 + 0.07 a |
| D | 0.102 + 0.006 a | 0.495 + 0.118 bc | 0.194 + 0.051 b | 2.643 + 0.216 b | 0.196 + 0.028 ab | 0 | 4.949 + 0.304 b | 0.026 + 0.011 a | |
| E | 0.162 + 0.05 a | 0.891 + 0.342 e | 0.194 + 0.075 b | 2.657 + 0.267 b | 0.196 + 0.042 ab | 0 | 4.914 + 0.421 b | 0.069 + 0.051 a | |
| F | 0.138 + 0.129 a | 0.751 + 0.132 de | 0.105 + 0.12 ab | 0.097 + 0.024 b | 0.267 + 0.055 b | 0 | 0.195 + 0.056 a | 0.016 + 0.001 a | |
| G | 0.101 + 0.016 a | 0.227 + 0.003 ab | 0.044 + 0.003 a | 0.111 + 0.034 b | 0.159 + 0.037 a | 0 | 0.104 + 0.036 a | 0.002 + 0.003 a | |
| CK | 0.056 + 0.014 a | 0.045 + 0.014 a | 0.047 + 0.019 a | 0.144 + 0.104 a | 0.266 + 0.029 a | 0 | 0.248 + 0.184 a | 0.131 + 0.062 c | |
| A | 0.167 + 0.108 b | 0.084 + 0.032 a | 0.369 + 0.18 c | 2.805 + 0.068 c | 0.198 + 0.058 a | 0 | 4.434 + 0.556 b | 0.033 + 0.008 b | |
| B | 0.097 + 0.049 a | 0.514 + 0.154 bc | 0.116 + 0.033 ab | 2.589 + 0.171 bc | 0.196 + 0.026 a | 0 | 4.926 + 0.731 b | 0.014 + 0.023 ab | |
| C | 60 | 0.089 + 0.022 a | 0.276 + 0.1 ab | 0.114 + 0.047 ab | 2.138 + 0.711 b | 0.216 + 0.043 ab | 0 | 4.966 + 0.377 b | 0.029 + 0.01 ab |
| D | 0.172 + 0.053 b | 0.628 + 0.314 c | 0.225 + 0.11 b | 2.701 + 0.247 c | 0.21 + 0.014 a | 0 | 4.99 + 0.567 b | 0.049 + 0.015 b | |
| E | 0.114 + 0.073 a | 0.712 + 0.286 c | 0.149 + 0.069 ab | 2.542 + 0.352 bc | 0.2 + 0.06 a | 0 | 4.284 + 1.155 b | 0.033 + 0.023 b | |
| F | 0.1 + 0.077 a | 0.508 + 0.265 bc | 0.171 + 0.122 ab | 0.105 + 0.019 a | 0.278 + 0.041 b | 0 | 0.206 + 0.011 a | 0.009 + 0.005 a | |
| G | 0.047 + 0.003 a | 0.159 + 0.033 ab | 0.02 + 0.01 a | 0.066 + 0.042 a | 0.162 + 0.007 a | 0 | 0.114 + 0.077 a | 0.004 + 0.005 a |
| Treatment | Time (Days) | Di+ | Di− | Ci | Rank |
|---|---|---|---|---|---|
| CK | 0.114 | 0.008 | 0.066 | 8 | |
| A | 0.100 | 0.036 | 0.267 | 6 | |
| B | 0.100 | 0.042 | 0.297 | 2 | |
| C | 20 | 0.098 | 0.037 | 0.276 | 4 |
| D | 0.099 | 0.037 | 0.272 | 5 | |
| E | 0.095 | 0.045 | 0.322 | 1 | |
| F | 0.104 | 0.029 | 0.217 | 7 | |
| G | 0.106 | 0.041 | 0.279 | 3 | |
| CK | 0.108 | 0.013 | 0.105 | 8 | |
| A | 0.087 | 0.047 | 0.352 | 2 | |
| B | 0.082 | 0.050 | 0.379 | 1 | |
| C | 40 | 0.091 | 0.041 | 0.312 | 4 |
| D | 0.092 | 0.040 | 0.304 | 5 | |
| E | 0.090 | 0.041 | 0.315 | 3 | |
| F | 0.106 | 0.032 | 0.232 | 7 | |
| G | 0.107 | 0.044 | 0.291 | 6 | |
| CK | 0.098 | 0.024 | 0.199 | 8 | |
| A | 0.053 | 0.095 | 0.645 | 2 | |
| B | 0.053 | 0.076 | 0.588 | 4 | |
| C | 60 | 0.047 | 0.094 | 0.664 | 1 |
| D | 0.069 | 0.058 | 0.456 | 5 | |
| E | 0.053 | 0.082 | 0.607 | 3 | |
| F | 0.075 | 0.051 | 0.404 | 6 | |
| G | 0.108 | 0.031 | 0.221 | 7 |
Disclaimer/Publisher’s Note: The statements, opinions and data contained in all publications are solely those of the individual author(s) and contributor(s) and not of MDPI and/or the editor(s). MDPI and/or the editor(s) disclaim responsibility for any injury to people or property resulting from any ideas, methods, instructions or products referred to in the content. |
© 2023 by the authors. Licensee MDPI, Basel, Switzerland. This article is an open access article distributed under the terms and conditions of the Creative Commons Attribution (CC BY) license (https://creativecommons.org/licenses/by/4.0/).
Share and Cite
Wang, P.; Liu, Q.; Fan, S.; Wang, J.; Mu, S.; Zhu, C. Combined Application of Desulfurization Gypsum and Biochar for Improving Saline-Alkali Soils: A Strategy to Improve Newly Reclaimed Cropland in Coastal Mudflats. Land 2023, 12, 1717. https://doi.org/10.3390/land12091717
Wang P, Liu Q, Fan S, Wang J, Mu S, Zhu C. Combined Application of Desulfurization Gypsum and Biochar for Improving Saline-Alkali Soils: A Strategy to Improve Newly Reclaimed Cropland in Coastal Mudflats. Land. 2023; 12(9):1717. https://doi.org/10.3390/land12091717
Chicago/Turabian StyleWang, Peijun, Qi Liu, Shenglong Fan, Jing Wang, Shouguo Mu, and Chunbo Zhu. 2023. "Combined Application of Desulfurization Gypsum and Biochar for Improving Saline-Alkali Soils: A Strategy to Improve Newly Reclaimed Cropland in Coastal Mudflats" Land 12, no. 9: 1717. https://doi.org/10.3390/land12091717
APA StyleWang, P., Liu, Q., Fan, S., Wang, J., Mu, S., & Zhu, C. (2023). Combined Application of Desulfurization Gypsum and Biochar for Improving Saline-Alkali Soils: A Strategy to Improve Newly Reclaimed Cropland in Coastal Mudflats. Land, 12(9), 1717. https://doi.org/10.3390/land12091717

