Does Rural Operation System Reform Enhance Agricultural Output? Evidence from Sichuan Province
Abstract
:1. Introduction
2. Literature Review and Hypothesis Development
2.1. Literature Review
2.1.1. Overview of the Impact of Rural Land System Reform on Agricultural Output
2.1.2. Overview of the Impact of Agricultural Organization Innovation on Agricultural Output
2.1.3. Overview of the Mechanism of Rural Operation System Reform on Agricultural Output Improvement
2.2. Research Hypothesis
3. Materials and Methods
3.1. Study Area’s Rural Reform History and Reality
3.1.1. Overall Characteristics of Rural Operation System Reform and Agricultural Development in Sichuan Province in the Last Decade
3.1.2. The Rural Land System Reform in Sichuan
3.1.3. The Initial Achievement in Reform and Innovation of Agricultural Organizations
3.2. Data Sources and Definition of Variables
3.2.1. Data Sources
3.2.2. Definition of Variables
3.3. Empirical Model
4. Results and Discussions of Empirical Analysis
4.1. Descriptive Statistics
4.2. PSM Matching Results
4.3. DID Test Results
4.4. PSM-DID Regression Results
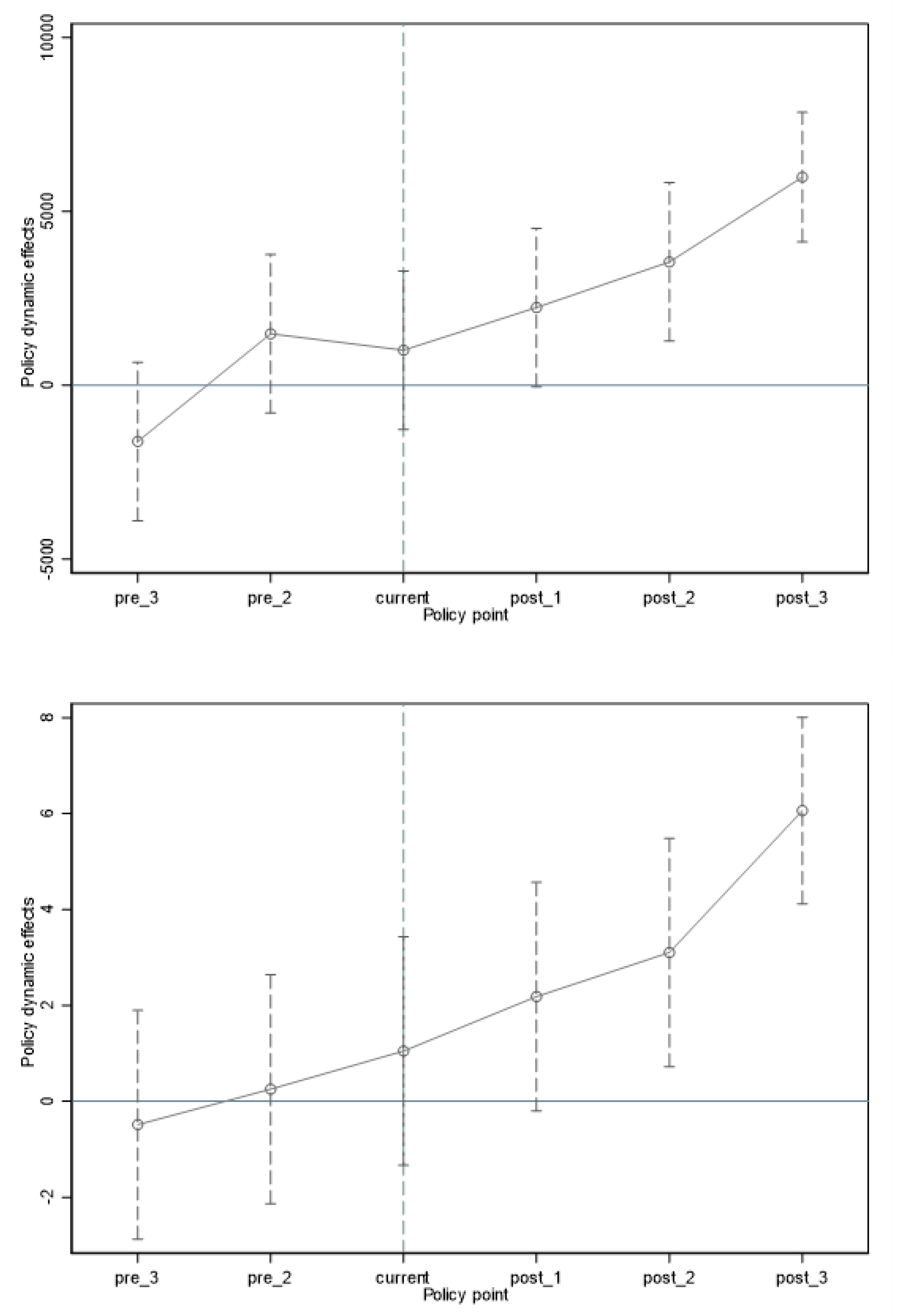
4.5. Parallel Trend Test of PSM-DID Model
4.6. Discussion
5. Conclusions and Policy Implications
Author Contributions
Funding
Institutional Review Board Statement
Informed Consent Statement
Data Availability Statement
Acknowledgments
Conflicts of Interest
References
- Huang, J.; Yang, G. Understanding recent challenges and new food policy in China. Glob. Food Secur. 2017, 12, 119–126. [Google Scholar] [CrossRef]
- Lohmar, B.; Gale, H.F., Jr.; Tuan, F.C.; Hansen, J.M. China’s ongoing agricultural modernization. US Department of Agriculture, Economic Research Service, Economic Information Bulletin, 2009. 51. Available online: https://www.ers.usda.gov/webdocs/publications/44377/eib-51.pdf?v=0 (accessed on 16 November 2022).
- Fan, S. Production and productivity growth in Chinese agriculture: New measurement and evidence. Food Policy 1997, 22, 213–228. [Google Scholar] [CrossRef]
- Fusuo, Z.; Xinping, C.; Peter, V. Chinese agriculture: An experiment for the world. Nature 2013, 497, 33–35. [Google Scholar]
- Huang, J.; Rozelle, S. China’s 40 Years of Agricultural Development and Reform; Garnaut, R., Song, L., Fang, C., Garnaut, R., Song, L., Fang, C., Eds.; ANU Press: Canberra, Australia, 2018; pp. 487–506. [Google Scholar]
- Zhou, Y.; Li, X.; Liu, Y. Rural land system reforms in China: History, issues, measures, and prospects. Land Use Policy 2020, 91, 104330. [Google Scholar] [CrossRef]
- Fei, R.; Lin, Z.; Chunga, J. How land transfer affects agricultural land use efficiency: Evidence from China’s agricultural sector. Land Use Policy 2021, 103, 105300. [Google Scholar] [CrossRef]
- Yi, Q.; Chen, M.; Sheng, Y.; Huang, J. Mechanization services, farm productivity and institutional innovation in China. China Agric. Econ. Rev. 2019, 11, 536–554. [Google Scholar]
- Peng, K.; Yang, C.; Chen, Y. Land transfer in rural China: Incentives, influencing factors and income effects. Appl. Econ. 2020, 52, 5477–5490. [Google Scholar] [CrossRef]
- Cheng, S.; Zheng, Z.; Henneberry, S. Farm size and use of inputs: Explanations for the inverse productivity relationship. China Agric. Econ. Rev. 2019, 11, 336–354. [Google Scholar] [CrossRef]
- Huang, Z.; Liang, Q. Agricultural organizations and the role of farmer cooperatives in China since 1978: Past and future. China Agric. Econ. Rev. 2018, 10, 48–64. [Google Scholar] [CrossRef]
- Spielman, D.J.; von Grebmer, K. Public-private partnerships in international agricultural research: An analysis of constraints. J. Technol. Transf. 2006, 31, 291–300. [Google Scholar] [CrossRef]
- Wang, Z.; Wang, J.; Zhang, G.; Wang, Z. Evaluation of agricultural extension service for sustainable agricultural development using a hybrid entropy and TOPSIS method. Sustainability 2021, 13, 347. [Google Scholar] [CrossRef]
- Marx, K. Theories of Surplus Value Part I; Aakar Books Aakar: Delhi, India, 2020. [Google Scholar]
- Lin, J.Y. Rural Reforms and Agricultural Growth in China. Am. Econ. Rev. 1992, 82, 34–51. [Google Scholar]
- Kan, K. Creating land markets for rural revitalization: Land transfer, property rights and gentrification in China. J. Rural. Stud. 2021, 81, 68–77. [Google Scholar] [CrossRef]
- Zhao, X. Land and labor allocation under communal tenure: Theory and evidence from China. J. Dev. Econ. 2020, 147, 102526. [Google Scholar] [CrossRef]
- Wang, S.; Tan, S.; Yang, S.; Lin, Q.; Zhang, L. Urban-biased land development policy and the urban-rural income gap: Evidence from Hubei Province, China. Land Use Policy 2019, 87, 104066. [Google Scholar] [CrossRef]
- Heckman, J.J.; Ichimura, H.; Todd, P.E. Matching as an econometric evaluation estimator: Evidence from evaluating a job training programme. Rev. Econ. Stud. 1997, 64, 605–654. [Google Scholar] [CrossRef]
- Thompson, P.; Cowton, C.J. Bringing the environment into bank lending: Implications for environmental reporting. Br. Account. Rev. 2004, 36, 197–218. [Google Scholar] [CrossRef]
- Rosenbaum, P.R.; Rubin, D.B. The central role of the propensity score in observational studies for causal effects. Biometrika 1983, 70, 41–55. [Google Scholar] [CrossRef]
- Green, M.C.; Leberg, P.L. Sociality among foraging Ardeidae: Does plumage coloration influence nearest-neighbor spacing? Am. Midl. Nat. 2006, 156, 344–352. [Google Scholar] [CrossRef]
- Ward, D.; Zurbruegg, R. Law, politics and life insurance consumption in Asia. Geneva Pap. Risk Insur. Issues Pract. 2002, 27, 395–412. [Google Scholar] [CrossRef]
- Whitby, K.J.; Bledsoe, T. The impact of policy voting on the electoral fortunes of Senate incumbents. West. Political Q. 1986, 39, 690–700. [Google Scholar] [CrossRef]
- Cheng, W.; Xu, Y.; Zhou, N.; He, Z.; Zhang, L. How did land titling affect China’s rural land rental market? Size, composition and efficiency. Land Use Policy 2019, 82, 609–619. [Google Scholar] [CrossRef]
- Yue, L. BRI’s Effects on Foreign Investments: DID Test Based on China’s Greenfield Investments in 2005–2016. China Econ. 2022, 17, 12–23. [Google Scholar]
- Liu, Q.; Qiu, L.D. Intermediate input imports and innovations: Evidence from Chinese firms’ patent filings. J. Int. Econ. 2016, 103, 166–183. [Google Scholar] [CrossRef]





| Type | Name | Symbol | Description | Unit |
|---|---|---|---|---|
| Dependent variables | Total grain output | Grain | Total production of cereals, beans and tuber crops | thousand tons |
| The gross output value of agriculture | Value | The gross output value of farming, forestry, animal husbandry, fisheries | CNY billion | |
| Per capita income of farmers | Income | Average total annual income per farmer | CNY thousand | |
| Independent variables | Grouping dummy variables | Group | 1 represents a county that had started the program in the treated group’s confirmation, registration and certification of the land contractual management right. 0 represents a county that had not started the program, the control group | |
| Time dummy variables | Policy | In 2015, the reform of the rural operation system was significantly strengthened. 1 represents the period 2015–2020, 0 represents the period 2012–2015 | ||
| The difference in difference (DID) variables | Group × Policy | If Group = 1 and Policy = 1, then Group × Policy = 1; otherwise, Group × Policy = 0 | ||
| Control variables | Arable land in circulation | Circulation | The area of arable land where the use rights are transferred to other farmers or economic organisations | thousand areas |
| Collective construction land listed for trading | Trade | The area of rural collective construction land that completed the transaction | thousand areas | |
| Number of collective economic organisations | Organisation | The number of economic organisations that collectively owned land and implemented a two-tier management system based on family contract management and a combination of unification and division | unit | |
| Value of collective economic organisations’ assets | Asset | The value of the rural collective economic organisation after the evaluation and confirmation by the rural collective” three capita” supervision office | CNY billion | |
| Number of new type agricultural operation entities | Entity | Total number of leading specialised households, family farms, farmers’ cooperatives and leading agricultural enterprises | unit | |
| Number of agro-related service enterprises | Enterprise | Number of agro-related service enterprises with an annual output value of over CNY 100,000 or per capita income of over CNY 50,000 | unit | |
| Grain sown area | Sown | Actual area sown or transplanted with grain crops | million areas | |
| Total power of agricultural machinery | Power | The total power of various power machines mainly used in agriculture, forestry, animal husbandry and fishery production | thousand kw | |
| Consumption of chemical fertilisers | Fertiliser | Quantity of chemical fertiliser used for agricultural production, including nitrogen fertiliser, phosphorus fertiliser, potassium fertiliser and compound fertiliser | million tons |
| Type | Variable | Obs | Mean | Std. Dev. | Min | Median | Max | Skewness | Kurtosis |
|---|---|---|---|---|---|---|---|---|---|
| Dependent variables | Grain | 1377 | 210.20 | 177.62 | 0.00 | 175.32 | 834.14 | 0.99 | 0.55 |
| Value | 1377 | 2.51 | 1.84 | 0.14 | 2.15 | 9.91 | 1.05 | 1.07 | |
| Income | 1377 | 12.82 | 4.72 | 3.20 | 12.29 | 39.65 | 0.93 | 2.15 | |
| Independent variables | Group | 1377 | 0.68 | 0.47 | 0 | 1 | 1 | −0.75 | −1.44 |
| Policy | 1377 | 0.56 | 0.50 | 0 | 1 | 1 | −0.22 | −1.95 | |
| Group ×Policy | 1377 | 0.53 | 0.50 | 0 | 1 | 1 | −0.12 | −1.99 | |
| Control variables | Circulation | 1377 | 19.15 | 17.91 | 0.02 | 15.05 | 112.38 | 1.46 | 2.27 |
| Trade | 1377 | 1.01 | 3.62 | 0.00 | 0.00 | 75.96 | 9.08 | 145.41 | |
| Organisation | 1377 | 0.14 | 0.22 | 0.00 | 0.00 | 1.20 | 1.83 | 3.11 | |
| Asset | 1377 | 0.53 | 0.86 | 0.00 | 0.00 | 6.23 | 2.16 | 6.14 | |
| Entity | 1377 | 2.85 | 1.92 | 0.18 | 2.61 | 10.38 | 0.87 | 0.61 | |
| Enterprise | 1377 | 0.07 | 0.07 | 0.00 | 0.05 | 0.43 | 1.86 | 4.64 | |
| Sown | 1377 | 0.96 | 0.97 | 0.00 | 0.76 | 20.84 | 7.01 | 130.36 | |
| Power | 1377 | 2.71 | 1.76 | 0.10 | 2.40 | 9.90 | 1.05 | 1.20 | |
| Fertiliser | 1377 | 15.13 | 13.50 | 0.03 | 11.69 | 85.40 | 1.48 | 2.95 |
| Variables | Matching Status | Treated | Untreated | Deviation (%) | Reduction in Deviation (%) | t Value | p Value |
|---|---|---|---|---|---|---|---|
| Circulation | Before | 22.243 | 0.728 | 148.40% | 95.41% | 13.479 | 0 |
| After | 0.850 | 0.903 | −6.81% | −0.193 | 0.849 | ||
| Trade | Before | 4.995 | 0.520 | 71.85% | 45.63% | 6.033 | 0 |
| After | 0.282 | 0.685 | −39.06% | −1.034 | 0.316 | ||
| Organisation | Before | 0.317 | 0.043 | 180.59% | 73.90% | 16.051 | 0 |
| After | 0.043 | 0.050 | −7.13% | −1.247 | 0.225 | ||
| Asset | Before | 1.509 | 0.159 | 195.76% | 86.90% | 14.437 | 0 |
| After | 0.322 | 0.216 | 25.65% | 0.679 | 0.505 | ||
| Entity | Before | 3.442 | 0.473 | 179.74% | 73.78% | 15.977 | 0 |
| After | 0.466 | 0.540 | −47.13% | −1.247 | 0.225 | ||
| Enterprise | Before | 0.091 | 0.006 | 150.18% | 97.94% | 13.303 | 0 |
| After | 0.009 | 0.010 | −3.10% | −0.082 | 0.936 | ||
| Sown | Before | 1.156 | 0.846 | 30.10% | 68.00% | 4.01 | 0 |
| After | 1.186 | 1.287 | −9.60% | −1.18 | 0.24 | ||
| Power | Before | 3.016 | 2.204 | 51.30% | 51.80% | 7 | 0 |
| After | 2.996 | 3.388 | −24.80% | −2.71 | 0.007 | ||
| Fertiliser | Before | 19.083 | 13.487 | 39.90% | 16.80% | 5.49 | 0 |
| After | 18.875 | 25.413 | −46.60% | −4.88 | 0 |
| (1) | (2) | (3) | (4) | (5) | (6) | |
|---|---|---|---|---|---|---|
| Grain | Grain | Value | Value | Income | Income | |
| Group × Policy | 16.2393 *** | 15.1039 *** | 0.4767 *** | 0.1447 *** | 5.7946 *** | 2.7886 *** |
| (4.39) | (4.31) | (18.94) | (6.01) | (31.92) | (20.76) | |
| Circulation | 0.5386 * | −0.0166 *** | −0.0331 ** | |||
| (1.71) | (−5.50) | (−1.97) | ||||
| Organisation | 0.0263 ** | 0.0009 *** | 0.0046 *** | |||
| (2.47) | (11.90) | (11.36) | ||||
| Enterprises | −0.1474 ** | 0.0048 *** | 0.0735 *** | |||
| (−2.56) | (9.99) | (27.24) | ||||
| Sown | 0.4880 *** | 0.0009 *** | −0.0005 | |||
| (16.89) | (2.98) | (−0.30) | ||||
| constant | 199.2341 *** | 135.1046 *** | 2.0538 *** | 1.1789 *** | 8.9099 *** | 5.4914 *** |
| (74.46) | (11.97) | (101.63) | (11.40) | (61.12) | (9.52) | |
| N | 1377 | 1377 | 1377 | 1377 | 1377 | 1377 |
| Adj. R2 | 0.9600 | 0.9691 | 0.9264 | 0.9547 | 0.6153 | 0.8584 |
| (1) | (2) | (3) | (4) | (5) | (6) | |
|---|---|---|---|---|---|---|
| Grain | Grain | Value | Value | Income | Income | |
| Group × Policy | 16.6142 *** | 13.3233 *** | 0.9227 *** | 0.1292 *** | 5.2062 *** | 1.8842 *** |
| (4.41) | (3.61) | (3.51) | (4.60) | (24.54) | (13.67) | |
| Circulation | −0.0432 | −0.0167 *** | −0.0270 * | |||
| (−0.12) | (−5.08) | (−1.67) | ||||
| Organisation | 0.0441 *** | 0.0008 *** | 0.0047 *** | |||
| (3.29) | (10.00) | (11.54) | ||||
| Enterprises | −0.3012 *** | 0.0048 *** | 0.0754 *** | |||
| (−4.26) | (9.24) | (29.31) | ||||
| Sown | 0.4276 *** | 0.0008 *** | −0.0011 | |||
| (15.03) | (2.75) | (−0.73) | ||||
| constant | 207.6263 *** | 150.7591 *** | 1.7984 *** | 1.4898 *** | 9.5752 *** | 5.7415 *** |
| (69.86) | (10.25) | (9.21) | (10.80) | (53.23) | (8.47) | |
| N | 1198 | 1198 | 1198 | 1198 | 1198 | 1198 |
| Adj. R2 | 0.9621 | 0.9703 | 0.0824 | 0.9512 | 0.5373 | 0.8650 |
Publisher’s Note: MDPI stays neutral with regard to jurisdictional claims in published maps and institutional affiliations. |
© 2022 by the authors. Licensee MDPI, Basel, Switzerland. This article is an open access article distributed under the terms and conditions of the Creative Commons Attribution (CC BY) license (https://creativecommons.org/licenses/by/4.0/).
Share and Cite
Rui, A.; Shishun, X.; Ankrah Twumasi, M. Does Rural Operation System Reform Enhance Agricultural Output? Evidence from Sichuan Province. Land 2022, 11, 2285. https://doi.org/10.3390/land11122285
Rui A, Shishun X, Ankrah Twumasi M. Does Rural Operation System Reform Enhance Agricultural Output? Evidence from Sichuan Province. Land. 2022; 11(12):2285. https://doi.org/10.3390/land11122285
Chicago/Turabian StyleRui, Ai, Xiao Shishun, and Martinson Ankrah Twumasi. 2022. "Does Rural Operation System Reform Enhance Agricultural Output? Evidence from Sichuan Province" Land 11, no. 12: 2285. https://doi.org/10.3390/land11122285
APA StyleRui, A., Shishun, X., & Ankrah Twumasi, M. (2022). Does Rural Operation System Reform Enhance Agricultural Output? Evidence from Sichuan Province. Land, 11(12), 2285. https://doi.org/10.3390/land11122285

