Next Article in Journal
Review of Water Use Assessment in Livestock Production Systems and Supply Chains
Previous Article in Journal
Analysis of the Functional Efficiency of a Prototype Filtration System Dedicated for Natural Swimming Ponds
 
 
Font Type:
Arial Georgia Verdana
Font Size:
Aa Aa Aa
Line Spacing:
Column Width:
Background:
Article

Organoclay Microparticle-Enhanced Microfiltration for the Removal of Acid Red 27 in Aqueous Systems

1
Mindtech Research Group (Mindtech-RG), Mindtech S.A.S., Cali 760026, Colombia
2
Technological Development Unit in New Materials (UDT-NM), Polymeiker S.A.S., Montería 230003, Colombia
3
Research Group in Electrochemistry and Environment (GIEMA), Faculty of Natural Sciences, University Santiago de Cali, Cali 760035, Colombia
4
Research Group in Science with Technological Applications (GI-CAT), Department of Chemistry, Faculty of Natural and Exact Sciences, University of Valle, Cali 760032, Colombia
5
Department of Agricultural Engineering and Rural Development, University of Córdoba, Monteria 230002, Colombia
6
Chemistry Department, Faculty of Basic Sciences, University of Córdoba, Montería 230002, Colombia
*
Authors to whom correspondence should be addressed.
Water 2025, 17(19), 2817; https://doi.org/10.3390/w17192817
Submission received: 12 August 2025 / Revised: 12 September 2025 / Accepted: 18 September 2025 / Published: 25 September 2025
(This article belongs to the Section Wastewater Treatment and Reuse)

Abstract

The microparticle-enhanced microfiltration is a technique that combines the use of microparticulate adsorbent material dispersed in aqueous solution and microfiltration membranes for the removal of ions and emerging contaminants with low energy consumption. Thus, the objective of this work was to synthesize an organoclay, BAPTES, based on bentonite and (3-aminopropyl)triethoxysilane for use as a semi-synthetic adsorbent material in the microparticle-enhanced microfiltration process for the removal of AR27 in aqueous systems. For this purpose, the obtained organoclay was structurally characterized by FTIR-ATR-FEDS, SEM-EDS, DLS, and thermal analysis. In addition, equilibrium adsorption and kinetic studies of AR27 were performed. The results showed a significant increase in the adsorption capacity of AR27 by organoclay (86.06%) compared to natural bentonite (2.10%), due to the presence of ionizable amino groups in the organoclay structure that promote electrostatic interactions with the dye. Furthermore, kinetic studies showed that the adsorption process follows a pseudo-first-order model and that the equilibrium data better fits the Temkin model, indicating a heterogeneous adsorption surface with different binding energies. The evaluation of enhanced microfiltration with BAPTES microparticles showed that the adsorption capacity obtained in continuous flow experiments (14.25–33.63 mg g−1) was lower than that determined experimentally under equilibrium conditions (~39.5 mg g−1), suggesting that the residence time of the analyte and the adsorbent in the filtration cell is a determining factor in the retention values obtained. In addition, desorption studies revealed that basic pH had a greater effect than the presence of salts and the use of ethanol, favoring the weakening of the AR27-BAPTES interaction. Finally, the results highlight the potential use of BAPTES microparticle-enhanced microfiltration in applications involving the treatment of contaminated industrial effluents.

1. Introduction

Currently, organic dyes of natural or synthetic origin are widely used in the textile, plastics, cosmetics, food, etc., industries with the purpose of providing or intensifying the color of products and making them more pleasing or appetizing to the consumer’s eye [1]. However, due to the extensive, excessive and inappropriate use of dyes, they represent a risk factor for environmental pollution, affecting aqueous tributaries to a greater extent, altering the composition of water, inhibiting the penetration of sunlight and photosynthetic reactions of the medium [2]. Furthermore, due to their complex chemical structure and their degradation products, in general, they are resistant to photodegradation, the presence of oxidizing agents, heat and biodegradation, so they are compounds with a high degree of persistence in the environment, representing a serious threat to aquatic organisms and human health [3,4]. In particular, Acid Red 27 (AR27), also known as amaranth, is a monoazoic and anionic-type synthetic dye, soluble in water, with formula C20H11N2Na3O10S3 and molecular weight 604.47 g mol−1, Figure 1. AR27 is used as an additive that provides a dark red color to jams, tomato sauce, cakes, beverages, cosmetics, paper, pharmaceuticals, photographic images, and textiles [5]. However, it has been reported that prolonged ingestion and exposure of AR27 can cause tumors, allergies, respiratory problems, and congenital anomalies, as a result of its nature and transformations during its chemical or microbiological degradation process [6]. In particular, azo compounds under anaerobic conditions can degrade into arylamines that are potentially more toxic than their precursors [7]. For this reason, the Food and Drug Administration has banned the use of this dye in the United States and in many other countries its use is strictly controlled [8].
It has been reported that the textile industry widely uses azo-type anionic dyes to print color to its products, in addition to consuming large volumes of water during this process, approximately 200 L of water per kg of textile [2]. It is estimated that around 280,000 tons of dyes are discarded annually, which translates into large volumes of residual effluents contaminated with dyes, which, due to the lack or ineffectiveness of treatment methods, are discarded in water bodies, generating environmental and public health problems [9,10]. Therefore, it is imperative to use strategies that allow the elimination of AR27 from residual effluents and prevent its release into the environment. For this reason, various physical, chemical, and biological methods have been developed and evaluated for the removal of dyes in aqueous effluents in recent decades, including adsorption-based methods [11,12], in membrane separation systems [13], flocculation-coagulation [14], photodegradation [15] and biodegradation with aerobic or anaerobic microorganisms [16]. However, as a result of the complex chemical structures with aromatic groups that most synthetic dyes have, including AR27, they show a high resistance to biodegradation, resulting in their products being even more harmful to the environment than the primary pollutant [8]. In addition, chemical methods, such as advanced oxidation process, electrochemical destruction, ozonation, photochemical and ultraviolet irradiation, can not only be costly due to the dependence on specialized inputs and equipment for their implementation, but also generate the accumulation of by-products in the form of sludge that in turn must be eliminated [17].
In general, physical dye removal methods are usually simple methods based on mass transfer mechanisms. Adsorption is one of the most prominent and recommended methods for the removal of dyes from contaminated effluents thanks to its versatility, adaptability to the type of analyte to be adsorbed, low cost, low energy consumption and the possibility of reusing the adsorbent material [18]. Thus, a wide variety of products of synthetic, natural and semi-synthetic origin, of different nature, structure and composition, have been investigated as adsorbents of dyes, e.g., clays, activated carbons, silicas, agricultural or organic waste, polymers, composite materials, etc. [19,20,21,22]. Likewise, the use of membrane separation methods is characterized by being highly efficient, economical, and easy to scale industrially. Its separation principle based on size exclusion allows the type of membrane used and operating costs to vary depending on the size of the analyte to be retained [23]. Therefore, hybrid separation methods emerge as an alternative that combines two or more separation techniques for the decontamination of aqueous effluents. Thus, by combining adsorption processes and the use of membranes, Microparticle-Enhanced Microfiltration emerges as a technique that combines the use of microparticulate adsorbent material dispersed in the aqueous phase and microfiltration membranes for the removal of ions and emerging contaminants with low energy consumption. In particular, the use of microfiltration membranes with pore sizes between 0.1 and 10 µm allows high permeate flow rates to be achieved at low pressures, which, compared to other membrane-based systems such as ultrafiltration and reverse osmosis, represents a saving in operating costs [24,25].
In particular, clays are considered promising and economically viable adsorbent materials due to their natural origin, abundance, surface properties, and ability to modify for the modulation of their properties [26]. In this sense, bentonite has been widely studied since it shows catalytic and adsorption properties, due to the fact that it is a clay mineral of the montmorillonite type that has a large surface area, high cation exchange and swelling capacity, ideal characteristics for the elimination of cationic contaminants in wastewater effluents [27]. Thus, the use of bentonite for the adsorption of dyes [28], metals [29], pesticides [30], humic acids [31], and phenols [32] has been reported. However, due to the anionic surface charge that bentonite naturally possesses, it causes its affinity for anionic dyes to be low and its surface modification with polymers, organosilanes, surfactant, ionic liquids or other compounds that modify its surface properties of charge, hydrophobic character, and therefore its affinity for the contaminant is required [33]. Table 1 shows the reports associated with the functionalization of bentonite and its use as an adsorbent material for dyes. In general, functionalized bentonite showed greater adsorption with natural bentonite and varied depending on the type and structure of the dye evaluated. Likewise, Table 1 highlights investigations that use hybrid separation methods based on adsorption-microfiltration for the removal of dyes. The reports indicate a high efficiency in the removal of dyes with reports of up to 100% of the analyte present in the sample. However, the combined use of functionalized bentonite and microfiltration as an AR27 removal strategy has not been reported to date.
Therefore, the objective of this work was to perform the surface chemical modification of bentonite with (3-aminopropyl)triethoxysilane (APTES), and the use of the obtained organoclay BAPTES as a semi-synthetic adsorbent material in the process of enhanced microfiltration with microparticles for the removal of Acid Red 27 in aqueous systems. For this purpose, the BAPTES was structurally characterized by infrared spectroscopy using Functionally Enhanced Derivative Spectroscopy for its analysis, and thermogravimetric analysis. Adsorption kinetics and equilibrium adsorption studies of AR27 by organoclay were performed. In addition, a desorption study was conducted with variations in pH and ionic strength. Finally, the retention capacity of AR27 was evaluated in enhanced microfiltration systems with organoclay microparticles.

2. Materials and Methods

2.1. Reagents and Materials

(3-aminopropyl)triethoxysilane (APTES, Aldrich, Milwaukee, WI, USA) was used for the surface chemical modification of bentonite (BENTOCOL S.A.S, Bugalagrande, Colombia). Acid red 27 (AR27, Panreac, Barcelona, Spain) was used as an adsorbate. Acetone (Aldrich, Milwaukee, WI, USA), toluene (Merck, Darmstadt, Germany), ethanol (Merck, Darmstadt, Germany) and deionized water were used as solvents. Sodium hydroxide (NaOH, Merck, Darmstadt, Germany) and hydrochloric acid (HCl, Merck, Darmstadt, Germany) solutions were used for pH adjustment in the adsorption experiments. Sodium chloride (NaCl, Merck, Darmstadt, Germany) was used in adjusting the ionic strength of the solutions. In the Microparticle-Enhanced Microfiltration experiments a 50 mL Amicon UFSC05001 dead-end filtration system (Merck, Darmstadt, Germany), a 2000 mL stainless steel reservoir tank, an industrial grade N2 gas pressure source and a hydrophobic polypropylene microfiltration membrane (Merck, Darmstadt, Germany) were used.

2.2. Organoclay Synthesis

The organoclay was synthesized by surface modification of bentonite through the covalent bonding technique using the organosilane APTES and following the previously published procedure [44]. Initially, 10.0 g of bentonite were taken and washed with 100.0 mL of 0.1 M NaOH solution. The clay was then filtered and dried at 110 °C to remove surface water. Subsequently, the pretreated clay was dispersed in 30.0 mL of toluene and refluxed at 100 °C. Once the system reached the desired temperature, 3.0 g of organosilane was added to the reaction mixture and refluxed at 100 °C for 24 h. The obtained organoclay, called BAPTES, was filtered and washed with acetone and water to remove reaction residues. Finally, the organoclay was dried at 50 °C for 48 h until a constant weight was achieved.

2.3. Structural Characterization of the Organoclay

The functionalization of bentonite was verified by identification of functional groups through Attenuated Total Reflectance Fourier Transform Infrared Spectroscopy (IR-ATR, IRAffinity-1, Shimadzu, Kyoto, Japan). In addition, the dynamin scattering of light technique was used to characterize the size of the particles and their Z potential (DLS, Zetasizer Advance Lab Red, Malvern Panalytical, UK). The morphological characterization was performed through digital photography, scanning electron microscopy (SEM, Phenom Pro X, ThermoFisher Scientific, Waltham, MA, USA) and its elemental composition was determined using energy dispersive X-ray spectroscopy (EDS). Finally, the thermal stability of the organoclay was evaluated by thermogravimetric analysis (TGA, TA Instruments Q50, TA Instrument, New Castle, DE, USA).

2.4. Spectral Analysis Through Functionally Enhanced Derivative Spectroscopy (FEDS)

The analysis of the FTIR-ATR spectra was carried out through FEDS, following the methodology proposed by Palencia [45]. To do this, a smoothing was performed for the reduction in the noise of the final spectrum for each defined analysis window. The spectra were then normalized with respect to their maximum and minimum by Equation (1).
b = a i a m a x a m a x a m i n
where b is the new variable after normalization, ai the absorbance value of the i-th wave number, and amax and amin correspond to the maximum and minimum absorbance values, respectively.
Subsequently, the FEDS deconvolution of the spectrum was performed using Equation (2), where P describes the P Function, which defines the FEDS intensity values. Therefore, for two normalized absorbance values b(i + 1) and bi we have to
P = ( 1 + b i ) 1 b i + 1 1 b i

2.5. Study of the Adsorption Capacity of Dye

The adsorption capacity of AR27 was evaluated with the organoclay obtained. For this, 50 mg of BAPTES was taken and 10.0 mL of AR27 dye solution, pH 6.5, with a concentration of 200 mg L−1 was added. The suspensions were left in constant agitation for 24 h at room temperature. Subsequently, the samples were centrifuged at 5000 rpm for 5 min and the supernatant was taken for analysis. Finally, the amount of dye not retained was quantified by UV-Vis spectroscopy (Varian Cary 100, Agilent Technologies, Santa Clara, CA, USA) at 522 nm.

2.6. Study of Adsorption Kinetics

The evaluation of the adsorption kinetics of AR27 by the organoclay was performed by batch-type experiments. For this, 50.0 mg of BAPTES was taken and 10.0 mL of AR27 solution, pH 6.5, with a concentration of 200 mg L−1 (C0) was added. The suspensions were then left in contact with constant agitation and at room temperature for 1, 2, 4, 8, 16, 24 and 48 h. At the end of each of the defined times, the samples were centrifuged at 5000 rpm for 5 min and the supernatant was taken for analysis. The quantification of the unadsorbed dye present in the supernatant (Ct, mg L−1) was performed according to the parameters used in Section 2.5. The amount of dye adsorbed by the organoclay (Qt, mg g−1) was calculated according to Equation (3) [46]:
Q t = ( C 0 C t ) V m
where V is the volume of solution (L) and m is the mass of the adsorbent (g) used.

2.7. Theoretical Models of Adsorption Kinetics

The adsorption kinetics data were described using Lagergren’s pseudo-first-order and pseudo-second-order models, defined by Equations (4) and (5), respectively [46]:
Q t = Q e ( 1 e k 1 t )
Q t = k 2 Q e 2 t 1 + Q e t
where Qt (mg g−1) is the amount of dye adsorbed by the compost at time t, Qe (mg g−1) is the amount of dye adsorbed at equilibrium (this parameter is adjusted by the model), k1 (h−1) is the pseudo-first-order velocity constant, and k2 (kg mg−1 min−1) is the pseudo-second-order velocity constant.

2.8. Dye Adsorption Experiments in Equilibrium

The study of the adsorption in the equilibrium of AR27 was carried out using solutions with concentrations both below and above its saturation point. For this, a working stock solution of 1000 mg L−1 of AR27 was prepared. Next, samples of 50.0 mg of BAPTES were taken and contact was made with 40.0 mL of dye solution of different initial concentration (25, 50, 100, 200, 500, 750 and 1000 mg L−1). The contact solutions were obtained by dilution of the working stock solution. The pH of the solutions was adjusted to 6.5. Subsequently, the dispersions were stirred for 24 h at room temperature. Finally, the dispersions were centrifuged at 5000 rpm for 5 min and the supernatant was taken for analysis by UV-Vis spectroscopy. The amount of dye adsorbed by BAPTES (qe, mg g−1) was calculated using Equation (3).

2.9. Adsorption Isotherms

The data on dye adsorption at equilibrium were described using the adsorption models of the Langmuir and Freundlich isotherms [46]. The Langmuir model is defined by Equation (6).
q e = Q L k L C e 1 + k L C e
where qe (mg g−1) is the amount of dye retained by BAPTES and Ce (mg L−1) the concentration of the dye in solution at equilibrium. QL (mg g−1) and KL (L mg−1) are the maximum adsorption capacity and the dye’s affinity constant for BAPTES.
Freundlich’s model is defined by Equation (7).
q e = K F C e n
where KF (Ln mg1−n g−1) are the Freundlich constant that describes the adsorption capacity and n (dimensionless) that measures the favorability of the process.
The Temkin model is defined by Equation (8).
q e = R T f ln C e k T
where qe (mg g−1) is the amount of dye retained by BAPTES and Ce (mg L−1) the concentration of the dye in solution at equilibrium. KT (L mg−1) is the Temkin equilibrium binding constant, f (J mol−1) is the Temkin isotherm constant corresponding to the adsorption energy, R is the constant of the gases (8.314 J mol−1 K−1) and T (K) is the temperature of the experiment.

2.10. Determination of the Thermodynamic Parameters of the Dye Adsorption Process

To determine the thermodynamic parameters of the adsorption process, enthalpy, entropy and Gibbs free energy, it was carried out by applying the Van ’t Hoff equation, Equation (9). For this, batch-type experiments were carried out varying the contact temperature [46]. For this, 50.0 mg of BAPTES was taken and 10.0 mL of AR27 solution at pH 6.5 with a concentration of 500 mg L−1 was added. Subsequently, the suspensions were left in contact with constant agitation for 24 h at different temperatures between 298.15 and 328.15 K. At the end of the contact time, the dispersions were centrifuged at 5000 rpm for 5 min and the supernatant was taken for analysis by UV-Vis spectroscopy. The amount of dye adsorbed by BAPTES (qe, mg g−1) was calculated using Equation (3). The Van ’t Hoff model is defined by Equation (9).
ln K e = H ° R 1 T + S ° R
where Ke is the thermodynamic equilibrium constant calculated as shown in the reference [46]. Δ (J mol−1) is the change in enthalpy of the process, Δ (J mol−1 T−1) is the change in entropy of the process, R is the constant of the gases and T (K) is the temperature.

2.11. Evaluation of BAPTES Microparticle-Enhanced Microfiltration for AR27 Removal

The evaluation of BAPTES’s AR27 removal capacity in a continuous-flow system was performed using a microparticle-enhanced microfiltration method. A 50 mL Amicon UFSC05001 (Merck, Rahway, NJ, USA) filtration system was used, assembled with a 2000 mL reservoir tank, a N2 gas pressure source, and a constant stirring system at 500 rpm (see Figure 1). A hydrophobic polypropylene microfiltration membrane (Merck, USA) with a pore size of 0.45 µm, a diameter of 47 mm and an effective filtration area of 0.001257 m2 was used. The reservoir was filled with distilled water at pH 6.5. Likewise, 50 mL of a 100 mg L−1 AR27 model solution at pH 6.5 and 10 mg of BAPTES were placed in the filtration cell. The stirring system was then activated and an operating pressure of 50 kPa was generated with N2 gas to initiate the filtration process. Permeate collection began immediately, initially every 2.5 mL and increased until 15.0 mL fractions were collected. The AR27 concentration in the permeate, Cp, was quantified by UV-Vis according to Section 2.5. The experiment was terminated when no AR27 was detected in the permeate. In addition, a blank experiment was performed to evaluate AR27 retention by the filtration system. The retention capacity, R, cell concentration, Cc, filtration factor, F, filtration system retention or membrane retention, Rsys, and BAPTES retention, RBAPTES, were determined using the following equations:
F   ( d i m e n s i o n l e s s ) = V p V c
C c ( m g L 1 ) = ( C i V c C p V p ) V c
R   % = 1 C p C i F 100
R s y s   m g   m 2 = C i V c C p V p A m
R B A P T E S   m g   g 1 = C i V c C p V p R s y s A m m
where Vp (L) is the accumulated volume of the permeate, Vc (L) is the volumetric capacity of the filtration system, Ci (mg L−1) is the initial concentration of the AR27 solution, Am (m−2) is the effective filtration area of the membrane and m is the mass of the adsorbent (g) used.

2.12. Study of the Desorption Capacity of the Dye

The study of the dye desorption capacity and regeneration of the BAPTES adsorbent was carried out by batch experiments varying the pH, ionic strength and polarity of the solvent. For this, 50.0 mg of BAPTES was taken and 10.0 mL of AR27 solution with a concentration of 200 mg L−1 was added. The suspension was left in contact with constant agitation and at room temperature for 24 h. Subsequently, the samples were centrifuged at 5000 rpm for 5 min, the supernatant was taken for analysis, and the precipitate was weighed to calculate the amount of AR27 solution occluded in the solid. Next, the precipitate was taken and 10.0 mL of water was added at different values of pH (5, 7 and 9) and ionic strength (0.0, 0.5 and 1.0% of NaCl), for the experiment of the variation in the polarity of the solvent the water was replaced by 10.0 mL of ethanol. Each suspension was then left in contact with constant agitation and at room temperature for 6 h. Finally, the samples were centrifuged at 5000 rpm for 5 min and the supernatant was taken for analysis by UV-Vis spectroscopy. The desorption capacity of AR27 and regeneration of BAPTES, QD (%), was calculated using Equation (15).
Q D = C S V q e m 100
where Cs is the concentration of the desorption solution (mg L−1), V is the volume of desorption solution (L), m (g) is the mass of the adsorbent used, and qe (mg g−1) is the initial amount of dye retained by BAPTES.

2.13. Statistical Analysis

All determinations were made in triplicate. The fitting of the experimental data with Lagergren’s pseudo-first-order and pseudo-second-order kinetics mathematical models, and the adsorption models of the Langmuir and Freundlich isotherms, was performed by nonlinear regression using the R statistical package for Windows (RStudio 2021.09.1 + 372, 2021).

3. Results and Discussion

3.1. Synthesis and Characterization of the BAPTES Organoclay

The modification of bentonite to obtain the organo-clay BAPTES was carried out by covalently anchoring organosilanes, specifically APTES, to the clay surface. This process involves a reaction between the silanol groups present on the surface of the bentonite and the ethoxysilane groups of the APTES. Through a nucleophilic substitution mechanism, the silanol groups attack the silicon atom of the APTES, causing the exit of the ethoxy groups and thus facilitating the anchoring of the organosilane to the lamellar structure of bentonite. This process allows the functionalization of the surface with amino groups, which improves the ability of the clay to interact with polar or metallic species.
The results of the IR-ATR analysis of the BATES clay organ obtained and its precursor, bentonite, are shown in Figure 2A. The spectrum obtained from bentonite, dashed line, evidences in region a, from 3100 to 3700 cm−1, the presence of three characteristic signals of the -OH groups; the first signal is a weak shoulder located around 3680 cm−1 associated with phase-coupled stretching of the superficial Si-OH groups; the second signal at 3610 cm−1, associated with the stretching of the Si-OH groups coordinated to different octahedral cations, Al2-OH, Al-Mg-OH and Al-Fe3+-OH; and the third signal is located in the 3400 cm−1 region characterized by being a wide signal caused by stretching vibrations of the water molecules present in the material. In the same sense, in region c of Figure 2A, the signal associated with the balancing vibrations of the interlaminar water molecules was identified around 1634 cm−1 and in 1440 cm−1 the deformation vibrations in the plane of the Si-OH groups. Finally, in the area of the spectrum below 1200 cm−1, four signals were identified corresponding to the stretch vibrations of the Si-O-Si group at 991 cm−1, strain vibrations of the Si-OH groups at 908 cm−1 and the Si-O-Al groups at 775 cm−1 (signal 1), and finally a fourth signal associated with the out-of-plane strain vibration of the Al-O and Si-O groups around 670 cm−1 (signal 2) [47].
In addition, in Figure 2A, the IR-ATR spectrum of BAPTES, solid line, in the areas indicated as a, b and c, variations in the intensity and presence of new signals were observed, mainly in the b region, associated with the vibration signals of the C-H and N-H bonds, characteristic of APTES. Likewise, the typical signals observed for bentonite associated with the deformation vibration of the Si-O-Si groups, strain vibrations of the Si-OH and Si-O-Al groups, and out-of-plane strain vibration of the Al-O and Si-O groups in the region between 600 and 1200 cm−1 were also observed for the BAPTES organoclay. However, due to the low relative intensity and poorly defined shape of the identified signals, spectral deconvolution was applied by FEDS analysis, achieving a better identification of signals associated with the modification of bentonite with APTES and formation of the organoclay.
Thus, in Figure 2B,C, the FEDS spectrum of bentonite, Figure 2B, and BAPTES, Figure 2C, is shown in the regions between 1200 and 1750 cm−1 and 2600–3800 cm−1. In the bentonite spectrum, Figure 2B, the presence of the three FEDS signals characteristic of the surface silanol groups, the structural hydroxyls coordinated to octahedral cations (such as Al3+, Mg2+ and Fe3+), and to interlaminar water, was evidenced in the region above 3000 cm−1. Now, when analyzing this same region for BAPTES, Figure 2C, a change in the spectrum profile was observed, associated with the presence of new functional groups in the matrix of the material. Thus, the three characteristic signals of bentonite in this region were identified and in addition three other new signals were identified for BAPTES. The first signal was identified around 2930 cm−1 and was associated with the asymmetric tension of the -CH2 groups belonging to the aminopropyl organic group of APTES. The other two signals identified were located at 3270 and 3375 cm−1, associated with the symmetric and asymmetric tension vibrations of the -NH2 groups, respectively.
Moreover, when continuing the analysis of the region of the spectrum between 1200 and 1750 cm−1, in the bentonite spectrum the swing signal of the water molecules of the interlaminar water was identified; however, when analyzing this same signal around 1634 cm−1 for BAPTES, a decrease in the relative intensity of the signal was evidenced, which is associated with the decrease in the affinity of the clay organ, BAPTES, for water molecules compared to bentonite. This behavior can be explained by the modification of the clay surface, which reduces the sites available for interaction with water due to the presence of hydrophobic organic groups. Likewise, in the BAPTES spectrum, two signals were identified around 1535 and 1516 cm−1, characteristics of the asymmetric and symmetrical deformation vibrations of the -NH2 amino group, respectively; in addition, the out-of-plane strain vibration of the Si-CH2-R group was identified at 1331 cm−1 [44]. Together, these results obtained by IR-ATR spectroscopy and FEDS analysis corroborate the effective incorporation of functional groups of an organic nature, specifically aminopropyl, on the surface of the inorganic particles of aluminum phyllosilicates and the formation of the organoclay.
On the other hand, Figure 3 shows the results of the structural characterization of bentonite and APTES organoclay through digital photography and SEM analysis. Thus, at the macroscopic level, when comparing the digital photographs of bentonite, Figure 3A, and BAPTES organoclay, Figure 3B, changes in the color of the material were observed after chemical modification. This change in hue can be attributed to the partial elimination of impurities such as metal ions and other chromophoric substances present in natural clay. Furthermore, the incorporation of organic vinyl groups on the surface of the clay can alter its optical properties and generate variations in its color [48]. At the microscopic level, the results of the SEM analysis showed that both the two clays evaluated, bentonite and BAPTES, presented an amorphous particulate structure, with no appreciable changes after the modification process with the organosilane. This suggests that the APTES functionalization process does not appreciably alter the clay structure at the microscopic level. In contrast, at the elemental composition level, the EDS analysis results, Table 2, identified new elements, e.g., C and N, and recorded variations in the contents of elements characteristic of clay minerals, Si, O, Al, and Fe. Thus, for bentonite, the characteristic elements of aluminosilicates were identified, with oxygen contents of 50.82%, silico 24.07%, aluminum 22.37%, and iron 22.16%. Then, for the BAPTES organoclay, the elements Si, O and Fe, also present in bentonite, were identified. Aluminum in particular could not be identified in the sample, which is related to limitations of the SEM/EDS analysis technique used, e.g., surface-based analysis of the sample and specific analysis zones. However, elements such as nitrogen and carbon were quantified, with contents of 8.22% and 4.11%, respectively. These groups are associated with the aminopropyl groups incorporated into the organoclay after the modification of bentonite with APTES.
Additionally, bentonite and synthesized organoclay were characterized through dynamic light scattering, identifying their average particle size and Z-potential, Table 2. The values obtained for the particle size for BAPTES, 1625 nm, in contrast to natural bentonite, 268 nm, showed an increase in more than 600% in the average diameter of particles dispersed in water. This increase is explained as a consequence of an increase in the tendency to agglomeration of clay particles functionalized with APTES, caused by changes in the surface energies of the material after the incorporation of hydrophobic groups. This decreases its affinity in aqueous media, colloidal stability and promotes the agglomeration of particles [49]. The above hypothesis is reinforced by the results obtained in the analysis of the Z potential of the particles. Thus, for bentonite an average value of −16.6 mV was recorded and for the BAPTES organoclay of 3.5 mV, the decrease and change in the sign of the Z potential measured for organoclay, evidenced that the incorporation of aminopropyl groups on the surface of bentonite particles decreases their affinity for water. In addition, the insertion of amino groups and their ability in aqueous media to proton and form –NH3+ groups, generated changes in the surface charge density of the particles, changing their anionic to cationic character [50].
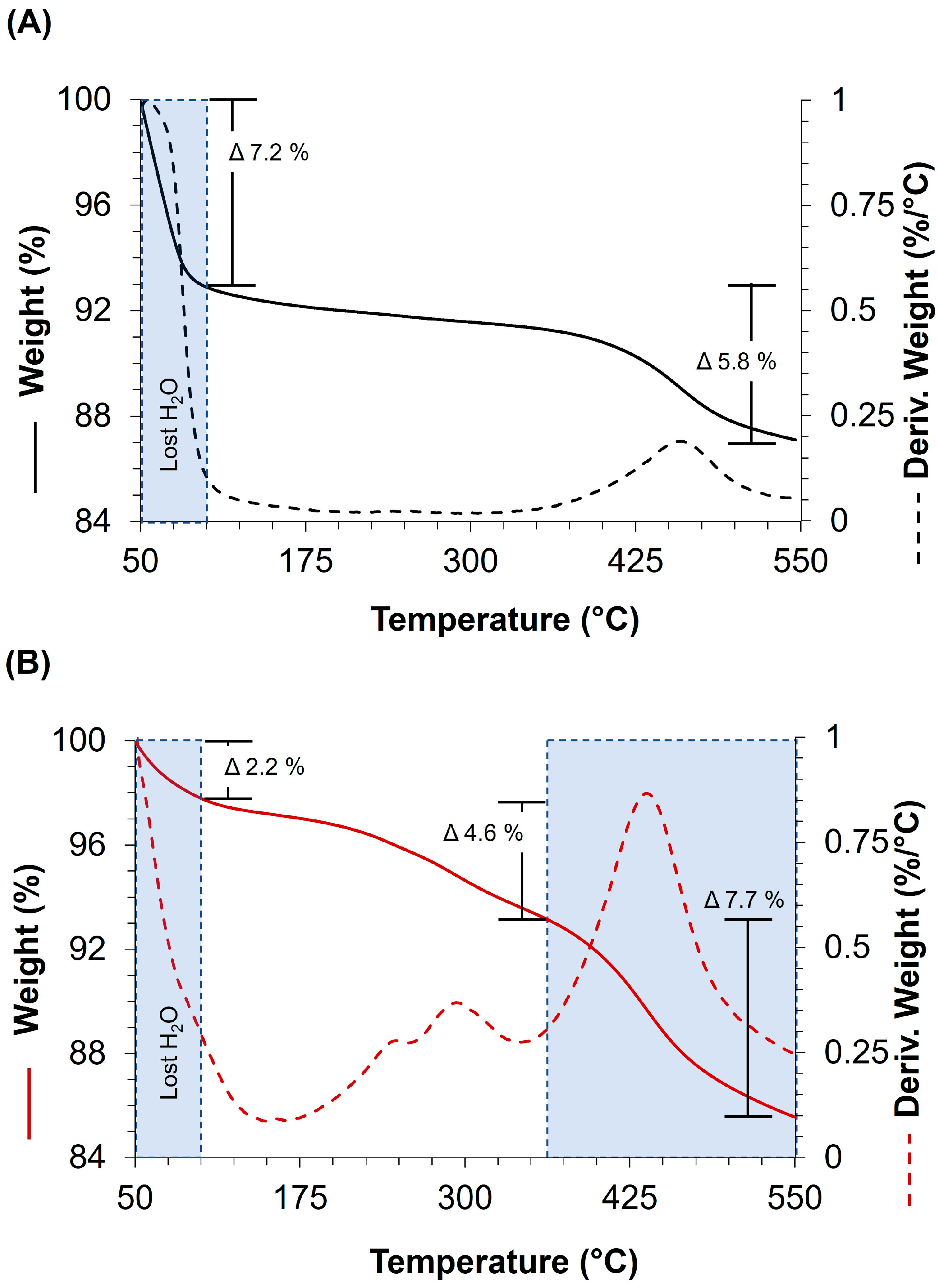
The thermal stability of bentonite and BAPTES was evaluated, the thermograms are shown in Figure 4. As can be seen for bentonite, Figure 4A, in the thermal region analyzed up to 550 °C, a total mass loss of 13.0% was obtained. The loss of mass was observed in two stages, an initial one from room temperature to 101 °C, a temperature at which the loss of surface water and physically adsorbed on the surface of the bentonite occurs, reaching a loss of 7.2%. Additionally, above 360 °C, a second zone of mass loss of 5.8% was observed associated with internal structural dehydroxylation processes of the clay sheets [51]. In contrast, the BAPTES thermogram, Figure 4B, showed a third zone of mass loss in contrast to bentonite. Additionally, the surface water contained in BAPTES, 2.2%, was lower than bentonite, 7.2%, indicating a lower water retention capacity in the organoclay due to the more hydrophobic nature of the modified surface and water loss during the synthesis process. In addition, in particular for BAPTES, a mass loss of 4.6% was observed in the region between 101 and 360 °C, attributed to the thermal degradation of the organic fraction introduced into the material, in particular to the decomposition of the aminopropyl and ethoxy groups from APTES. Finally, above 360 °C, a mass loss of 7.7% was recorded linked to internal laminar dehydroxylation processes, similar to that observed in bentonite, although of greater magnitude [36].
Finally, the production cost of BAPTES can be estimated from the commercial prices of the raw materials used reported by commercial firms. Considering a value of 1 USD kg−1 for bentonite, 1.17 USD g−1 for the organosilane precursor APTES, and the proportions required for BAPTES production, the cost associated with bentonite is practically negligible compared to that of the modifying agent (0.10 USD to modify 100 g of bentonite), while APTES represents an approximate value of 35.1 USD for the same amount of clay. Consequently, the total cost of producing 130 g of BAPTES amounts to 35.2 USD, equivalent to a unit cost of approximately 271 USD kg−1 of synthesized material. This preliminary analysis shows that APTES is the critical component in determining the production cost. This analysis underscores that the economic viability of obtaining BAPTES depends primarily on optimizing APTES consumption and developing more efficient synthesis strategies that reduce the amount of modifier required without compromising the properties of the organoclay.

3.2. Study of the Adsorption Capacity of AR27

The results of the evaluation of the adsorption capacity of AR27 by bentonite and BAPTES organ-clay at 298 K for 1440 min are shown in Table 3. Natural bentonite showed a low adsorption capacity of AR27 dye, registering adsorption values of 2.1%, equivalent in mass to 0.81 mg g−1. This result can be explained due to a low analyte-substrate affinity. Thus, bentonite, being a cation exchanger by nature, the functional groups on its surface, e.g., silanol, confer a negative charge density and affinity to cationic species [27]. This hypothesis was verified by the Z potential measurements recorded in Table 2, in which bentonite registered values of −16.6 mV. In contrast, the chemical structure of the dye AR27, Figure 1, shows the presence of three anionic sulfonate-type groups, which in aqueous medium are ionized in their entirety and give an anionic character to the dye [52]. Therefore, the low AR27-bentonite affinity can be associated with unfavorable electrostatic interactions.
In contrast, the results obtained for the BAPTES organoclay showed a dye retention capacity of 86.06%, 35.52 mg g−1, being approximately 41 times higher than the adsorption capacity recorded by bentonite. This significant increase in dye adsorption can be explained by the change in the surface charge of the material from negative to positive, as evidenced in the zeta potential values reported in Table 2 for BAPTES of +3.5 mV. This is the product of the protonation of the introduced amino groups (–NH3+) through APTES, which facilitate electrostatic attraction with the anionic sulfonate groups (SO3-) present in the structure of the AR27 dye. In this way, it is confirmed that the functionalization of bentonite with APTES, managed to incorporate amino groups that alter the surface charge of bentonite, improving its affinity for the anionic dye AR27.

3.3. Study of Dye Adsorption Kinetics

To determine the adsorption kinetics of AR27 in the APTES organoclay, the adsorption capacity was evaluated at various time intervals, 1–48 h, at a temperature of 298 K, see Figure 5A. In general, it was observed that after 16 h of contact, the material reached its maximum AR27 absorption capacity, approximately 39.5 mg g−1, remaining almost constant with the advance of time. No significant differences were observed between the values obtained for longer times, 24 and 48 h.
Subsequently, the experimental data obtained from the kinetic study of adsorption of the AR27 dye on the BAPTES organoclay were analyzed using the pseudo-first order and pseudo-second order kinetic models, represented by Equations (4) and (5), respectively. The calculation of the kinetic constants and correlation coefficients was performed using nonlinear adjustments for a better prediction of the model [53]. Figure 5A presents the nonlinear fit of the theoretical models to the experimental data, while Table 4 summarizes the kinetic parameters calculated from each model, including the kinetic constants, the equilibrium adsorption capacity Qe, and the coefficient of determination R2.
When comparing both models, it was observed that the pseudo-first-order model presented a better fit to the experimental data, with an R2 correlation coefficient of 0.975, higher than that obtained with the pseudo-second-order R2 model, 0.935. This suggests that the AR27 adsorption process can be described by a first-order kinetic mechanism, where the adsorption rate is proportional to the number of active adsorption sites available on the organoclay surface. In addition, it is suggested that there are few active sites in the adsorbent material and it is governed by processes of external diffusion of AR27 towards the clay surface [54]. Regarding the adjusted parameters, the pseudo-first-order model yielded a kinetic constant k1, 0.178 h−1, which indicates a moderately fast adsorption rate, and an equilibrium adsorption capacity Qe of 40.38 mg g−1, a value that is very close to the experimental Qe (exp), 39.5 mg g−1. This similarity between both values further supports the validity of the pseudo-first-order model to describe this system. Furthermore, based on the kinetic constant k1, it can be inferred that approximately 63% of the maximum adsorption capacity is reached in the first 5–6 h of the process, which is consistent with a rapid initial process followed by a slower stage as the active sites become saturated. Then, in relation to the parameters adjusted by the pseudo-second-order model, it showed a lower fit, R2 0.935, with the experimental data. An estimated Qe value of 47.80 mg g−1 was obtained, a value statistically different from Qe (exp). In addition, a constant k2, 3.95 × 10−3 g mg−1 h−1, was observed, with low significance adjustment, which suggests that this model does not adequately describe the adsorption mechanism of the system.
With the above, the hypothesis that the AR27 adsorption process is carried out by electrostatic interactions between the ammonium (-NH3+) functional groups on the surface of the organoclay and the sulfate groups of the dye is reinforced. In addition, the adequate fit of the experimental data to the pseudo-first-order kinetic model justifies the existence of a limited number of adsorption sites on the surface of BAPTES and proportional to those incorporated during its synthesis process.

3.4. Study of Dye Adsorption in Equilibrium

For the determination of the adsorption isotherms of AR27 on the organoclay APTES, the adsorption capacity was evaluated at different initial concentrations of AR27, 25–1000 mg L−1, and a temperature of 298 K, the results obtained are shown in Figure 5B. In general, a saturation profile of the BAPTES surface was observed with the AR27 concentrations evaluated. Specifically, at concentrations greater than 750 mg L−1, no significant differences were observed in the qe values obtained. Next, the experimental data obtained from the study of adsorption of the dye AR27 in equilibrium on the BAPTES organoclay were analyzed by nonlinear adjustments of the experimental data with the Langmuir’s, Freundlich and Temkin models, represented by Equations (6), (7) and (8), respectively. Figure 5B presents the nonlinear fit of the theoretical models to the experimental data, while Table 5 summarizes the parameters calculated from each model, including the constants of each isotherm and the coefficient of determination R2.
After analyzing the three models evaluated, it was observed that the Temkin model presented the best fit with the experimental data obtained with an R2 correlation coefficient of 0.993. On the other hand, the fit of the Freundlich and Langmuir models registered lower R2 correlation coefficients, 0.989 and 0.913, respectively. In particular, when adjusting the data to the Langmuir isotherm, a maximum Langmuir adsorption capacity, QL, of 64.81 mg g−1, and a constant KL of 0.055 L mg−1 were obtained. However, the R2 fit was the lowest of all the models evaluated. This isotherm model assumes that the adsorption process occurs through the formation of a monolayer on the surface of the adsorbent at specific, identical and equivalent sites. In addition, the model assumes that the process is homogeneous and each molecule possesses a constant activation energy [55]. However, the high surface anisotropy of BAPTES prevents the adsorption process from being described according to the assumptions of the Langmuir model.
After, when adjusting the data to the Freundlich isotherm, it was obtained that the Freundlich coefficient that describes the favorability of the process, n, presented a value of 0.204 and a constant Kf of 17.58 Ln mg1−n g−1. This model, together with Temkin’s, were the ones that best fit the experimental data obtained. Freundlich describes the adsorption process as a non-ideal and reversible process, in which the formation of an adsorbate multilayer is generated and, in addition, the heat and adsorption affinity are not homogeneous over the entire surface. Thus, the value of 0 < n < obtained suggests that the AR27 adsorption process by BAPTES is favorable and that the adsorption intensity increases with the concentration of the dye in the solution [56]. Finally, after the application of the Temkin isotherm model, the best fit was obtained with the experimental data, with a Temkin KT equilibrium binding constant value of 2.42 L mg−1 describing the adsorbent affinity for the adsorbate and a high Temkin isothermal f constant value of 280.04 J mol−1 suggesting that adsorption is not highly affected by layer increase in adsorbate on the adsorbent. In general, the Temkin model considers a heterogeneous adsorption process, in which there are effects of the indirect interaction between adsorbate molecules and their adsorption heat decreases with the increase in the coverage of AR27 molecules on the surface of BAPTES [57]. Similar results have been reported for homologous systems of natural clays as AR27 adsorbents [58].

3.5. Study of the Thermodynamic Parameters of the Dye Adsorption Process

The determination of the thermodynamic variables of the AR27 adsorption process on the APTES organoclay was evaluated by determining the adsorption capacity at different temperatures, between 298.15 and 328.15 K, the results obtained are shown in Figure 6. In general, a good linear correlation of the experimental data obtained with the evaluated model for the AR27 adsorption process on BAPTES was observed. In addition, it was observed that the equilibrium constant of the process, qe/Ce, decreased with the increase in the temperature of the experiment. This suggests that the increase in temperature disfavors the process of adsorption of AR27 on the surface of the organoclay, by promoting a higher concentration of the adsorbate within the solution.
The linear fit of the Van ’t Hoff equation obtained an R2 of 0.9859. The equation of the line obtained estimated an enthalpy value, Δ, of the adsorption process of −8.02 kJ mol−1. This result suggests that the process is exothermic and is disadvantaged with increasing temperature [57]. Hypothesis that supports the results obtained experimentally. In addition, the entropy value, Δ, obtained was −47.71 J mol−1 K−1, suggesting that the adsorption process promotes order at the solid–liquid interface, i.e., the organization of AR27 molecules at the specific BAPTES adsorption sites. Other works have reported that a negative value of Δ indicates no noticeable changes in entropy. Furthermore, the magnitude of Δ can be related to an associative or dissociative sorption process. Thus, a Δ value less than −10 J/mol K suggests that sorption follows an associative mechanism [46]. Likewise, the calculation of the Gibbs free energy, Δ, yielded a value of −22.24 kJ mol−1, indicating that the AR27 adsorption process is spontaneous and does not require additional energy input to promote the adsorption process [59].

3.6. Evaluation of BAPTES Microparticle-Enhanced Microfiltration for AR27 Removal

The evaluation of the enhanced microfiltration process with microparticles was carried out by quantifying the volume and concentration of AR27 in the collected permeate, obtaining Figure 7A. In this figure, filtration factor F was graphed, which describes the progress of the process in terms of the fusion of the permeate volume and the concentration measured in each fraction of collected permeate. In general, it was observed that at the beginning of the filtration process, values of F < 0.5, there was an increase in the concentration of the permeates as a consequence of possible concentration polarization phenomena during the filtration process [60]. Then, a decrease in the permeate concentration was observed as a result of the dilution process that occurred inside the cell due to the addition of solvent from the reservoir tank. In particular, the Blank experiment, in which the retention by the filtration equipment and the membrane was evaluated, a total elution time, texp, of 9.54 h was observed until no dye was detected in the permeate by UV-Vis, see Table 6. In contrast, experiments E1 to E5 in which BAPTES was incorporated into the system, presented shorter and more variable elution times, which are the effect of the retention of AR27 by the organoclay.
Subsequently, through the use of Equation (11), the concentration of AR27 in the cell was calculated and graphed as a function of F, obtaining Figure 7B. As can be seen, the Blank experiment at the end of the experiment presented the lowest Cc value, 2.06 mg L−1, Table 6, evidencing that both the filtration system and the membrane are not inert and can retain a small fraction of the dye. Thus, with the mass balance obtained, the area of the membrane used and assuming that the membrane is the only non-inert component, it was determined that the retention of AR27 by the system, Rsys, is 82.06 mg m−2. In contrast, experiments E1 to E5 showed variations in the final Cc measured, ranging from 16.31 mg L−1 for E4 to 35.69 mg L−1 for E3. This increase in the Cc value is directly related to the adsorption capacity of AR27 by BAPTES. Likewise, in particular, for E4 and E3, it was observed that these were the experiments with the shortest texp, 0.91 h, and the longest, 4.31 h, respectively. This behavior can be related to the residence time of the dye in the cell to interact with and be adsorbed by BAPTES. This hypothesis is reinforced by the results obtained from the study of equilibrium adsorption kinetics, session 3.3, in which a time of approximately 16 h was observed to reach the maximum adsorption value.
Finally, the retention of AR27 by BAPTES, RBaptes, was determined in each of the experiments performed, the values are graphed and summarized in Figure 8 and Table 6. The results showed that the membrane can retain up to 1.88% of the analyte, while the systems with BAPTES, RBaptes, reach values from 15.48 to 35.56% for experiments E3 and E4, respectively. When analyzing the values as a function of the mass of BAPTES used, RBaptes (mg g−1), a large variation was observed between the results of the experiments performed. Furthermore, the adsorption capacity obtained in continuous flow experiments was lower than that determined experimentally under equilibrium conditions of ~39.5 mg g−1. These results suggest that the residence time of the analyte and the adsorbent in the filtration cell is a determining factor in the retention values obtained. Likewise, it is important to constantly monitor the microfiltration membrane due to its fouling and generation of interference in the filtration process. Regarding the use of enhanced microparticle microfiltration, the development of a polyethylene oxide/bentonite/polyaniline composite membrane has been reported for the removal of methyl orange and methyl blue, achieving removal values of 94% and 96%, respectively [40]. Likewise, the use of synthetic meso- and nanoporous materials as adsorbent particulate materials has been reported to remove dyes such as methyl green and methyl orange, respectively [41,42]. Table 1 summarizes some works related to the use of hybrid separation systems.

3.7. Study of the Desorption Capacity of Dye

The study of the desorption capacity of AR27 was evaluated under different conditions of pH, ionic strength and polarity of the solvent, the results are shown in Table 7 and Figure 9. In general, it was observed that the increase in pH produced an increase in the ability to eliminate the AR27 adsorbed by BAPTES. Thus, a maximum desorption percentage of 31.6% was observed at pH 9 and a minimum of 15.3% at pH 5. According to Figure 9A, a 16.3% increase in desorption capacity was achieved by increasing the pH of the medium. It is important to note that the amino groups incorporated through the insertion of APTES on bentonite are sensitive to pH; therefore, an increase in the pH of the medium can promote the deprotonation of the amino groups and therefore the weakening of AR27-BAPTES interactions [61,62]. Likewise, the increase in the concentration of OH ions can promote competition with the sulfonate groups of the dye for adsorption sites.
On the other hand, the effect of the presence of NaCl in the desorption medium showed a slight increase in the amount of dye released. Thus, it was observed that the absence of salt, 0.0%, yielded a desorption percentage of 20.2%; however, in solutions with 0.5 and 1.0% NaCl contents, around ~26% desorption of AR27 was reached. When comparing the desorption results of the experiments with NaCl contents of 0.5 and 1.0%, no significant difference was observed between the values recorded. Likewise, when comparing the evaluation results according to pH and salt contents, it was observed that pH has a greater ability to weaken AR27-BAPTES interactions and allow their desorption. The presence of salt generated only a positive variation of 6.6 units in the desorption capacity in the presence of salt, Figure 9B. The effect of NaCl on BAPTES regeneration can be explained as an effect of charge shielding produced by the presence of Na+ and Cl ions, which weaken AR27-BAPTES interactions [63].
On the other hand, for the estimation of the effect of hydrophobic interactions in the AR27 adsorption process on BAPTES, the desorption capacity in the presence of an organic solvent was evaluated, the results are shown in Table 7. In general, it was observed that the desorption capacity of AR27 in the presence of ethanol was very low, 0.5%, in contrast to the effect of pH and presence of salts in aqueous media. This suggests that hydrophobic interactions are not the primary mechanism of adsorption between AR27-BAPTES, suggesting that electrostatic-type interactions predominate [2].

4. Conclusions

The modification of bentonite with APTES was successful, as confirmed by FTIR-ATR, FEDS, SEM-EDS, DLS and thermal analysis. The synthesized BAPTES organoclay demonstrated a significant increase in its AR27 adsorption capacity compared to natural bentonite, going from 2.10% to 86.06%, as a result of the presence of ionizable amino groups in the BAPTES structure that promote electrostatic interactions with the dye. Additionally, kinetic studies suggested that the adsorption process follows a pseudo-first-order model, reaching equilibrium after approximately 960 min of contact. Likewise, the equilibrium data were better suited to the Freundlich and Temkin models, indicating a heterogeneous adsorption surface with different binding energies. Thermodynamic analysis showed that adsorption is an exothermic and spontaneous process, favored at low temperatures with an associative mechanism. After, the evaluation of BAPTES Microparticle-Enhanced Microfiltration showed that the equipment and membrane used are not inert and can retain AR27. Likewise, it was observed that the adsorption capacity obtained in continuous flow experiments, 14.25–33.63 mg g−1, was lower than that determined experimentally under equilibrium conditions of ~39.5 mg g−1. These results suggest that the residence time of the analyte and the adsorbent in the filtration cell is a determining factor in the retention values obtained. Finally, desorption studies revealed that the basic pH favors the weakening of the AR27-BAPTES interaction. However, a less marked effect of the presence of salts in the desorption medium was observed, generating only a 6.6% increase in the desorption capacity. Furthermore, it was concluded that the use of ethanol as a desorption medium did not produce effective dye release, demonstrating that the predominant interactions between AR27 and BAPTES are electrostatic. Finally, the results suggest that enhanced microfiltration with BAPTES microparticles has potential for applications in the treatment of industrial effluents contaminated with anionic dyes such as AR27.

Author Contributions

Conceptualization, T.A.L., M.P., A.F.C., E.C. and H.V.; methodology, T.A.L., M.P., A.F.C., E.C. and H.V.; formal analysis, T.A.L., M.P., A.F.C., E.C. and H.V.; investigation, T.A.L., M.P., A.F.C., E.C. and H.V.; resources, A.F.C., T.A.L. and M.P.; writing—original draft preparation, T.A.L., M.P. and A.F.C.; writing—review and editing, T.A.L., M.P., A.F.C., E.C. and H.V.; project administration, T.A.L. and M.P. All authors have read and agreed to the published version of the manuscript.

Funding

Authors acknowledge to Dirección General de Investigaciones of Universidad Santiago de Cali for project no. DGI-01-2025 and DGI-06-2025; Mindtech S.A.S for project MT-AFICAT-202501; National Planning Department of Colombia, specifically, to the general royalty system (Sistema General de Regalías, SGR) for project BPIN 2020000100261.

Data Availability Statement

The original contributions presented in this study are included in the article. Further inquiries can be directed to the corresponding authors.

Acknowledgments

Authors acknowledge to Universidad Santiago de Cali (DGI-01-2025 and DGI-06-2025), Mindtech SAS (MT-AFICAT-202501), Universidad del Valle, Universidad de Córdoba, National Planning Department of Colombia and the general royalty system of Colombia (BPIN 2020000100261).

Conflicts of Interest

Author Tulio A. Lerma was employed by the company Mindtech SAS and Polymeiker SAS. The remaining authors declare that the research was conducted in the absence of any commercial or financial relationships that could be construed as a potential conflict of interest. The authors declare that this study received funding from Universidad Santiago de Cali, Mindtech and National Planning Department of Colombia. The funder was not involved in the study design, collection, analysis, interpretation of data, the writing of this article or the decision to submit it for publication.

References

  1. Ngo, A.C.R.; Tischler, D. Microbial Degradation of Azo Dyes: Approaches and Prospects for a Hazard-Free Conversion by Microorganisms. Int. J. Environ. Res. Public Health 2022, 19, 4740. [Google Scholar] [CrossRef]
  2. Khan, M.; Lo, I.M.C. Removal of Ionizable Aromatic Pollutants from Contaminated Water Using Nano γ-Fe2O3 Based Magnetic Cationic Hydrogel: Sorptive Performance, Magnetic Separation and Reusability. J. Hazard. Mater. 2017, 322, 195–204. [Google Scholar] [CrossRef]
  3. Özcan, A.S.; Özcan, A. Adsorption of Acid Dyes from Aqueous Solutions onto Acid-Activated Bentonite. J. Colloid Interface Sci. 2004, 276, 39–46. [Google Scholar] [CrossRef]
  4. Shi, M.; Zhang, K.; Zhuang, Q.; Zhang, C.; Lin, X.; Xie, A.; Dong, W. Sulfonated Tetraphenylethylene Polymers with Negative Charges for High-Capacity Removal of Organic Dyes from Waste Water. Colloids Surf. A Physicochem. Eng. Asp. 2022, 647, 128948. [Google Scholar] [CrossRef]
  5. Cesaratto, A.; Centeno, S.A.; Lombardi, J.R.; Shibayama, N.; Leona, M. A Complete Raman Study of Common Acid Red Dyes: Application to the Identification of Artistic Materials in Polychrome Prints. J. Raman Spectrosc. 2017, 48, 601–609. [Google Scholar] [CrossRef]
  6. Salem, A.N.M.; Ahmed, M.A.; El-Shahat, M.F. Selective Adsorption of Amaranth Dye on Fe3O4/MgO Nanoparticles. J. Mol. Liq. 2016, 219, 780–788. [Google Scholar] [CrossRef]
  7. Ahmad, R.; Kumar, R. Adsorption of Amaranth Dye onto Alumina Reinforced Polystyrene. CLEAN–Soil Air Water 2011, 39, 74–82. [Google Scholar] [CrossRef]
  8. Ramírez-Rodríguez, A.E.; Morales-Barrera, L.; Cristiani-Urbina, E. Continuous Biosorption of Acid Red 27 Azo Dye by Eichhornia Crassipes Leaves in a Packed-Bed Column. Sci. Rep. 2021, 11, 18413. [Google Scholar] [CrossRef] [PubMed]
  9. Khalil, A.; Aboamera, N.M.; Nasser, W.S.; Mahmoud, W.H.; Mohamed, G.G. Photodegradation of Organic Dyes by PAN/SiO2-TiO2-NH2 Nanofiber Membrane under Visible Light. Sep. Purif. Technol. 2019, 224, 509–514. [Google Scholar] [CrossRef]
  10. Adnan, L.A.; Hadibarata, T.; Sathishkumar, P.; Yusoff, A.R.M. Biodegradation Pathway of Acid Red 27 by White-Rot Fungus Armillaria Sp. F022 and Phytotoxicity Evaluation. CLEAN–Soil Air Water 2016, 44, 239–246. [Google Scholar] [CrossRef]
  11. Al-Zawahreh, K.; Barral, M.T.; Al-Degs, Y.; Paradelo, R. Competitive Removal of Textile Dyes from Solution by Pine Bark-Compost in Batch and Fixed Bed Column Experiments. Environ. Technol. Innov. 2022, 27, 102421. [Google Scholar] [CrossRef]
  12. Chamorro, A.F.; Lerma, T.A.; Palencia, M. CTAB Surfactant Promotes Rapid, Efficient, and Simultaneous Removal of Cationic and Anionic Dyes through Adsorption on Glycerol/Citrate Polyester. Water 2024, 16, 1860. [Google Scholar] [CrossRef]
  13. Palencia, M.; Martínez, J.M.; Arrieta, Á. Removal of Acid Blue 129 Dye by Polymer-Enhanced Ultrafiltration (PEUF). J. Sci. Technol. Appl. 2017, 2, 65–74. [Google Scholar] [CrossRef]
  14. Obiora-Okafo, I.A.; Onukwuli, O.D.; Igwegbe, C.A.; Onu, C.E.; Omotioma, M. Enhanced Performance of Natural Polymer Coagulants for Dye Removal from Wastewater: Coagulation Kinetics, and Mathematical Modelling Approach. Environ. Process. 2022, 9, 20. [Google Scholar] [CrossRef]
  15. Saeed, M.; Muneer, M.; Haq, A.U.; Akram, N. Photocatalysis: An Effective Tool for Photodegradation of Dyes—A Review. Environ. Sci. Pollut. Res. 2021, 29, 293–311. [Google Scholar] [CrossRef]
  16. Katheresan, V.; Kansedo, J.; Lau, S.Y. Efficiency of Various Recent Wastewater Dye Removal Methods: A Review. J. Environ. Chem. Eng. 2018, 6, 4676–4697. [Google Scholar] [CrossRef]
  17. Naeem, H.T.; Hassan, A.A.; Al-Khateeb, R.; Naeem, H.T.; Al-Khateeb, R.T. Wastewater-(Direct Red Dye) Treatment-Using Solar Fenton Process. J. Pharm. Sci. Res. 2018, 10, 2309–2313. [Google Scholar]
  18. Benjelloun, M.; Miyah, Y.; Evrendilek, G.A.; Zerrouq, F.; Lairini, S. Recent Advances in Adsorption Kinetic Models: Their Application to Dye Types. Arab. J. Chem. 2021, 14, 103031. [Google Scholar] [CrossRef]
  19. Heybet, E.N.; Ugraskan, V.; Isik, B.; Yazici, O. Adsorption of Methylene Blue Dye on Sodium Alginate/Polypyrrole Nanotube Composites. Int. J. Biol. Macromol. 2021, 193, 88–99. [Google Scholar] [CrossRef] [PubMed]
  20. Huang, P.; Xia, D.; Kazlauciunas, A.; Thornton, P.; Lin, L.; Menzel, R. Dye-Mediated Interactions in Chitosan-Based Polyelectrolyte/Organoclay Hybrids for Enhanced Adsorption of Industrial Dyes. ACS Appl. Mater. Interfaces 2019, 11, 11961–11969. [Google Scholar] [CrossRef] [PubMed]
  21. Mandal, S.; Calderon, J.; Marpu, S.B.; Omary, M.A.; Shi, S.Q. Mesoporous Activated Carbon as a Green Adsorbent for the Removal of Heavy Metals and Congo Red: Characterization, Adsorption Kinetics, and Isotherm Studies. J. Contam. Hydrol. 2021, 243, 103869. [Google Scholar] [CrossRef]
  22. Paradelo, R.; Al-Zawahreh, K.; Barral, M.T. Utilization of Composts for Adsorption of Methylene Blue from Aqueous Solutions: Kinetics and Equilibrium Studies. Materials 2020, 13, 2179. [Google Scholar] [CrossRef] [PubMed]
  23. Kafle, S.R.; Adhikari, S.; Shrestha, R.; Ban, S.; Khatiwada, G.; Gaire, P.; Tuladhar, N.; Jiang, G.; Tiwari, A. Advancement of Membrane Separation Technology for Organic Pollutant Removal. Water Sci. Technol. 2024, 89, 2290–2310. [Google Scholar] [CrossRef]
  24. Loganathan, P.; Kandasamy, J.; Ratnaweera, H.; Vigneswaran, S. Submerged Membrane/Adsorption Hybrid Process in Water Reclamation and Concentrate Management—A Mini Review. Environ. Sci. Pollut. Res. 2023, 30, 42738–42752. [Google Scholar] [CrossRef]
  25. Palencia, M. Liquid-Phase Polymer-Based Retention: Theory, Modeling, and Application for the Removal of Pollutant Inorganic Ions. J. Chem. 2015, 2015, 965624. [Google Scholar] [CrossRef]
  26. López-Rodríguez, D.; Micó-Vicent, B.; Jordán-Núñez, J.; Bonet-Aracil, M.; Bou-Belda, E. Uses of Nanoclays and Adsorbents for Dye Recovery: A Textile Industry Review. Appl. Sci. 2021, 11, 11422. [Google Scholar] [CrossRef]
  27. Alexander, J.A.; Zaini, M.A.A.; Surajudeen, A.; Aliyu, E.N.U.; Omeiza, A.U. Surface Modification of Low-Cost Bentonite Adsorbents—A Review. Part. Sci. Technol. 2019, 37, 538–549. [Google Scholar] [CrossRef]
  28. Huang, Z.; Li, Y.; Chen, W.; Shi, J.; Zhang, N.; Wang, X.; Li, Z.; Gao, L.; Zhang, Y. Modified Bentonite Adsorption of Organic Pollutants of Dye Wastewater. Mater. Chem. Phys. 2017, 202, 266–276. [Google Scholar] [CrossRef]
  29. Song, R.; Li, Z.; Li, W.; An, Y.; Li, M.; Qin, H.; Liu, C. Improved Adsorption and Desorption Behavior of Cd on Thiol-Modified Bentonite Grafted with Cysteamine Hydrochloride. Res. Chem. Intermed. 2022, 48, 2721–2744. [Google Scholar] [CrossRef]
  30. Farghali, R.A.; Basiony, M.S.; Gaber, S.E.; Ibrahim, H.; Elshehy, E.A. Adsorption of Organochlorine Pesticides on Modified Porous Al30/Bentonite: Kinetic and Thermodynamic Studies. Arab. J. Chem. 2020, 13, 6730–6740. [Google Scholar] [CrossRef]
  31. Derakhshani, E.; Naghizadeh, A. Optimization of Humic Acid Removal by Adsorption onto Bentonite and Montmorillonite Nanoparticles. J. Mol. Liq. 2018, 259, 76–81. [Google Scholar] [CrossRef]
  32. Hank, D.; Azi, Z.; Hocine, S.A.; Chaalal, O.; Hellal, A. Optimization of Phenol Adsorption onto Bentonite by Factorial Design Methodology. J. Ind. Eng. Chem. 2014, 20, 2256–2263. [Google Scholar] [CrossRef]
  33. Haounati, R.; Ouachtak, H.; El Haouti, R.; Akhouairi, S.; Largo, F.; Akbal, F.; Benlhachemi, A.; Jada, A.; Addi, A.A. Elaboration and Properties of a New SDS/CTAB@Montmorillonite Organoclay Composite as a Superb Adsorbent for the Removal of Malachite Green from Aqueous Solutions. Sep. Purif. Technol. 2021, 255, 117335. [Google Scholar] [CrossRef]
  34. Belhadri, M.; Mokhtar, A.; Bengueddach, A.; Sassi, M. Efficient Adsorbent Based on Bentonite Functionalized with 3-Aminopropyltriethoxysilane for Dyes Removal from Aqueous Solutions. Eurasian Chem. Commun. 2021, 3, 881–892. [Google Scholar] [CrossRef]
  35. Lerma, T.A.; Chate-Galvis, N.; Palencia, M. Study of the Sorption Capacity of Dyes by Organo-Clays Based on Bentonite and Organosilanes. J. Sci. Technol. Appl. 2022, 12, 1–7. [Google Scholar] [CrossRef]
  36. Guo, W.; Umar, A.; Du, Y.; Wang, L.; Pei, M. Surface Modification of Bentonite with Polymer Brushes and Its Application as an Efficient Adsorbent for the Removal of Hazardous Dye Orange I. Nanomaterials 2020, 10, 1112. [Google Scholar] [CrossRef]
  37. Fernandes, J.V.; Rodrigues, A.M.; Menezes, R.R.; Neves, G.d.A. Adsorption of Anionic Dye on the Acid-Functionalized Bentonite. Materials 2020, 13, 3600. [Google Scholar] [CrossRef] [PubMed]
  38. Thue, P.S.; Sophia, A.C.; Lima, E.C.; Wamba, A.G.N.; de Alencar, W.S.; dos Reis, G.S.; Rodembusch, F.S.; Dias, S.L.P. Synthesis and Characterization of a Novel Organic-Inorganic Hybrid Clay Adsorbent for the Removal of Acid Red 1 and Acid Green 25 from Aqueous Solutions. J. Clean. Prod. 2018, 171, 30–44. [Google Scholar] [CrossRef]
  39. Wamba, A.G.N.; Lima, E.C.; Ndi, S.K.; Thue, P.S.; Kayem, J.G.; Rodembusch, F.S.; dos Reis, G.S.; de Alencar, W.S. Synthesis of Grafted Natural Pozzolan with 3-Aminopropyltriethoxysilane: Preparation, Characterization, and Application for Removal of Brilliant Green 1 and Reactive Black 5 from Aqueous Solutions. Environ. Sci. Pollut. Res. 2017, 24, 21807–21820. [Google Scholar] [CrossRef] [PubMed]
  40. Ali, H.; Mansor, E.S.; Taha, G.M. Microfiltration and Adsorptive Membranes for Simultaneous Removal of Methyl Orange and Methylene Blue Using Hybrid Composites. Polym. Bull. 2022, 79, 7891–7908. [Google Scholar] [CrossRef]
  41. Alardhi, S.M.; Albayati, T.M.; Alrubaye, J.M. A Hybrid Adsorption Membrane Process for Removal of Dye from Synthetic and Actual Wastewater. Chem. Eng. Process. Process Intensif. 2020, 157, 108113. [Google Scholar] [CrossRef]
  42. Albayati, T.M. Application of Nanoporous Material MCM-41 in a Membrane Adsorption Reactor (MAR) as a Hybrid Process for Removal of Methyl Orange. Desalination Water Treat. 2019, 151, 138–144. [Google Scholar] [CrossRef]
  43. Januário, E.F.D.; Vidovix, T.B.; Bergamasco, R.; Vieira, A.M.S. Performance of a Hybrid Coagulation/Flocculation Process Followed by Modified Microfiltration Membranes for the Removal of Solophenyl Blue Dye. Chem. Eng. Process. Process Intensif. 2021, 168, 108577. [Google Scholar] [CrossRef]
  44. Lerma, T.A.; Paradelo, R.; Palencia, M. New Substrate for Plant Growth Based on Granite Powder and Biodegradable Geomimetic Composites Obtained from Bentonite-Poly(Glycerol Citrate). Mater. Today Commun. 2024, 41, 110226. [Google Scholar] [CrossRef]
  45. Palencia, M. Functional Transformation of Fourier-Transform Mid-Infrared Spectrum for Improving Spectral Specificity by Simple Algorithm Based on Wavelet-like Functions. J. Adv. Res. 2018, 14, 53–62. [Google Scholar] [CrossRef] [PubMed]
  46. Ibrahim, N.H.; Al-Jubouri, S.M. Facile Preparation of Dual Functions Zeolite-Carbon Composite for Zinc Ion Removal from Aqueous Solutions. Asia-Pac. J. Chem. Eng. 2024, 19, e2967. [Google Scholar] [CrossRef]
  47. Khairuddin, K.; Ridhawansa, M.A.; Ruslan, R.; Sardi, B. Efficient Activation of Bentonite Clay for Cyanide Adsorption Using Sulfuric Acid and Sodium Ion Intercalation. Clean. Waste Syst. 2025, 10, 100225. [Google Scholar] [CrossRef]
  48. Ding, J.; Huang, D.; Wang, W.; Wang, Q.; Wang, A. Effect of Removing Coloring Metal Ions from the Natural Brick-Red Palygorskite on Properties of Alginate/Palygorskite Nanocomposite Film. Int. J. Biol. Macromol. 2019, 122, 684–694. [Google Scholar] [CrossRef]
  49. Qi, J.; Yu, J.; Shah, K.J.; Shah, D.D.; You, Z. Applicability of Clay/Organic Clay to Environmental Pollutants: Green Way—An Overview. Appl. Sci. 2023, 13, 9395. [Google Scholar] [CrossRef]
  50. Nuruzzaman, M.; Liu, Y.; Ren, J.; Rahman, M.M.; Zhang, H.; Hasan Johir, M.A.; Shon, H.K.; Naidu, R. Capability of Organically Modified Montmorillonite Nanoclay as a Carrier for Imidacloprid Delivery. ACS Agric. Sci. Technol. 2022, 2, 57–68. [Google Scholar] [CrossRef]
  51. Kgabi, D.P.; Ambushe, A.A. Characterization of South African Bentonite and Kaolin Clays. Sustainability 2023, 15, 12679. [Google Scholar] [CrossRef]
  52. Pisareva, A.S.; Tikhomirova, T.I. Sorption of Synthetic Anionic Amaranth Dye from an Aqueous Solution on Hydrophobized Silica and Alumina. Russ. J. Phys. Chem. A 2019, 93, 534–537. [Google Scholar] [CrossRef]
  53. Simonin, J.P. On the Comparison of Pseudo-First Order and Pseudo-Second Order Rate Laws in the Modeling of Adsorption Kinetics. Chem. Eng. J. 2016, 300, 254–263. [Google Scholar] [CrossRef]
  54. Wang, J.; Guo, X. Adsorption Kinetic Models: Physical Meanings, Applications, and Solving Methods. J. Hazard. Mater. 2020, 390, 122156. [Google Scholar] [CrossRef] [PubMed]
  55. Al-Ghouti, M.A.; Da’ana, D.A. Guidelines for the Use and Interpretation of Adsorption Isotherm Models: A Review. J. Hazard. Mater. 2020, 393, 122383. [Google Scholar] [CrossRef] [PubMed]
  56. Ayawei, N.; Ebelegi, A.N.; Wankasi, D. Modelling and Interpretation of Adsorption Isotherms. J. Chem. 2017, 2017, 3039817. [Google Scholar] [CrossRef]
  57. Piccin, J.S.; Cadaval, T.R.S.A.; De Pinto, L.A.A.; Dotto, G.L. Adsorption Isotherms in Liquid Phase: Experimental, Modeling, and Interpretations. In Adsorption Processes for Water Treatment and Purification; Bonilla-Petriciolet, A., Mendoza-Castillo, D., Reynel-Ávila, H., Eds.; Springer: Cham, Switzerland, 2017; pp. 19–51. [Google Scholar] [CrossRef]
  58. Dobe, N.; Abia, D.; Tcheka, C.; Tejeogue, J.P.N.; Harouna, M. Removal of Amaranth Dye by Modified Ngassa Clay: Linear and Non-Linear Equilibrium, Kinetics and Statistical Study. Chem. Phys. Lett. 2022, 801, 139707. [Google Scholar] [CrossRef]
  59. Lima, E.C.; Gomes, A.A.; Tran, H.N. Comparison of the Nonlinear and Linear Forms of the van’t Hoff Equation for Calculation of Adsorption Thermodynamic Parameters (∆S° and ∆H°). J. Mol. Liq. 2020, 311, 113315. [Google Scholar] [CrossRef]
  60. Apel, P.Y.; Biesheuvel, P.M.; Bobreshova, O.V.; Borisov, I.L.; Vasil’eva, V.I.; Volkov, V.V.; Grushevenko, E.A.; Nikonenko, V.V.; Parshina, A.V.; Pismenskaya, N.D.; et al. Concentration Polarization in Membrane Systems. Membr. Membr. Technol. 2024, 6, 133–161. [Google Scholar] [CrossRef]
  61. Etienne, M.; Walcarius, A. Analytical Investigation of the Chemical Reactivity and Stability of Aminopropyl-Grafted Silica in Aqueous Medium. Talanta 2003, 59, 1173–1188. [Google Scholar] [CrossRef]
  62. Bondarenko, L.; Illés, E.; Tombácz, E.; Dzhardimalieva, G.; Golubeva, N.; Tushavina, O.; Adachi, Y.; Kydralieva, K. Fabrication, Microstructure and Colloidal Stability of Humic Acids Loaded Fe3O4/APTES Nanosorbents for Environmental Applications. Nanomaterials 2021, 11, 1418. [Google Scholar] [CrossRef] [PubMed]
  63. Ip, A.W.M.; Barford, J.P.; McKay, G. Reactive Black Dye Adsorption/Desorption onto Different Adsorbents: Effect of Salt, Surface Chemistry, Pore Size and Surface Area. J. Colloid Interface Sci. 2009, 337, 32–38. [Google Scholar] [CrossRef] [PubMed]
Figure 1. Chemical structure of (A) AR27 and (B) APTES. (C) Microparticle-enhanced microfiltration system.
Figure 1. Chemical structure of (A) AR27 and (B) APTES. (C) Microparticle-enhanced microfiltration system.
Water 17 02817 g001
Figure 2. (A) IR-ATR spectra of bentonite (dashed line) and BAPTES (continuous line); FEDS spectra of (B) bentonite and (C) BAPTES.
Figure 2. (A) IR-ATR spectra of bentonite (dashed line) and BAPTES (continuous line); FEDS spectra of (B) bentonite and (C) BAPTES.
Water 17 02817 g002
Figure 3. Digital images, SEM images and EDS analysis of (A) bentonite and (B) modified bentonite BAPTES.
Figure 3. Digital images, SEM images and EDS analysis of (A) bentonite and (B) modified bentonite BAPTES.
Water 17 02817 g003
Figure 4. Thermal analysis of bentonite (A) and BAPTES (B). TGA results (solid line) and derivative thermogravimetric curve (dashed line, mass/temperature derivation).
Figure 4. Thermal analysis of bentonite (A) and BAPTES (B). TGA results (solid line) and derivative thermogravimetric curve (dashed line, mass/temperature derivation).
Water 17 02817 g004
Figure 5. (A) AR27 adsorption kinetics by BAPTES and pseudo-first and pseudo-second order kinetic adjustments. (B) Adsorption of AR27 by BAPTES in equilibrium and adjustments to the Langmuir’s, Freundlich and Temkin models.
Figure 5. (A) AR27 adsorption kinetics by BAPTES and pseudo-first and pseudo-second order kinetic adjustments. (B) Adsorption of AR27 by BAPTES in equilibrium and adjustments to the Langmuir’s, Freundlich and Temkin models.
Water 17 02817 g005
Figure 6. Determination of the thermodynamic parameters of the AR27 adsorption process by BAPTES using the Van ’t Hoff model.
Figure 6. Determination of the thermodynamic parameters of the AR27 adsorption process by BAPTES using the Van ’t Hoff model.
Water 17 02817 g006
Figure 7. (A) AR27 concentration in the permeate, Cp, and (B) AR27 concentration in the cell, Cc, as a function of filtration factor, F, at pH 6.5.
Figure 7. (A) AR27 concentration in the permeate, Cp, and (B) AR27 concentration in the cell, Cc, as a function of filtration factor, F, at pH 6.5.
Water 17 02817 g007
Figure 8. Retention, R, of AR27 by the system as a function F at pH 6.5.
Figure 8. Retention, R, of AR27 by the system as a function F at pH 6.5.
Water 17 02817 g008
Figure 9. AR27 desorption capacity and regeneration of BAPTES as a function of (A) pH and (B) ionic strength.
Figure 9. AR27 desorption capacity and regeneration of BAPTES as a function of (A) pH and (B) ionic strength.
Water 17 02817 g009
Table 1. Summary of dye removal methods using functionalized bentonite and microfiltration systems.
Table 1. Summary of dye removal methods using functionalized bentonite and microfiltration systems.
Separation Method AdsorbentAnalyteAdsorption CapacityRef.
AdsorptionBentonite functionalized with APTES *Methylene blue217.4 mg g−1[34]
AdsorptionBentonite functionalized with APTESBasic violet 10
Direct blue 1
Acid red 27
5.6 mg g−1
10.1 mg g−1
9.7 mg g−1
[35]
AdsorptionBentonite grafted with poly(2-(dimethylamino)ethyl methacrylate) Orange 1700 mg g−1[36]
AdsorptionBentonite functionalized with acids (HCl and H2SO4)Methyl orange67.4 mg g−1 (HCl)
47.8 mg g−1 (H2SO4)
[37]
AdsorptionMontmorillonite functionalized with APTESAcid red 1
Acid green 25
364.1 mg g−1
397.0 mg g−1
[38]
AdsorptionPozzolan functionalized with APTESBrilliant green 1
Reactive black 5
350.6 mg g−1
300.9 mg g−1
[39]
Adsorption—microfiltrationPolyethylene oxide/bentonite/polyaniline composite membraneMethyl orange
Methylene blue
94%
96%
[40]
Adsorption—microfiltrationSynthesized mesoporous materialMethyl green97%[41]
Adsorption—microfiltrationSynthesized nanoporous materialMethyl Orange151.5 mg g−1[42]
Coagulation/flocculation—microfiltrationPotato starchSolophenyl blue100%[43]
Note: * APTES: (3-aminopropyl)triethoxysilane.
Table 2. Particle size, zeta potential, and elemental composition of BAPTES and bentonite.
Table 2. Particle size, zeta potential, and elemental composition of BAPTES and bentonite.
SampleParticle SizeZeta PotentialElemental Composition (%)
(nm)(mV)OSiAlFeNC
BAPTES1625 ± 1373.5 ± 1.041.6724.02---6.828.224.11
Bentonite268 ± 16−16.6 ± 2.250.8224.0722.3722.16------
Note: --- Unidentified chemical element.
Table 3. Retention of AR27 dye by BAPTES and bentonite.
Table 3. Retention of AR27 dye by BAPTES and bentonite.
SampleDye Retention (%)Dye Retention (mg/g)
AR27
BAPTES86.06 ± 0.1235.52 ± 0.05
Bentonite2.10 ± 0.120.81 ± 0.14
Table 4. Kinetic parameters for pseudo-first and pseudo-second order models for AR27 adsorption rates by BAPTES Qe (exp): experimental adsorption value at equilibrium (mg g−1); Qe (model): equilibrium adsorption value predicted from the model (mg g−1); k1: pseudo-first-order model constant (h−1); k2: constant of the pseudo-second-order model (g mg−1 h−1); R2: correlation coefficient between the experimental value and the modeled data.
Table 4. Kinetic parameters for pseudo-first and pseudo-second order models for AR27 adsorption rates by BAPTES Qe (exp): experimental adsorption value at equilibrium (mg g−1); Qe (model): equilibrium adsorption value predicted from the model (mg g−1); k1: pseudo-first-order model constant (h−1); k2: constant of the pseudo-second-order model (g mg−1 h−1); R2: correlation coefficient between the experimental value and the modeled data.
Qe (exp) (mg g−1)Pseudo-First Order ModelPseudo-Second Order Model
k1 (h−1)Qe (mg g−1)R2k2 (g mg−1 h−1)Qe (mg g−1)R2
39.5 ± 1.10.178 ± 0.032 **40.38 ± 2.21 ***0.9753.95 × 10−3 ± 1.82 × 10−347.80 ± 5.20 ***0.935
Note: ’ Significant at a p-value of 0.1, ** Significant at a p-value of 0.01, *** Significant at a p-value of 0.001.
Table 5. Parameters of AR27 adsorption isotherms by BAPTES. QL (mg g−1): maximum Langmuir adsorption capacity; KL (L mg−1): Langmuir’s constant; KF (Ln mg1-n g−1): Freundlich’s constant; n (dimensionless): Freundlich’s coefficient; KT (L mg−1): Temkin’s equilibrium junction constant and f (J mol−1): Temkin’s isotherm constant.
Table 5. Parameters of AR27 adsorption isotherms by BAPTES. QL (mg g−1): maximum Langmuir adsorption capacity; KL (L mg−1): Langmuir’s constant; KF (Ln mg1-n g−1): Freundlich’s constant; n (dimensionless): Freundlich’s coefficient; KT (L mg−1): Temkin’s equilibrium junction constant and f (J mol−1): Temkin’s isotherm constant.
Langmuir model
QL (mg g−1)KL (L mg−1)R2
64.81 ± 4.24 ***0.055 ± 0.021’0.913
Freundlich model
kF (Ln mg1-n g−1)nR2
17.58 ± 1.28 ***0.204 ± 0.012 ***0.989
Temkin model
KT (L mg−1)f (J mol−1)R2
2.42 ± 0.54 **280.04 ± 10.79 ***0.993
Note: ’ Significant at a p-value of 0.1, ** Significant at a p-value of 0.01, *** Significant at a p-value of 0.001.
Table 6. Parameters of the AR27 retention process by Microparticle-Enhanced Microfiltration.
Table 6. Parameters of the AR27 retention process by Microparticle-Enhanced Microfiltration.
VariableBlankE1E2E3E4E5
Ci (mg L−1)109.899.197.3100.4105.498.8
mBAPTES (g)---0.05010.05020.05010.05010.0503
Rsys (mg m−2)82.0682.0682.0682.0682.0682.06
RBAPTES (mg g−1)0.026.7018.1433.6314.2515.07
RBAPTES (%)1.8829.0320.7735.5615.4817.33
Cc (mg L−1)2.0628.7620.2135.6916.3117.12
texp (h)9.542.172.194.310.911.04
Table 7. AR27 desorption capacity and BAPTES regeneration as a function of pH, ionic strength and polarity. QD (mg g−1) and desorption percentage (%).
Table 7. AR27 desorption capacity and BAPTES regeneration as a function of pH, ionic strength and polarity. QD (mg g−1) and desorption percentage (%).
VariableValueQD (mg g−1)%
pH53.05 ± 0.3815.3 ± 1.9
74.42 ± 1.0722.2 ± 5.3
96.28 ± 0.3831.6 ± 1.8
Ionic strength
(% NaCl)
0.04.02 ± 0.7620.2 ± 3.82
0.55.24 ± 0.3826.3 ± 2.1
1.05.34 ± 0.2026.8 ± 1.0
Ethanol---0.10 ± 0.03 0.5 ± 0.2
Disclaimer/Publisher’s Note: The statements, opinions and data contained in all publications are solely those of the individual author(s) and contributor(s) and not of MDPI and/or the editor(s). MDPI and/or the editor(s) disclaim responsibility for any injury to people or property resulting from any ideas, methods, instructions or products referred to in the content.

Share and Cite

MDPI and ACS Style

Lerma, T.A.; Chamorro, A.F.; Palencia, M.; Combatt, E.; Valle, H. Organoclay Microparticle-Enhanced Microfiltration for the Removal of Acid Red 27 in Aqueous Systems. Water 2025, 17, 2817. https://doi.org/10.3390/w17192817

AMA Style

Lerma TA, Chamorro AF, Palencia M, Combatt E, Valle H. Organoclay Microparticle-Enhanced Microfiltration for the Removal of Acid Red 27 in Aqueous Systems. Water. 2025; 17(19):2817. https://doi.org/10.3390/w17192817

Chicago/Turabian Style

Lerma, Tulio A., Andrés Felipe Chamorro, Manuel Palencia, Enrique Combatt, and Hernán Valle. 2025. "Organoclay Microparticle-Enhanced Microfiltration for the Removal of Acid Red 27 in Aqueous Systems" Water 17, no. 19: 2817. https://doi.org/10.3390/w17192817

APA Style

Lerma, T. A., Chamorro, A. F., Palencia, M., Combatt, E., & Valle, H. (2025). Organoclay Microparticle-Enhanced Microfiltration for the Removal of Acid Red 27 in Aqueous Systems. Water, 17(19), 2817. https://doi.org/10.3390/w17192817

Note that from the first issue of 2016, this journal uses article numbers instead of page numbers. See further details here.

Article Metrics

Back to TopTop