Retrieval and Analysis of Sea Surface Salinity in Coastal Waters Using Satellite Data Based on IGWO–BPNN: A Case Study of Qinzhou Bay, Guangxi, China
Abstract
1. Introduction
2. Materials and Methods
2.1. Study Area
2.2. In Situ Data
2.3. Satellite Remote Sensing Data
2.4. Data Preprocessing
2.4.1. Points Quality Control
2.4.2. Image Preprocessing
2.4.3. Water Information Extraction
2.5. Model Description and Approach
2.5.1. Back Propagation Neural Network
2.5.2. Optimization Algorithms
- Improved Grey Wolf Optimization
- 2.
- Particle Swarm Optimization
- 3.
- Whale Shark Optimization
2.5.3. Model Performance
3. Results
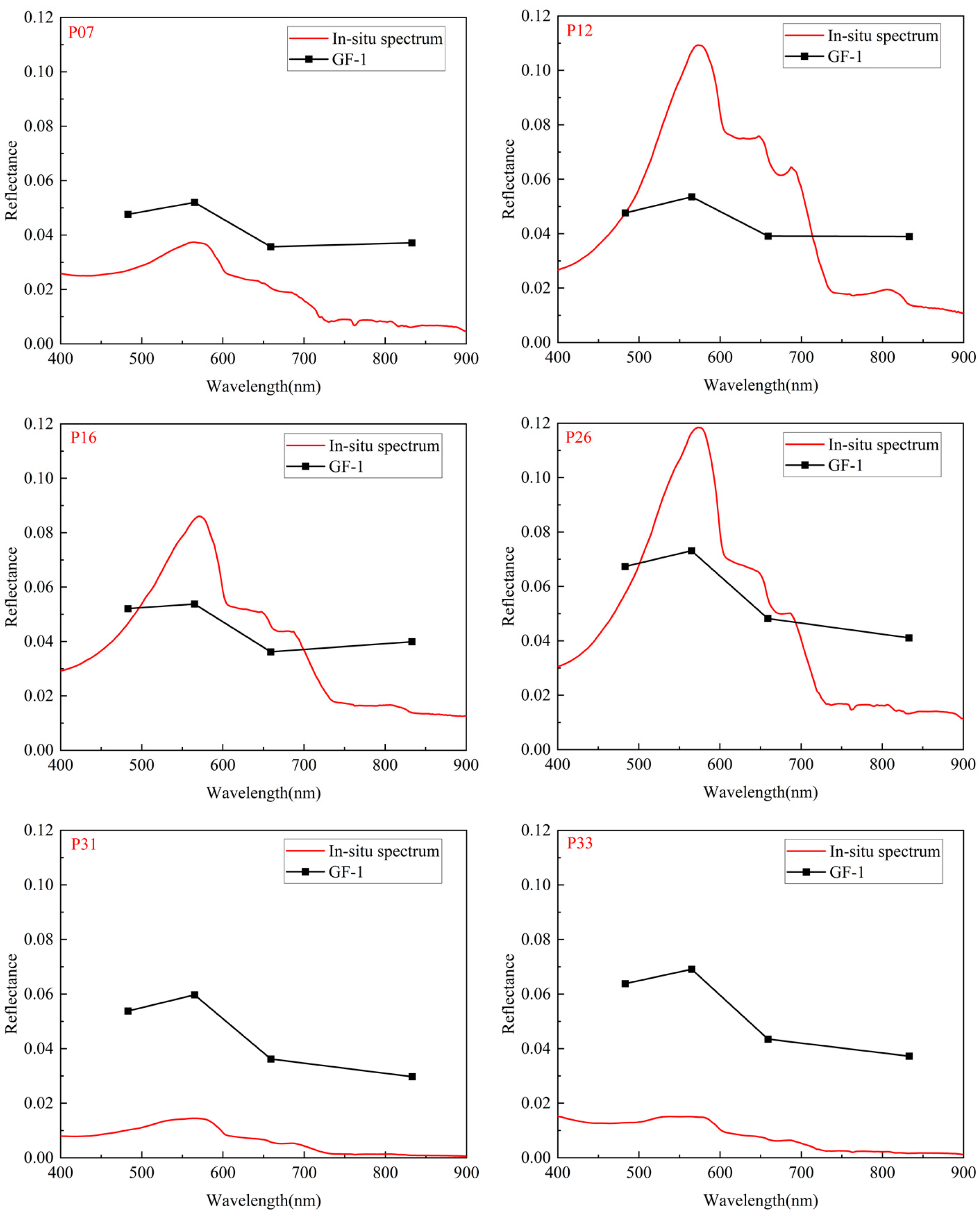
3.1. Image Preprocessing Validation
3.2. Feature Selection for Data Input
3.2.1. Single-Band Analysis
3.2.2. Spectral Index Analysis
3.3. Comparision of Models’ Performances Metrics
4. Discussion
4.1. Model Generalization Capability Validation
4.1.1. Temporal Validation
4.1.2. Spatial Validation
4.2. Model Performances and Limitations
4.3. Details of Change in SSS Concentration
4.3.1. Spatial Distribution
- Inner Bay Salinity Variations
- 2.
- Bay Neck and Outer Bay Interactions
4.3.2. Temporal Distribution
- Seasonal Variation
- 2.
- Monthly Variation
5. Conclusions
Author Contributions
Funding
Data Availability Statement
Conflicts of Interest
Appendix A
| Monitoring Date | Image Date | Image Quality | 
|---|---|---|
| 20 November 2023 and 21 November 2023 | 20 November 2023 11:23 | No cloud | 
| 30 May 2023 | 31 May 2023 10:59 | Less than 10% cloud | 
| 4 November 2021 | 7 November 2021 10:56 | Less than 10% cloud | 
| 26 June 2021 | / | / | 
| 7 January 2016 | 2 January 2016 11:49 | Less than 10% cloud | 
| 20 December 2015 | 17 December 2015 11:58 | Less than 10% cloud | 
| 30 November 2015 | 23 November 2015 12:11 | Less than 20% cloud | 
| 20 November 2015 | 22 November 2015 11:48 | Less than 30% cloud | 
| 21 October 2015 | 20 October 2015 11:42 | No cloud | 
| 29 September 2015 | 30 September 2015 11:54 | Less than 10% cloud | 
| Parameter | Value | 
|---|---|
| Hidden layer function | tansig | 
| Output layer function | purelin | 
| Learning function | trainlm | 
| Loss function | mse | 
| Training goal | 1 × 10−6 | 
| Training epochs | 1000 | 
| Learning rate | 0.01 | 
| Neurons in hidden layer | 10 | 
References
- Purba, N.P.; Pranowo, W.S.; Ndah, A.B.; Nanlohy, P. Seasonal variability of temperature, salinity, and surface currents at 0° latitude section of indonesia seas. Reg. Stud. Mar. Sci. 2021, 44, 101772. [Google Scholar] [CrossRef]
- Scott-Buechler, C.M.; Greene, C.H. Role of the ocean in climate stabilization. In Bioenergy with Carbon Capture and Storage; Academic Press: Cambridge, MA, USA, 2019; pp. 109–130. [Google Scholar] [CrossRef]
- Nyadjro, E.S.; Foli, B.A.K.; Agyekum, K.A.; Wiafe, G.; Tsei, S. Seasonal variability of sea surface salinity in the nw gulf of guinea from smap satellite. Remote Sens. Earth Syst. Sci. 2022, 5, 83–94. [Google Scholar] [CrossRef]
- Bhaskar, T.V.S.U.; Jayaram, C. Evaluation of aquarius sea surface salinity with argo sea surface salinity in the tropical indian ocean. IEEE Geosci. Remote Sens. Lett. 2015, 12, 1292–1296. [Google Scholar] [CrossRef]
- Saito, M.A.; Alexander, H.; Benway, H.M.; Boyd, P.W.; Gledhill, M.; Kujawinski, E.B.; Levine, N.M.; Maheigan, M.; Marchetti, A.; Obernosterer, I.; et al. The dawn of the biogeoscapes program: Ocean metabolism and nutrient cycles on a changing planet. Oceanography 2024, 37, 162–166. [Google Scholar] [CrossRef]
- Dunne, J.P.; Sarmiento, J.L.; Gnanadesikan, A. A synthesis of global particle export from the surface ocean and cycling through the ocean interior and on the seafloor. Glob. Biogeochem. Cycles 2007, 21, 4006. [Google Scholar] [CrossRef]
- Chang, L.; Gengyuan, L.; Marco, C.; Ningyu, Y.; Linyu, X.; Yan, H.; Paolo, F.P.; Zhifeng, Y. Current status and potential assessment of china’s ocean carbon sinks. Environ. Sci. Technol. 2022, 56, 6584–6595. [Google Scholar] [CrossRef]
- Williams, R.G.; Meijers, A.J.S.; Roussenov, V.M.; Katavouta, A.; Ceppi, P.; Rosser, J.P.; Salvi, P. Asymmetries in the southern ocean contribution to global heat and carbon uptake. Nat. Clim. Change 2024, 14, 823–831. [Google Scholar] [CrossRef]
- Li, Z.; England, M.H.; Groeskamp, S. Recent acceleration in global ocean heat accumulation by mode and intermediate waters. Nat. Commun. 2023, 14, 6888. [Google Scholar] [CrossRef]
- Wan, D. Distribution Characteristics of the Seasurface Salinity of the South China Sea; Ocean University of China (OUC): Qingdao, China, 2015. [Google Scholar]
- Cheng, L.; Trenberth, K.E.; Gruber, N.; Abraham, J.P.; Zhu, J. Improved estimates of changes in upper ocean salinity and the hydrological cycle. J. Clim. 2020, 33, 10357–10381. [Google Scholar] [CrossRef]
- Xu, H.; Yu, H.; Ge, J.; Liu, J.; Guan, H. Study on the variation characteristics and mechanism of sea surface salinity in south China sea. Period. Ocean Univ. China 2024, 54, 1–11. [Google Scholar] [CrossRef]
- Dossa, A.N.; Alory, G.; Da Silva, A.C.; Dahunsi, A.M.; Bertrand, A. Global analysis of coastal gradients of sea surface salinity. Remote Sens. 2021, 13, 2507. [Google Scholar] [CrossRef]
- Yan, D.U.; Zhang, Y.; Shi, J. Relationship between sea surface salinity and ocean circulation and climate change. Sci. China Earth Sci. 2019, 62, 771–782. [Google Scholar] [CrossRef]
- Wang, Y.F.; Li, X.; Luo, S.S.; Huang, Z.C.; Ding, Z.Z.; Zhou, N.; Zhao, Y.G. Effects of temperature and initial ph on the growth of four dominant cyanobacteria species in biological soil crusts. J. Appl. Ecol. 2024, 35, 516–522. [Google Scholar] [CrossRef]
- Michelle, D.; Caroline, P.; Eduardo, D.S.; Dieter, T.; Nicholas, W.; Jane, W.; Jon, B. Water quality and river plume monitoring in the great barrier reef: An overview of methods based on ocean colour satellite data. Remote Sens. 2015, 7, 12909–12941. [Google Scholar] [CrossRef]
- Kolodziejczyk, N.; Hamon, M.; Boutin, J.; Vergely, J.; Reverdin, G.; Supply, A.; Reul, N. Objective analysis of smos and smap sea surface salinity to reduce large-scale and time-dependent biases from low to high latitudes. J. Atmos. Ocean. Tech. 2021, 38, 405–421. [Google Scholar] [CrossRef]
- Zhang, R.; Kang, Y.; Yu, K.; Han, M.; Pei, J. Occurrence, distribution, and fate of polychlorinated biphenyls (pcbs) in multiple coral reef regions from the south china sea: A case study in spring-summer. Sci. Total Environ. 2021, 777, 146106. [Google Scholar] [CrossRef]
- Guo, Q.; Zhang, Y.; Zhou, Z.; Hu, Z. Transport of contamination under the influence of sea level rise in coastal heterogeneous aquifer. Sustainability 2020, 12, 9838. [Google Scholar] [CrossRef]
- Zhu, X.; Wen, Y.; Li, X.; Yan, F.; Zhao, S. Remote sensing inversion of typical water quality parameters of a complex river network: A case study of qidong’s rivers. Sustainability 2023, 15, 6948. [Google Scholar] [CrossRef]
- Kim, D.H.; Ahn, M.H. Introduction of the in-orbit test and its performance for the first meteorological imager of the communication, ocean, and meteorological satellite. Atmos. Meas. Tech. 2014, 7, 2471–2485. [Google Scholar] [CrossRef]
- Hamilton, S.K.; Kellndorfer, J.; Lehner, B.; Tobler, M. Remote sensing of floodplain geomorphology as a surrogate for biodiversity in a tropical river system (madre de dios, peru). Geomorphology 2007, 89, 23–38. [Google Scholar] [CrossRef]
- Yang, B.; Zhang, X.; Zhong, Q.; Lu, D.; Li, S. Temporal and spatial variations of temperature, salinity and ph of surface seawater in the Qinzhou Bay, Guangxi, China. J. Qinzhou Univ. 2012, 27, 1–5. [Google Scholar]
- Yang, B.; Fang, H.; Xu, L.; Zhong, Q.; Li, S. Spatio-temporal variation characteristics and driving factors of water pollution in qinzhou bay. Mar. Environ. Sci. 2017, 36, 877–883. [Google Scholar] [CrossRef]
- Jun, K.Y.; Daehyeon, H.; Eunna, J.; Jungho, I.; Taejun, S. Remote sensing of sea surface salinity: Challenges and research directions. Gisci. Remote Sens. 2023, 60, 2166377. [Google Scholar] [CrossRef]
- Swift, C.T.; Mcintosh, R.E. Considerations for microwave remote sensing of ocean-surface salinity. IEEE Trans. Geosci. Remote Sens. 2007, GE-21, 480–491. [Google Scholar] [CrossRef]
- Molleri, G.S.F.; Novo, E.M.L.D.; Kampel, M. Space-time variability of the amazon river plume based on satellite ocean color. Cont. Shelf Res. 2010, 30, 342–352. [Google Scholar] [CrossRef]
- Binding, C.E.; Bowers, D.G. Measuring the salinity of the clyde sea from remotely sensed ocean colour. Estuar. Coast. Shelf Sci. 2003, 57, 605–611. [Google Scholar] [CrossRef]
- Bai, Y.; Pan, D.; Cai, W.J.; He, X.; Wang, D.; Tao, B.; Zhu, Q. Remote sensing of salinity from satellite-derived cdom in the changjiang river dominated east china sea. J. Geophys. Res. Ocean. 2013, 118, 227–243. [Google Scholar] [CrossRef]
- Wang, J.; Deng, Z. Development of a modis data based algorithm for retrieving nearshore sea surface salinity along the northern gulf of mexico coast. Int. J. Remote Sens. 2018, 39, 3497–3511. [Google Scholar] [CrossRef]
- Wu, F.; Fu, Z.; Hu, L.; Zhang, F.; Du, Z.; Liu, R. Retrieval of sea surface salinity in the gulf of mexico based on random forest method. Haiyang Xuebao 2021, 43, 126–136. [Google Scholar]
- Li, W.; Su, H.; Wang, X.; Yan, X. Estimation of global subsurface temperature anomaly based on multisource satellite observations. Natl. Remote Sens. Bull. 2017, 21, 881–891. [Google Scholar] [CrossRef]
- Wang, H.; Song, T.; Zhu, S.; Yang, S.; Feng, L. Subsurface temperature estimation from sea surface data using neural network models in the western pacific ocean. Mathematics 2021, 9, 852. [Google Scholar] [CrossRef]
- Li, Y.; Ding, J.; Sun, B.; Guan, S. Comparison of short-term prediction effects of the sea surface temperature and salinity based on bp and rbf neural network. Adv. Mar. Sci. 2022, 40, 220–232. [Google Scholar]
- Zhao, W.; Ma, H.; Zhou, C.; Zhou, C.; Li, Z. Soil salinity inversion model based on bpnn optimization algorithm for uav multispectral remote sensing. IEEE J.-STARS 2023, 16, 6038–6047. [Google Scholar] [CrossRef]
- Guo, Q.; Wu, H.; Jin, H.; Yang, G.; Wu, X. Remote sensing inversion of suspended matter concentration using a neural network model optimized by the partial least squares and particle swarm optimization algorithms. Sustainability 2022, 14, 2221. [Google Scholar] [CrossRef]
- Han, B.; Zhao, Q.; Chang, R.; Li, X.; Yan, K.; Fu, Q. Chlorophyll-a concentration inversion model: Stacked auto-encoder particle swarm optimization bp neural network. J. Geo-Inf. Sci. 2023, 25, 1882–1893. [Google Scholar]
- Han, C.; Xiong, W.; Yu, R. A hybrid forecasting model for self-similar traffic in leo mega-constellation networks. Aerospace 2024, 11, 191. [Google Scholar] [CrossRef]
- Chunling, L.; Zhaoguang, B. Characteristics and typical applications of gf-1 satellite. In Proceedings of the 2015 IEEE International Geoscience and Remote Sensing Symposium (IGARSS), Milan, Italy, 26–31 July 2015. [Google Scholar] [CrossRef]
- Li, C. Spatial-Temporal Evolution of Landscape Pattern and Ecosystem Health Assessment of Qinzhou Bay Coastal Zone; Nanning Normal University: Nanning, China, 2019. [Google Scholar]
- Mobley, C.D.; Zhang, H.; Voss, K.J. Effects of optically shallow bottoms on upswelling radiances: Bidirectional reflectance distribution function effects. Limnol. Oceanogr. 2003, 48, 337–345. [Google Scholar] [CrossRef]
- Tang, J.; Tian, G.; Wang, X.; Wang, X.; Song, Q. The methods of water spectra measurement and analysis I: Above-water method. Natl. Remote Sens. Bull. 2004, 8, 37–44. [Google Scholar] [CrossRef]
- Mcfeeters, S.K. The use of the normalized difference water index (ndwi) in the delineation of open water features. Int. J. Remote Sens. 1996, 17, 1425–1432. [Google Scholar] [CrossRef]
- Wang, L.; Zeng, Y.; Chen, T. Back propagation neural network with adaptive differential evolution algorithm for time series forecasting. Expert Syst. Appl. 2015, 42, 855–863. [Google Scholar] [CrossRef]
- Yuan, C.; Sun, X.; Wu, Q.M.J. Difference co-occurrence matrix using bp neural network for fingerprint liveness detection. Soft Comput. 2018, 23, 5157–5169. [Google Scholar] [CrossRef]
- Lyu, J.; Zhang, J. Bp neural network prediction model for suicide attempt among chinese rural residents. J. Affect. Disord. 2018, 246, 465–473. [Google Scholar] [CrossRef] [PubMed]
- Pal, A.; Bahuguna, S. Grey wolf optimizer. In Proceedings of the 2018 26th European Signal Processing Conference (EUSIPCO), Rome, Italy, 3–7 September 2018. [Google Scholar] [CrossRef]
- Nadimi-Shahraki, M.; Taghian, S.; Mirjalili, S. An improved grey wolf optimizer for solving engineering problems. Expert Syst. Appl. 2021, 166, 113917. [Google Scholar] [CrossRef]
- Song, Y.; Zhang, F.; Liu, C. The risk of block chain financial market based on particle swarm optimization. J. Comput. Appl. Math. 2019, 370, 112667. [Google Scholar] [CrossRef]
- Shi, Y.H.; Eberhart, R.C. Empirical study of particle swarm optimization. In Proceedings of the 1999 Congress on Evolutionary Computation-CEC99 (Cat. No. 99TH8406), Washington, DC, USA, 6–9 July 1999. [Google Scholar] [CrossRef]
- Braik, M.; Hammouri, A.; Atwan, J.; Al-Betar, M.A.; Awadallah, M.A. White shark optimizer: A novel bio-inspired meta-heuristic algorithm for global optimization problems. Knowl.-Based Syst. 2022, 243, 108457. [Google Scholar] [CrossRef]
- Williams, D.A.; Nelsen, B.; Berrett, C.; Williams, G.P.; Moon, T.K. A comparison of data imputation methods using bayesian compressive sensing and empirical mode decomposition for environmental temperature data. Environ. Model. Softw. 2018, 102, 172–184. [Google Scholar] [CrossRef]
- Hashemi, A.; Rostami, M.; Cheung, N.M. Efficient environmental temperature monitoring using compressed sensing. In Proceedings of the 2016 Data Compression Conference, Snowbird, UT, USA, 30 March–1 April 2016. [Google Scholar] [CrossRef]
- Cihan, B.; Barış, N. Efficient sensing of von krmn vortices using compressive sensing. Comput. Fluids 2021, 226, 104975. [Google Scholar] [CrossRef]


















| Sampling Time | Min (psu) | Max (psu) | Mean (psu) | Median (psu) | Standard Deviation | Sample Size | 
|---|---|---|---|---|---|---|
| September 2015~January 2016 | 17.653 | 29.114 | 26.003 | 26.517 | 2.606 | 32 1 | 
| 30 May 2023 | 8.857 | 29.483 | 19.817 | 19.283 | 5.867 | 34 | 
| 20~21 November 2023 | 12.868 | 29.631 | 25.322 | 25.565 | 3.289 | 62 | 
| Sum | 8.857 | 29.631 | 24.030 | 25.407 | 4.727 | 128 | 
| Band | Wavelength Range (nm) | Central Wavelength (nm) | Spatial Resolution (m) | Remarks | 
|---|---|---|---|---|
| Band 1 | 450~520 | 483 | 10 | Blue Band | 
| Band 2 | 520~590 | 565 | 10 | Green Band | 
| Band 3 | 630~690 | 659 | 10 | Red Band | 
| Band 4 | 770~890 | 833 | 10 | Near-Infrared Band | 
| Single-Band | Remarks | |r| | 
|---|---|---|
| Band 1 | Blue Band | 0.720 | 
| Band 2 | Green Band | 0.625 | 
| Band 3 | Red Band | 0.076 | 
| Band 4 | Near-Infrared Band | 0.657 | 
| Index Number | Spectral Index | |r| | Index Number | Spectral Index | |r| | 
|---|---|---|---|---|---|
| 1 | B2 × B4/(B1 × B3) | 0.929 | 6 | B3 × B4/(B2 × B2) | 0.800 | 
| 2 | B4 × B4/(B1 × B1) | 0.837 | 7 | B4/B1 | 0.797 | 
| 3 | B3 × B4/(B1 × B2) | 0.829 | 8 | B3 − B2 | 0.787 | 
| 4 | B3 × B4/(B1 × B1) | 0.815 | 9 | B4/(B1 + B2) | 0.783 | 
| 5 | B4 × B4/(B1 × B2) | 0.809 | 10 | B4 × B4/(B1 × B3) | 0.780 | 
| Evaluation Metrics | BPNN | IGWO–BPNN | PSO–BPNN | WSO–BPNN | |
|---|---|---|---|---|---|
| Training Set | MAE | 0.853 | 0.705 | 1.042 | 0.751 | 
| MAPE (%) | 3.604 | 2.936 | 4.727 | 3.281 | |
| RMSE | 1.266 | 1.016 | 1.321 | 0.971 | |
| R2 | 0.919 | 0.955 | 0.927 | 0.959 | |
| Validation Set | MAE | 1.437 | 0.906 | 1.237 | 1.050 | 
| MAPE (%) | 7.656 | 4.124 | 5.802 | 5.193 | |
| RMSE | 1.904 | 1.067 | 1.537 | 1.347 | |
| R2 | 0.885 | 0.953 | 0.895 | 0.924 | |
| Disclaimer/Publisher’s Note: The statements, opinions and data contained in all publications are solely those of the individual author(s) and contributor(s) and not of MDPI and/or the editor(s). MDPI and/or the editor(s) disclaim responsibility for any injury to people or property resulting from any ideas, methods, instructions or products referred to in the content. | 
© 2025 by the authors. Licensee MDPI, Basel, Switzerland. This article is an open access article distributed under the terms and conditions of the Creative Commons Attribution (CC BY) license (https://creativecommons.org/licenses/by/4.0/).
Share and Cite
Zhong, M.; Yao, H.; Liu, Y.; Qiao, J.; Chen, M.; Zhong, W. Retrieval and Analysis of Sea Surface Salinity in Coastal Waters Using Satellite Data Based on IGWO–BPNN: A Case Study of Qinzhou Bay, Guangxi, China. Water 2025, 17, 94. https://doi.org/10.3390/w17010094
Zhong M, Yao H, Liu Y, Qiao J, Chen M, Zhong W. Retrieval and Analysis of Sea Surface Salinity in Coastal Waters Using Satellite Data Based on IGWO–BPNN: A Case Study of Qinzhou Bay, Guangxi, China. Water. 2025; 17(1):94. https://doi.org/10.3390/w17010094
Chicago/Turabian StyleZhong, Maoyuan, Huanmei Yao, Yin Liu, Junchao Qiao, Meijun Chen, and Weiping Zhong. 2025. "Retrieval and Analysis of Sea Surface Salinity in Coastal Waters Using Satellite Data Based on IGWO–BPNN: A Case Study of Qinzhou Bay, Guangxi, China" Water 17, no. 1: 94. https://doi.org/10.3390/w17010094
APA StyleZhong, M., Yao, H., Liu, Y., Qiao, J., Chen, M., & Zhong, W. (2025). Retrieval and Analysis of Sea Surface Salinity in Coastal Waters Using Satellite Data Based on IGWO–BPNN: A Case Study of Qinzhou Bay, Guangxi, China. Water, 17(1), 94. https://doi.org/10.3390/w17010094
 
        

 
                         
       