An Investigation of Contaminant Transport and Retention from Storage Zone in Meandering Channels
Abstract
1. Introduction
2. Background Theory and Methodology
2.1. Longitudinal Mixing Process
2.2. Numerical Model Descriptions
3. Target Area and Methods
3.1. Study Area
3.2. Model Validation
4. Results
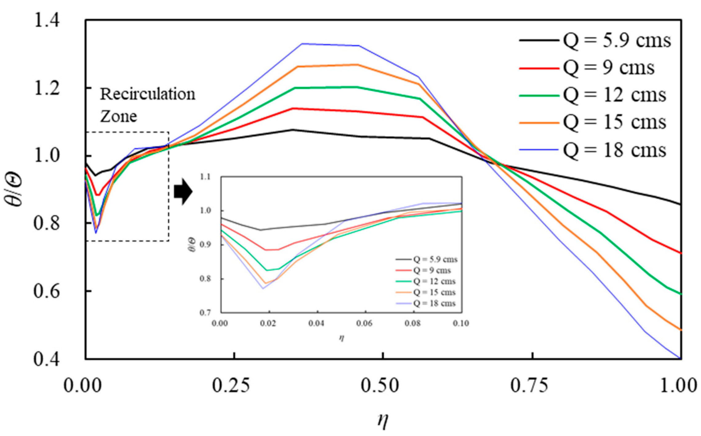
4.1. Occurrence of Recirculation Zone in the Channel Meander
4.2. Analysis of the Longitudinal Dispersion Coefficient Affected by the Recirculation Zone
4.3. Analysis of the Concentration Curves Affected by the Recirculation Zone
5. Discussion
6. Conclusions
Author Contributions
Funding
Data Availability Statement
Conflicts of Interest
References
- Blanckaert, K.; De Vriend, H.J. Secondary flow in sharp open-channel bends. J. Fluid Mech. 2004, 498, 353–380. [Google Scholar] [CrossRef]
- Blanckaert, K. Flow separation at convex banks in open channels. J. Fluid Mech. 2015, 779, 432–467. [Google Scholar] [CrossRef]
- Ferguson, R.I.; Parsons, D.R.; Lane, S.N.; Hardy, R.J. Flow in meander bends with recirculation at the inner bank. Water Resour. Res. 2003, 39, 1322–1335. [Google Scholar] [CrossRef]
- Blanckaert, K. Hydrodynamic processes in sharp meander bends and their morphological implications. J. Geophys. Res. Earth Surf. 2011, 116, F01003. [Google Scholar] [CrossRef]
- Hu, C.; Yu, M.; Wei, H.; Liu, C. The mechanisms of energy transformation in sharp open-channel bends: Analysis based on experiments in a laboratory flume. J. Hydrol. 2019, 571, 723–739. [Google Scholar] [CrossRef]
- Marion, A.; Zaramella, M. Effects of velocity gradients and secondary flow on the dispersion of solutes in a mean-dering channel. J. Hydraul. Eng. 2006, 132, 1295–1302. [Google Scholar] [CrossRef]
- Kim, J.S.; Seo, I.W.; Baek, D.; Kang, P.K. Recirculating flow-induced anomalous transport in meandering open-channel flows. Adv. Water Resour. 2020, 141, 103603. [Google Scholar] [CrossRef]
- Gooseff, M.N.; LaNier, J.; Haggerty, R.; Kokkeler, K. Determining in-channel (dead zone) transient storage by comparing solute transport in a bedrock channel–alluvial channel sequence, Oregon. Water Resour. Res. 2005, 41, W06014. [Google Scholar] [CrossRef]
- Jackson, T.R.; Haggerty, R.; Apte, S.V.; Coleman, A.; Drost, K.J. Defining and measuring the mean residence time of lateral surface transient storage zones in small streams. Water Resour. Res. 2012, 48, W10501. [Google Scholar] [CrossRef]
- Shin, J.; Rhee, D.; Park, I. Applications of Two-Dimensional Spatial Routing Procedure for Estimating Dispersion Coefficients in Open Channel Flows. Water 2021, 13, 1394. [Google Scholar] [CrossRef]
- O’connor, B.L.; Hondzo, M.; Harvey, J.W. Predictive modeling of transient storage and nutrient uptake: Implications for stream restoration. J. Hydraul. Eng. 2010, 136, 1018–1032. [Google Scholar] [CrossRef]
- Abderrezzak, K.E.K.; Ata, R.; Zaoui, F. One-dimensional numerical modelling of solute transport in streams: The role of longitudinal dispersion coefficient. J. Hydrol. 2015, 527, 978–989. [Google Scholar] [CrossRef]
- Baek, K.O.; Seo, I.W. Routing procedures for observed dispersion coefficients in two-dimensional river mixing. Adv. Water Resour. 2010, 33, 1551–1559. [Google Scholar] [CrossRef]
- Seo, I.W.; Baek, K.O. Estimation of the longitudinal dispersion coefficient using the velocity profile in natural streams. J. Hydraul. Eng. 2004, 130, 227–236. [Google Scholar] [CrossRef]
- Seo, I.W.; Cheong, T.S. Predicting longitudinal dispersion coefficient in natural streams. J. Hydraul. Eng. 1998, 124, 25–32. [Google Scholar] [CrossRef]
- Kim, J.S.; Seo, I.W.; Shin, J.; Jung, S.H.; Yun, S.H. Modeling 2D residence time distributions of pollutants in natural rivers using RAMS+. J. Korea Water Resour. Assoc. 2021, 54, 495–507. [Google Scholar]
- Fisher, H.B. Dispersion predictions in natural streams. J. Sanit. Eng. Div. 1968, 94, 927–943. [Google Scholar] [CrossRef]
- Park, I.; Seo, I.W.; Shin, J.; Song, C.G. Experimental and Numerical Investigations of Spatially-Varying Dispersion Tensors Based on Vertical Velocity Profile and Depth-Averaged Flow Field. Adv. Water Resour. 2020, 142, 103606. [Google Scholar] [CrossRef]
- Yotsukura, N.; Sayre, W.W. Transverse mixing in natural channels. Water Resour. Res. 1976, 12, 695–704. [Google Scholar] [CrossRef]
- Taylor, G.I. The dispersion of matter in turbulent flow through a pipe. Proc. R. Soc. Lond. 1954, 223, 446–468. [Google Scholar] [CrossRef]
- Kashefipour, S.M.; Falconer, R.A. Longitudinal dispersion coefficients in natural channels. Water Res. 2002, 36, 1596–1608. [Google Scholar] [CrossRef]
- Seo, I.W.; Choi, H.J.; Kim, Y.D.; Han, E.J. Analysis of two-dimensional mixing in natural streams based on transient tracer tests. J. Hydraul. Eng. 2016, 142, 04016020. [Google Scholar] [CrossRef]
- Fischer, H.B. Discussion of “simple method for predicting dispersion in streams”. J. Environ. Eng. Div. 1975, 101, 453–455. [Google Scholar] [CrossRef]
- Fischer, H.B.; List, E.J.; Koh, R.C.Y.; Imberger, J.; Brooks, N.H. Mixing in Inland and Coastal Waters, 1st ed.; Academic Press: Cambridge, MA, USA; Elsevier: Amsterdam, The Netherlands, 1979. [Google Scholar]
- Maidment, D.R. Handbook of Hydrology; McGraw-Hill: New York, NY, USA, 1993. [Google Scholar]
- Jackson, T.R.; Haggerty, R.; Apte, S.V. A fluid-mechanics based classification scheme for surface transient storage in riverine environments: Quantitatively separating surface from hyporheic transient storage. Hydrol. Earth Syst. Sci. 2013, 17, 2747–2779. [Google Scholar] [CrossRef]
- Hamrick, J.M. A Three-Dimensional Environmental Fluid Dynamics Computer Code: Theoretical and Computational Aspects; Special Report in Applied Marine Science and Ocean Engineering, No. 317; Virginia Institute of Marine Science: Gloucester Point, VA, USA, 1992; pp. 7–9. [Google Scholar]
- Tong, X.; Mohapatra, S.; Zhang, J.; Tran, N.H.; You, L.; He, Y.; Gin, K.Y.-H. Source, fate, transport and modelling of selected emerging contaminants in the aquatic environment: Current status and future perspectives. Water Res. 2022, 217, 118418. [Google Scholar] [CrossRef] [PubMed]
- Chen, L.; Yang, Y.; Chen, J.; Gao, S.; Qi, S.; Sun, C.; Shen, Z. Spatial-temporal variability and transportation mechanism of polychlorinated biphenyls in the Yangtze River Estuary. Sci. Total Environ. 2017, 598, 12–20. [Google Scholar] [CrossRef] [PubMed]
- Gong, R.; Xu, L.; Wang, D.; Li, H.; Xu, J. Water quality modeling for a typical urban lake based on the EFDC model. Environ. Model. Assess. 2016, 21, 643–655. [Google Scholar] [CrossRef]
- Huang, J.; Qi, L.; Gao, J.; Kim, D.-K. Risk assessment of hazardous materials loading into four large lakes in China: A new hydrodynamic indicator based on EFDC. Ecol. Indic. 2017, 80, 23–30. [Google Scholar] [CrossRef]
- US Environmental Protection Agency. Review of Potential Modeling Tools and Approaches to Support the BEACH Program; US Environmental Protection Agency: Washington, DC, USA, 1999. [Google Scholar]
- SonTek, a Division of YSI Inc. RiverSurveyor S5/M9 System Manual; SonTek, a Division of YSI Inc.: San Diego, CA, USA, 2015. [Google Scholar]
- Rowiński, P.M.; Chrzanowski, M.M. Influence of selected fluorescent dyes on small aquatic organisms. Acta Geophys. 2011, 59, 91–109. [Google Scholar] [CrossRef]
- Park, I.; Seo, I.W. Modeling non-Fickian pollutant mixing in open channel flows using two-dimensional particle dispersion model. Adv. Water Resour. 2018, 111, 105–120. [Google Scholar] [CrossRef]
- Shin, J.; Lee, S.; Park, I. Influences of Momentum Ratio on Transverse Dispersion for Intermediate-Field Mixing Downstream of Channel Confluence. Int. J. Environ. Res. Public Heal. 2023, 20, 2776. [Google Scholar] [CrossRef] [PubMed]
- Nordin, C.F.; Troutman, B.M. Longitudinal dispersion in rivers: The persistence of skewness in observed data. Water Resour. Res. 1980, 16, 123–128. [Google Scholar] [CrossRef]
- Field, M.S.; Pinsky, P.F. A two-region nonequilibrium model for solute transport in solution conduits in karstic aquifers. J. Contam. Hydrol. 2000, 44, 329–351. [Google Scholar] [CrossRef]
- Van Mazijk, A.; Veling, E.J.M. Tracer experiments in the Rhine Basin: Evaluation of the skewness of observed concentration distributions. J. Hydrol. 2005, 307, 60–78. [Google Scholar] [CrossRef]
- Seo, I.W.; Cheong, T.S. Moment-based calculation of parameters for the storage zone model for river dispersion. J. Hydraul. Eng. 2001, 127, 453–465. [Google Scholar] [CrossRef]
- Rodrigues, P.P.G.W.; Gonzalez, Y.M.; de Sousa, E.P.; Neto, F.D.M. Evaluation of dispersion parameters for River Sao Pedro, Brazil, by the simulated annealing method. Inverse Probl. Sci. Eng. 2012, 21, 34–51. [Google Scholar] [CrossRef]
















| Case | R2 | ||
|---|---|---|---|
| Section 1 | Section 2 | ||
| Q = 5.9 m3 | 0.635 | 3.233 | 2.60 |
| Q = 9.0 m3 | 0.626 | 3.035 | 2.41 |
| Q = 12.0 m3 | 0.587 | 2.950 | 2.36 |
| Q = 15.0 m3 | 0.545 | 2.839 | 2.29 |
| Q = 18.0 m3 | 0.508 | 2.712 | 2.20 |
Disclaimer/Publisher’s Note: The statements, opinions and data contained in all publications are solely those of the individual author(s) and contributor(s) and not of MDPI and/or the editor(s). MDPI and/or the editor(s) disclaim responsibility for any injury to people or property resulting from any ideas, methods, instructions or products referred to in the content. |
© 2024 by the authors. Licensee MDPI, Basel, Switzerland. This article is an open access article distributed under the terms and conditions of the Creative Commons Attribution (CC BY) license (https://creativecommons.org/licenses/by/4.0/).
Share and Cite
Jung, S.H.; Park, I.; Shin, J. An Investigation of Contaminant Transport and Retention from Storage Zone in Meandering Channels. Water 2024, 16, 1170. https://doi.org/10.3390/w16081170
Jung SH, Park I, Shin J. An Investigation of Contaminant Transport and Retention from Storage Zone in Meandering Channels. Water. 2024; 16(8):1170. https://doi.org/10.3390/w16081170
Chicago/Turabian StyleJung, Sung Hyun, Inhwan Park, and Jaehyun Shin. 2024. "An Investigation of Contaminant Transport and Retention from Storage Zone in Meandering Channels" Water 16, no. 8: 1170. https://doi.org/10.3390/w16081170
APA StyleJung, S. H., Park, I., & Shin, J. (2024). An Investigation of Contaminant Transport and Retention from Storage Zone in Meandering Channels. Water, 16(8), 1170. https://doi.org/10.3390/w16081170

