Experimental Study on the Morphology of Snow Crystal Particles and Its Influence on Compacted Snow Hardness
Abstract
1. Introduction
2. Materials and Methods
2.1. Snow and Test Equipment
2.2. Snow Crystal Image Processing
2.2.1. Grayscale Image Transformation
2.2.2. Edge Extraction
2.2.3. Threshold Segmentation
2.2.4. Edge Processing
2.3. Calculation of Snow Crystal Morphology Parameters
2.3.1. Equivalent Particle Size
2.3.2. Fractal Dimension
2.4. Hardness Measurement
3. Results
3.1. Snow Crystal Morphological Characteristics
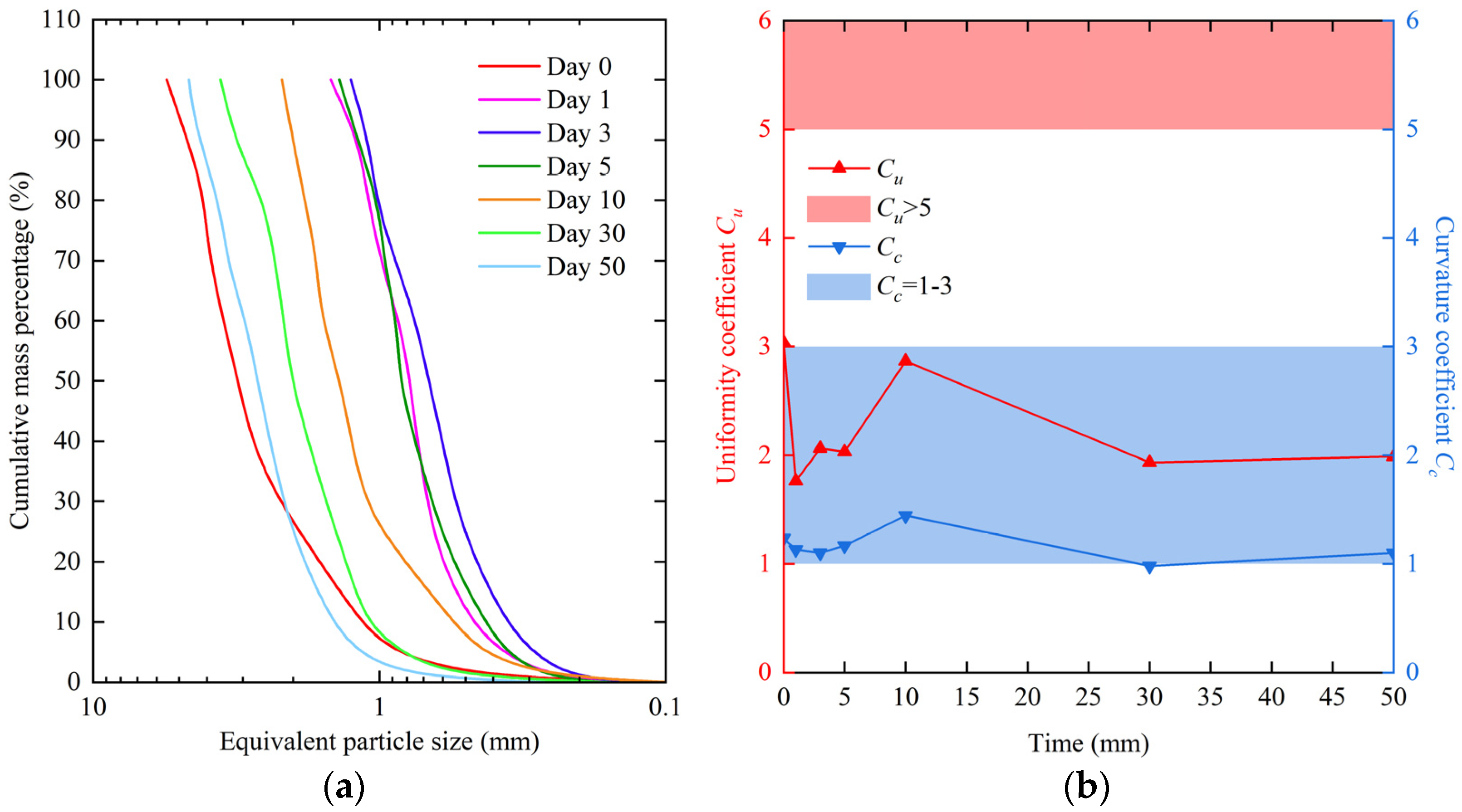
3.2. Grading Curves of Snow Crystals
3.3. Effect of Particle Morphology on Compacted Snow Hardness
4. Conclusions
- As the equivalent particle size increased, the percentage of natural snow crystal particles generally tended to increase and then decrease. Over time, natural snow crystals broke down rapidly, causing the percentage of snow crystals with an equivalent particle size of 0.2–0.4 mm to increase up to 51.86%. After three days, the sintering effect between natural snow crystals intensified and resulted in a more uniform distribution of equivalent particle sizes.
- The intricate mechanical behavior of snow crystals was attributable to the variability in their particle shapes, which could be characterized by fractal theory. Over time, the fractal dimension of natural snow crystals decreased rapidly and eventually stabilized within the range of 1.10 to 1.15 after ten days.
- The equivalent particle size of compacted snow was negatively correlated with hardness, while the fractal dimension of compacted snow was positively correlated with hardness, and there was a composite correlation between the three. The compacted snow hardness prediction equation (Equation (16)) was established with a correlation coefficient of 0.973.
Author Contributions
Funding
Data Availability Statement
Conflicts of Interest
References
- Sun, B.; Tang, X.Y.; Xiao, E.Z. Ice and snow runway engineering in the Antarctica: Current status and prospect. Strateg. Study CAE 2021, 23, 161–168. [Google Scholar] [CrossRef]
- Du, D.B.; Qin, D.H.; Ma, Y.H.; Yang, W.L.; Xia, Q.F. The age of cryopolitics is coming. Bull. Chin. Acad. Sci. 2020, 35, 514–522. (In Chinese) [Google Scholar] [CrossRef]
- Wu, Q.B.; Li, Z.J.; Shen, Y.P. Cryosphere engineering science supporting interactivity infrastructures construction. Bull. Chin. Acad. Sci. 2020, 35, 443–449. (In Chinese) [Google Scholar] [CrossRef]
- Zhao, S.; Jiang, T.; Wang, Z. Snow grain-size estimation using Hyperion imagery in a typical area of the Heihe River Basin, China. Remote Sens. 2013, 5, 238–253. [Google Scholar] [CrossRef]
- Kaempfer, T.U.; Plapp, M. Phase-field modeling of dry snow metamorphism. Phys. Rev. E 2009, 79, 031502. [Google Scholar] [CrossRef]
- Tyagi, K.D.; Bahl, R.; Kumar, A. An overview of methods for snow stratigraphy studies. In Proceedings of the International Conference on Signal Processing and Communication (ICSC), Noida, India, 12–14 December 2013. [Google Scholar] [CrossRef]
- Li, Y.Q.; Wu, W.F.; Wang, J.F.; Chen, S.Y.; Li, X.X. Analysis of snow-ice characteristics and clearing performance on urban road. Adv. Mater. Res. 2013, 690–693, 3486–3489. [Google Scholar] [CrossRef]
- Schneebeli, M. The importance of the microstructure of snow in nature and engineering. WIT Trans. Ecol. Environ. 2002, 57, 87–93. [Google Scholar]
- Wautier, A.; Geindreau, C.; Flin, F. Linking snow microstructure to its macroscopic elastic stiffness tensor: A numerical homogenization method and its application to 3-D images from X-ray tomography. Geophys. Res. Lett. 2015, 42, 8031–8041. [Google Scholar] [CrossRef]
- Peng, J.; Zhang, J.; Shen, Z.; Ye, J. Effect of grain shape on pore characteristics and permeability of coarse-grained soil. Rock Soil Mech. 2020, 41, 592–600. (In Chinese) [Google Scholar] [CrossRef]
- Winter, M.J.; Hyodo, M.; Wu, Y.; Yoshimoto, N.; Hasan, M.B.; Matsui, K. Influences of particle characteristic and compaction degree on the shear response of clinker ash. Eng. Geol. 2017, 230, 32–45. [Google Scholar] [CrossRef]
- Zhou, J.; Yu, R.C.; Jia, M.C. Measurement of microstructure parameters for granular soil model using digital image technology. Chin. J. Geotech. Eng. 2006, 28, 2047–2052. (In Chinese) [Google Scholar] [CrossRef]
- Wåhlin, J.; Klein-Paste, A. Influence of microstructure on the consolidation of compressed snow. J. Cold Reg. Eng. 2015, 29, 06014003. [Google Scholar] [CrossRef]
- Coleou, C.; Lesaffre, B.; Brzoska, J.-B.; Ludwig, W.; Boller, E. Three-dimensional snow images by X-ray microtomography. Ann. Glaciol. 2001, 32, 75–81. [Google Scholar] [CrossRef]
- Datt, P.; Kapil, J.; Kumar, A.; Srivastava, P. Experimental measurements of acoustical properties of snow and inverse characterization of its geometrical parameters. Appl. Acoust. 2016, 101, 15–23. [Google Scholar] [CrossRef]
- Eppanapelli, L.K.; Forsberg, F.; Casselgren, J.; Lycksam, H. 3D analysis of deformation and porosity of dry natural snow during compaction. Materials 2019, 12, 850. [Google Scholar] [CrossRef]
- Singh, G.; Kumar, V.; Vekataraman, G.; Rao, Y.S., II; Mani, S. Snow porosity estimation using advanced synthetic aperture radar single look complex data analysis and its effects on backscattering coefficient. J. Appl. Remote Sens. 2007, 1, 013522. [Google Scholar] [CrossRef]
- Yoshimura, Y.; Ogawa, S. A simple quantification method of grain shape of granular materials such as sand. Doboku Gakkai Ronbunshu 1993, 1993, 95–103. [Google Scholar] [CrossRef] [PubMed][Green Version]
- Lintzén, N.; Edeskär, T. Uniaxial strength and deformation properties of machine-made snow. J. Cold Reg. Eng. 2015, 29, 04014020. [Google Scholar] [CrossRef]
- Srivastava, P.K.; Mahajan, P.; Satyawali, P.K.; Kumar, V. Observation of temperature gradient metamorphism in snow by X-ray computed microtomography: Measurement of microstructure parameters and simulation of linear elastic properties. Ann. Glaciol. 2010, 51, 73–82. [Google Scholar] [CrossRef]
- Bernard, A.; Hagenmuller, P.; Montagnat, M.; Chambon, G. Disentangling creep and isothermal metamorphism during snow settlement with X-ray tomography. J. Glaciol. 2023, 69, 899–910. [Google Scholar] [CrossRef]
- Zhao, Q.; Li, Z.; Lu, P.; Wang, Q.; Wei, J.; Hu, S.; Yang, H. An Investigation of the Influence on Compacted Snow Hardness by Density, Temperature and Punch Head Velocity. Water 2003, 15, 2897. [Google Scholar] [CrossRef]
- Arakawa, H.; Izumi, K.; Kawashima, K.; Kawamura, T. Study on quantitative classification of seasonal snow using specific surface area and intrinsic permeability. Cold Reg. Sci. Technol. 2009, 59, 163–168. [Google Scholar] [CrossRef]
- Calonne, N.; Montagnat, M.; Matzl, M.; Schneebeli, M. The layered evolution of fabric and microstructure of snow at Point Barnola, Central East Antarctica. Earth Planet. Sci. Lett. 2017, 460, 293–301. [Google Scholar] [CrossRef]
- Ma, W.; Li, F.; Zhou, X. An empirical model of snowdrift based on field measurements: Profiles of the snow particle size and mass flux. Cold Reg. Sci. Technol. 2021, 189, 103312. [Google Scholar] [CrossRef]
- Liang, Z.; Nie, Z.; An, A.; Gong, J.; Wang, X. A particle shape extraction and evaluation method using a deep convolutional neural network and digital image processing. Powder Technol. 2019, 353, 156–170. [Google Scholar] [CrossRef]
- Yang, Y.; Wei, Z.; Fourie, A.; Chen, Y.; Zheng, B.; Wang, W.; Zhuang, S. Particle shape analysis of tailings using digital image processing. Environ. Sci. Pollut. Res. 2019, 26, 26397–26403. [Google Scholar] [CrossRef] [PubMed]
- Lehning, M.; Bartelt, P.; Brown, B.; Fierz, C.; Satyawali, P. A physical SNOWPACK model for the Swiss avalanche warning: Part II. Snow microstructure. Cold Reg. Sci. Technol. 2002, 35, 147–167. [Google Scholar] [CrossRef]
- Roscoat, S.R.; King, A.; Philip, A.; Reischig, P.; Ludwig, W.; Flin, F.; Meyssonnier, J. Analysis of Snow Microstructure by Means of X-ray Diffraction Contrast Tomography. Adv. Eng. Mater. 2011, 13, 128–135. [Google Scholar] [CrossRef]
- Leroux, N.R.; Thériault, J.M.; Rasmussen, R. Improvement of snow gauge collection efficiency through a knowledge of solid precipitation fall speed. J. Hydrometeorol. 2021, 22, 997–1006. [Google Scholar] [CrossRef]
- Huang, N.; Sang, J.; Han, K. A numerical simulation of the effects of snow particle shapes on blowing snow development. J. Geophys. Res. Atmos. 2011, 116, D22206. [Google Scholar] [CrossRef]
- Ingvander, S.; Brown, I.A.; Jansson, P.; Holmlund, P.; Johansson, C.; Rosqvist, G. Particle size sampling and object-oriented image analysis for field investigations of snow particle size, shape, and distribution. Arct. Antarct. Alp. Res. 2013, 45, 330–341. [Google Scholar] [CrossRef]
- Koptyug, A.; Kuzmin, L. Experimental field studies of the cross-country ski running surface interaction with snow. Procedia Eng. 2011, 13, 23–29. [Google Scholar] [CrossRef][Green Version]
- Kiani, S.; Irannezhad, M.; Ronkanen, A.-K.; Moradkhani, H.; Kløve, B. Effects of recent temperature variability and warming on the Oulu-Hailuoto ice road season in the northern Baltic Sea. Cold Reg. Sci. Technol. 2018, 151, 1–8. [Google Scholar] [CrossRef]
- Schneebeli, M.; Johnson, J.B. A constant-speed penetrometer for high-resolution snow stratigraphy. Ann. Glaciol. 1998, 26, 107–111. [Google Scholar] [CrossRef]
- Bala, R.; Braun, K.M. Color-to-grayscale conversion to maintain discriminability. In Proceedings of the Color Imaging IX: Processing, Hardcopy, and Applications, San Jose, CA, USA, 18 December 2003. [Google Scholar] [CrossRef]
- Karthick, C.N.; Nirmala, P. Smart edge detection technique in X-ray images for improving PSNR using Sobel edge detection algorithm with gaussian filter in comparison with Laplacian algorithm. Cardiometry 2022, 25, 1751–1757. [Google Scholar] [CrossRef]
- Otsu, N. A threshold selection method from gray-level histograms. IEEE Trans. Syst. Man Cybern. 1979, 9, 62–66. [Google Scholar] [CrossRef]
- Serra, J. Introduction to mathematical morphology. Comput. Vis. Graph. Image Proc. 1986, 35, 283–305. [Google Scholar] [CrossRef]
- Zhu, W.L.; Cui, L.H.; Ouyang, Y.; Long, C.F.; Tang, X.D. Kinetic adsorption of ammonium nitrogen by substrate materials for constructed wetlands. Pedosphere 2011, 21, 454–463. [Google Scholar] [CrossRef]
- Wu, E.; Zhu, J.; Guo, W.; Zhang, Z. Effect of gradation on the compactability of coarse-grained soils. KSCE J. Civ. Eng. 2020, 24, 356–364. [Google Scholar] [CrossRef]
- Mandelbrot, B. How long is the coast of Britain? Statistical self-similarity and fractional dimension. Science 1967, 156, 636–638. [Google Scholar] [CrossRef]
- Takeuchi, Y.; Nohguchi, Y.; Kawashima, K.; Izumi, K. Measurement of snow-hardness distribution. Ann. Glaciol. 1998, 26, 27–30. [Google Scholar] [CrossRef]








| Plate-like Snow Crystal | Dendritic Snow Crystal | Hexagonal Dendritic Snow Crystal | ||||
|---|---|---|---|---|---|---|
| Equivalent Particle Size (mm) | Fractal Dimension | Equivalent Particle Size (mm) | Fractal Dimension | Equivalent Particle Size (mm) | Fractal Dimension | |
| Digital imaging technology | 0.838 | 1.032 | 1.094 | 1.512 | 3.377 | 1.625 |
| Manual extraction | 0.838 | 1.034 | 1.089 | 1.515 | 3.383 | 1.624 |
| Relative error | 0.000% | −0.193% | 0.459% | −0.198% | −0.177% | 0.062% |
Disclaimer/Publisher’s Note: The statements, opinions and data contained in all publications are solely those of the individual author(s) and contributor(s) and not of MDPI and/or the editor(s). MDPI and/or the editor(s) disclaim responsibility for any injury to people or property resulting from any ideas, methods, instructions or products referred to in the content. |
© 2024 by the authors. Licensee MDPI, Basel, Switzerland. This article is an open access article distributed under the terms and conditions of the Creative Commons Attribution (CC BY) license (https://creativecommons.org/licenses/by/4.0/).
Share and Cite
Hu, S.; Li, Z.; Lu, P.; Wang, Q.; Wei, J.; Zhao, Q. Experimental Study on the Morphology of Snow Crystal Particles and Its Influence on Compacted Snow Hardness. Water 2024, 16, 613. https://doi.org/10.3390/w16040613
Hu S, Li Z, Lu P, Wang Q, Wei J, Zhao Q. Experimental Study on the Morphology of Snow Crystal Particles and Its Influence on Compacted Snow Hardness. Water. 2024; 16(4):613. https://doi.org/10.3390/w16040613
Chicago/Turabian StyleHu, Shengbo, Zhijun Li, Peng Lu, Qingkai Wang, Jie Wei, and Qiuming Zhao. 2024. "Experimental Study on the Morphology of Snow Crystal Particles and Its Influence on Compacted Snow Hardness" Water 16, no. 4: 613. https://doi.org/10.3390/w16040613
APA StyleHu, S., Li, Z., Lu, P., Wang, Q., Wei, J., & Zhao, Q. (2024). Experimental Study on the Morphology of Snow Crystal Particles and Its Influence on Compacted Snow Hardness. Water, 16(4), 613. https://doi.org/10.3390/w16040613

