Alexandrium catenella (Group I) Causes Higher and Faster Toxicity Than A. pacificum (Group IV) in Mytilus eduis
Abstract
1. Introduction
2. Materials and Methods
2.1. Microalgae Culture
2.2. Toxification of M. edulis by Continuous Exposure to A. catenella and A. pacificum
2.3. Detoxification of M. edulis Poisoned by A. catenella and A. pacificum
2.4. PSP Analysis Using High-Performance Liquid Chromatography
3. Results
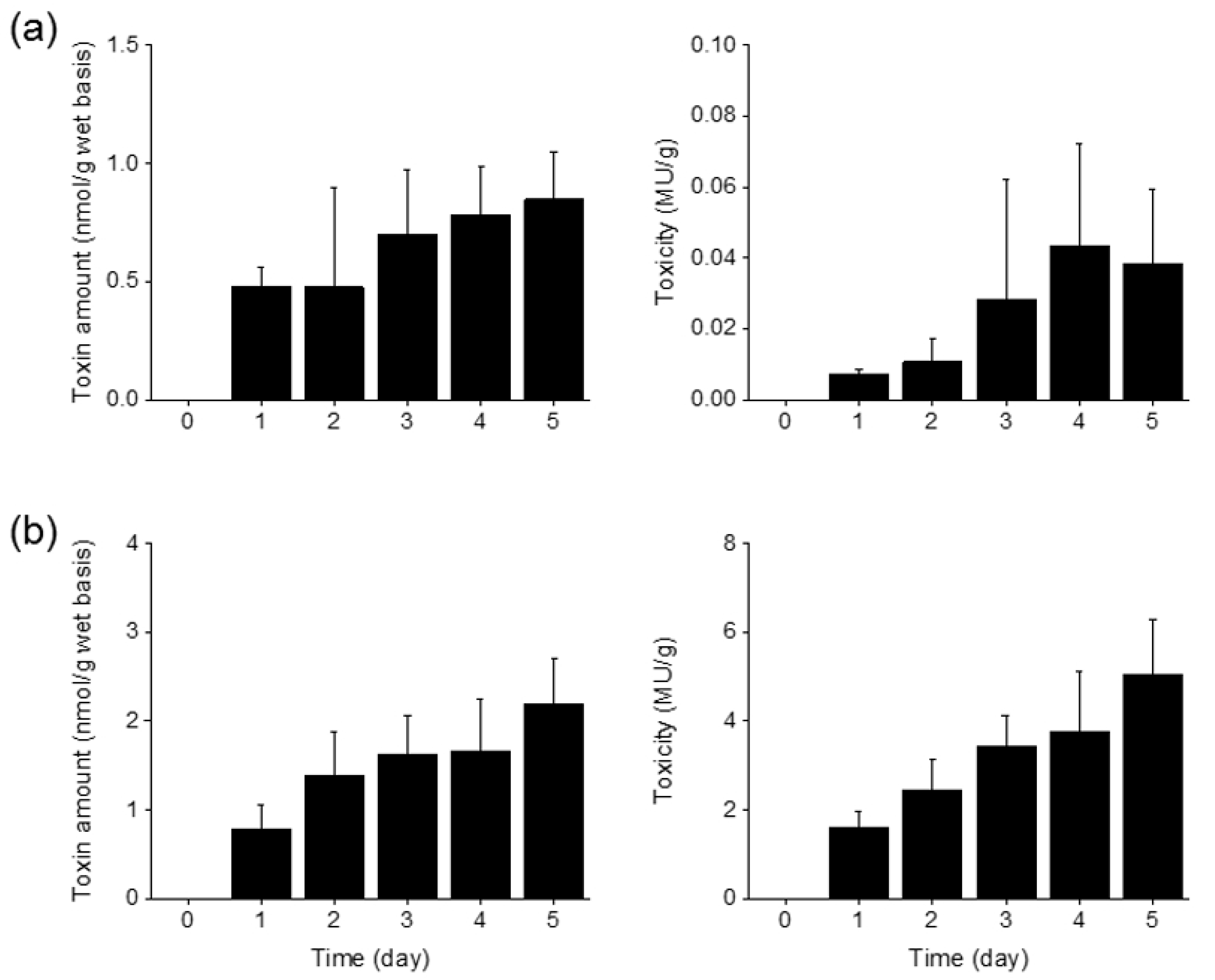
3.1. A. catenella Causes Higher Toxicity in M. edulis Than A. pacificum
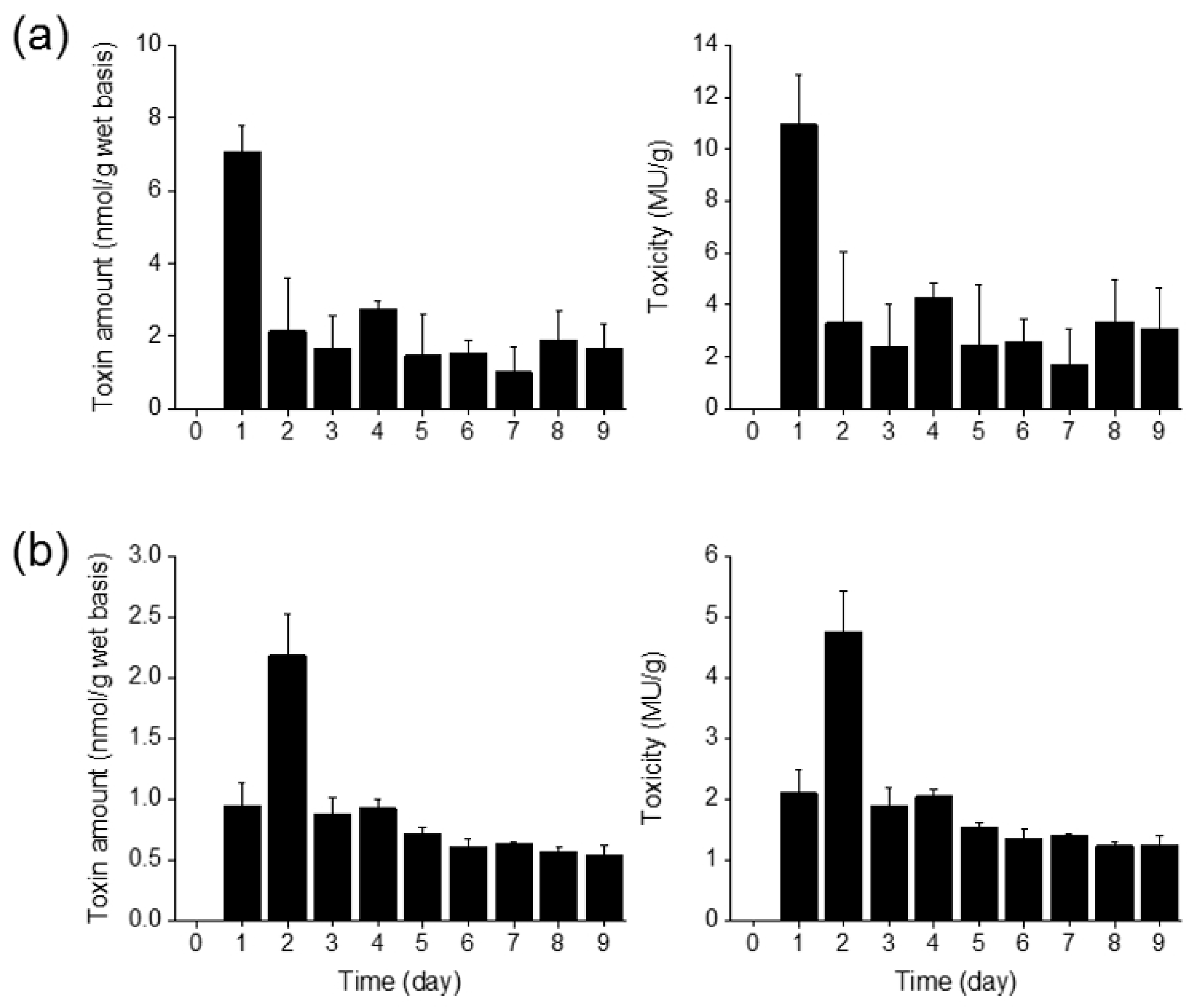
3.2. Fresh Seawater Detoxifies M. edulis
3.3. GTX1+4 Is the Most Prevalent Composition in M. edulis Poisoned by A. catenella and A. pacificum
4. Discussion
Author Contributions
Funding
Institutional Review Board Statement
Data Availability Statement
Conflicts of Interest
References
- Edebo, L.; Lange, S.; Li, X.P.; Allenmark, S.; Lindgren, K.; Thompson, R. Seasonal, geographic, and individual variation of okadaic acid content in cultivated mussels in Sweden. APMIS 1988, 96, 1036–1042. [Google Scholar] [CrossRef] [PubMed]
- Silvert, W.; Rao, D.V.S. Dynamic model of the flux of domoic acid, a neurotoxin, through a Mytilus edulis population. Can. J. Fish. Aquat. Sci. 1992, 49, 400–405. [Google Scholar] [CrossRef]
- Taylor, F.J.R.; Fukuyo, Y.; Larsen, J.; Hallegraeff, G.M. Taxonomy of harmful dinoflagellates. In Manual on Harmful Marine Microalgae; Hallegraeff, G.M., Anderson, D.M., Cembella, A.D., Eds.; UNESCO: Paris, France, 2003; pp. 389–432. [Google Scholar]
- Anderson, D.M. Turning back the harmful red tide. Nature 1997, 388, 513–514. [Google Scholar] [CrossRef]
- Indrasena, W.M.; Gill, T.A. Thermal degradation of partially purified paralytic shellfish poison toxins at different times, temperatures, and pH. J. Food Sci. 2000, 65, 948–953. [Google Scholar] [CrossRef]
- Toyofuku, H. Joint FAO/WHO/IOC activities to provide scientific advice on marine biotoxins (research report). Mar. Pollut. Bull. 2006, 52, 1735–1745. [Google Scholar] [CrossRef]
- EFSA. Marine biotoxins in shellfish–Saxitoxin group. EFSA J. 2009, 1019, 1–76. [Google Scholar]
- Asakawa, M.; Takagi, M. Quantitative Relationship between PSP Components of Protogonyaulax tamarensis and of Scallops, from Funka Bay, Hokkaido. Bull. Fac. Fish. Hokkaido Univ. 1983, 34, 345–349. [Google Scholar]
- Takata, K.; Mizuta, M.; Monden, T. Reduction in toxicity of PSP-infested oysters by heat treatment. Food Hyg. Saf. Sci. 1994, 35, 624–630. [Google Scholar] [CrossRef]
- Mizuta, M.; Takata, K.; Monden, T.; Yoneda, T.; Yamauchi, S. Reduction in toxicity of PSP infested oysters during canning process. Food Hyg. Saf. Sci. 1995, 36, 423–427. [Google Scholar] [CrossRef][Green Version]
- Kim, K.Y.; Matoko, Y.; Yasuwo, F.; Kim, C.H. Morphological observation of Alexandrium tamarense (Lebour) Balech, A. catenella (Whedon et Kofoid) Balech and one related morphotype (Dinophyceae) in Korea. Algae 2002, 17, 11–19. [Google Scholar] [CrossRef]
- Oh, S.J.; Park, J.A.; Kwon, H.K.; Yang, H.S.; Lim, W. Ecophysiological studies on the population dynamics of two toxic dinoflagellates Alexandrium tamarense and Alexandrium catenella isolated from the Southern Coast of Korea-I. Effects of temperature and salinity on the growth. J. Korean Soc. Mar. Environ. Energy 2012, 15, 133–141. [Google Scholar] [CrossRef]
- Kim, E.S.; Li, Z.; Oh, S.J.; Yoon, Y.H.; Shin, H.H. Morphological identification of Alexandrium species (Dinophyceae) from Jinhae-Masan Bay, Korea. Ocean Sci. 2017, 52, 427–437. [Google Scholar] [CrossRef]
- Kim, C.H.; Lee, J.S. Occurrence of toxic dinoflagellates and PSP toxin profiles in Alexandrium spp. from Jinhae bay, Korea. In Harmful and Toxic Algal Blooms; Yasumoto, T., Oshima, Y., Fukuyo, Y., Eds.; UNESCO: Paris, France, 1996; pp. 61–64. [Google Scholar]
- Lee, K.J.; Kwon, S.J.; Jung, Y.J.; Son, K.T.; Ha, K.S.; Mok, J.S.; Kim, J.H. Comparison of analytical methods for the detection of paralytic shellfish toxins (PSTs). Korean J. Fish. Aquat. Sci. 2017, 50, 669–674. [Google Scholar]
- Shin, H.H.; Li, Z.; Kim, H.J.; Park, B.S.; Lee, J.; Shin, A.-Y.; Park, T.-G.; Lee, K.W.; Han, K.H.; Youn, J.Y.; et al. Alexandrium cetenlla (Group I) and A. pacificum (Group IV) cyst germination, distribution, and toxicity in Jinhae-Masan Bay, Korea. Harmful Algae 2021, 110, 102122. [Google Scholar] [CrossRef]
- MOF. Statistical Yearbook of Oceans and Fisheries; MOF: Sejong, Republic of Korea, 2021. [Google Scholar]
- Lee, J.S.; Shin, I.S.; Kim, Y.M.; Chang, D.S. Paralytic shellfish toxins in the mussel, Mytilus edulis, caused the shellfish poisoning accident at Geoje, Korea, in 1996. Korean J. Fish. Aquat. Sci. 1997, 30, 158–160. [Google Scholar]
- Chun, J.H.; Lee, J.T.; Kim, S.C.; Lee, C.U.; Kim, J.Y.; Kim, B.S.; Paik, N.W. Bioassay on PSP in Some Shellfishes from Pusan and Kyungnam Area. Korean J. Malacol. 1986, 2, 1–9. [Google Scholar]
- Jeon, J.K.; Yi, S.K.; Huh, H.T. Paralytic Shellfish Poison of Bivalves in the Korean Waters. J. Korean Soc. Oceano. 1988, 23, 123–129. [Google Scholar]
- Shon, M.B.; Kim, Y.S.; Kim, C.R. Paralytic Shellfish Poisoning of Mediterranean mussels from Jinhae Bay in Korea. Korean J. Fish. Aquat. Sci. 2009, 42, 366–372. [Google Scholar] [CrossRef]
- Park, M.J.; Lee, H.J.; Lee, T.S.; Son, K.T.; Byun, H.S.; Park, J.H.; Jang, D.S. Comparison of paralytic shellfish poison contents and components in the different bivalve species. J. Fd. Hyg. Saf. 2000, 15, 293–296. [Google Scholar]
- Kim, Y.S.; Shon, M.B.; Kim, C.H. Paralytic Shellfish Poisoning Toxin Accumulation in Four Mussel Species Fed on Toxic Alexandrium tamarense. Korean J. Fish. Aquat. Sci. 2006, 39, 49–54. [Google Scholar]
- Mok, J.S.; Oh, E.G.; Son, K.T.; Lee, T.S.; Lee, K.J.; Song, K.C.; Kim, J.H. Accumulation and Depuration of Paralytic Shellfish Poison in Marine Organisms. Korean J. Fish. Aquat. Sci. 2012, 45, 465–471. [Google Scholar]
- Shumway, S.E. A review of the effects of algal blooms on shellfish and aquaculture. J. World Aquac. Soc. 1990, 21, 65–104. [Google Scholar] [CrossRef]
- Dong, D.S.; Shin, I.S.; Cho, H.R.; Kim, J.H.; Pyeun, J.H.; Park, Y.H. Studies on distribution, characterization and detoxification of shellfish in Korea 1. A study on the distribution of paralytic shellfish poison. Korean J. Fish. Aquat. Sci. 1988, 21, 113–126. [Google Scholar]
- Nishitani, L.; Hood, R.; Wakeman, J.; Chew, K.K. Potential importance of an endoparasite of Gonyaulax in paralytic shellfish poisoning outbreaks. In Seafood Toxin; Edward, P.R., Ed.; American Chemical Society: Washington, DC, USA, 1984; pp. 139–149. [Google Scholar]
- Shin, I.S.; Chang, D.S. Studies on thermal resistance of paralytic shellfish poison in blue mussel. Korean J. Food Sci. Technol. 1990, 22, 799–801. [Google Scholar]
- Prakash, A.; Medcof, J.C.; Tennant, A.D. Paralytic Shellfish Poisoning in Eastern Canada; Fisheries Research Board of Canada: Ottawa, ON, Canada, 1971. [Google Scholar]
- Hashimoto, Y.; Noguchi, T.; Adachi, R. Occurrence of toxic bivalves in association with the bloom of Gonyaulax sp. in Owase Bay. Nippon Suisan Gakk. 1976, 42, 671–676. [Google Scholar] [CrossRef]
- Culture methods. In Manual on Harmful Marine Microalgae; Hallegraeff, G.M., Anderson, D.M., Cembella, A.D., Eds.; UNESCO: New York, NY, USA, 1995; pp. 45–62. [Google Scholar]
- Oshima, Y. Post-column derivatization HPLC methods for paralytic shellfish poisons. In Manual on Harmful Marine Microalgae; Hallegraeff, G.M., Anderson, D.M., Cembella, A.D., Eds.; UNESCO: Pairs, France, 1995; pp. 81–94. [Google Scholar]
- Yamamoto, K.; Tsujimura, H.; Nakajima, M.; Harrison, P.J. Flushing rate and salinity may control the blooms of the toxic dinoflagellate Alexandrium tamarense in a river/estuary in Osaka Bay, Japan. J. Oceanogr. 2013, 69, 727–736. [Google Scholar] [CrossRef]
- Baek, S.H.; Choi, J.M.; Lee, M.; Park, B.S.; Zhang, Y.; Arakawa, O.; Takatani, T.; Jeon, J.K.; Kim, Y.O. Change in paralytic shellfish toxins in the mussel Mytilus galloprovincialis depending on dynamics of harmful Alexandrium catenella (Group I) in the Geoje coast (South Korea) during bloom season. Toxins 2020, 12, 442. [Google Scholar] [CrossRef]
- Siu, G.K.Y.; Young, M.L.C.; Chan, D.K.O. Environmental and nutritional factors which regulate population dynamics and toxin production in the dinoflagellate Alexandrium catenella. Hydrobiologia 1997, 352, 117–140. [Google Scholar] [CrossRef]
- Hwang, D.F.; Lu, Y.H. Influence of environmental and nutritional factors on growth, toxicity, and toxin profile of dinoflagellate Alexandrium minutum. Toxicon 2000, 38, 1491–1503. [Google Scholar] [CrossRef]
- Hamasaki, K.; Horie, M.; Tokimitsu, S.; Toda, T.; Taguchi, S. Variability in toxicity of the dinoflagellate Alexandrium tamarense isolated from Hiroshima Bay, western Japan, as, a reflection of changing environmental conditions. J. Plankton Res. 2001, 23, 271–278. [Google Scholar] [CrossRef]
- Etheridge, S.M.; Roesler, C.R. Effects of temperature, irradiance, and salinity on photosynthesis, growth rates, total toxicity, and toxin composition for Alexandrium fundyense isolates from the Gulf of Maine and Bay of Fundy. Deep-Sea Res. PT II 2005, 52, 2491–2500. [Google Scholar] [CrossRef]
- He, H.; Chen, F.; Li, H.; Xiang, W.; Li, Y.; Jiang, Y. Effect of iron on growth, biochemical composition and paralytic shellfish poisoning toxins production of Alexandrium tamarense. Harmful Algae 2010, 9, 98–104. [Google Scholar] [CrossRef]
- Xu, J.; Ho, A.Y.T.; He, L.; Yin, K.; Hung, C.; Choi, N.; Lam, P.K.S.; Wu, R.S.S.; Anderson, D.M.; Harrison, P.J. Effects of inorganic and organic nitrogen and phosphorus on the growth and toxicity of two Alexandrium species from Hong Kong. Harmful Algae 2012, 16, 89–97. [Google Scholar] [CrossRef]
- Han, M.S.; Lee, H.; Anderson, D.M.; Kim, B. Paralytic shellfish toxin production by the dinoflagellate Alexandrium pacificum (Chinhae Bau, Korea) in axenic, nutrient-limited chemostat cultures and nutrient-enriched bath cultures. Mar. Pollut. Bull. 2016, 104, 34–43. [Google Scholar] [CrossRef]
- Chang, D.D.; Shik, C.S.; Goo, H.Y.; Oh, E.G.; Pyun, J.H.; Park, Y.H. (Studies on distribution, characterization and detoxification of shellfish toxin in Korea. Bull. Korean Fish. Soc. 1988, 21, 297–302. [Google Scholar]
- Oshima, Y.; Hayakawa, T.; Hashimoto, M.; Kotaki, Y.; Yasumoto, T. Classification of Protogonyaulax tamarensis from northern Japan into three strains by toxin composition. Bull. Jpn. Soc. Sci. Fish. 1982, 48, 851–854. [Google Scholar] [CrossRef]
- Suzuki, T.; Ichimi, K.; Oshima, Y.; Kamiyama, T. Paralytic shellfish poisoning (PSP) toxin profiles and short-term detoxification kinetics in mussels Mytilus galloprovincialis fed with the toxic dinoflagellate Alexandrium tamarense. Harmful Algae 2003, 2, 201–206. [Google Scholar] [CrossRef]
- Sekiguchi, K.; Sato, S.; Ogata, T.; Kaga, S.; Kodama, M. Accumulation and depuration kinetics of paralytic shellfish toxins in the scallop Patinopecten yessoensis fed Alexandrium tamarense. Mar. Ecol. Prog. Ser. 2001, 220, 213–218. [Google Scholar] [CrossRef][Green Version]
- Qiu, J.; Fan, H.; Liang, X.; Meng, F.; Quiliam, M.; Li, A. Application of activated carbon to accelerate detoxification of paralytic shellfish toxins from mussels Mytilus galloprovincialis and scallops Chlamys farreri. Ecotoxicol. Environ. Saf. 2018, 148, 402–409. [Google Scholar] [CrossRef]
- Bricelj, V.M.; Shumway, S.E. Paralytic shellfish toxins in bivalve molluscs: Occurrence, transfer kinetics, and biotransformation. Rev. Fish. Sci. 1998, 6, 315–383. [Google Scholar] [CrossRef]
- Guéguen, M.; Bardouil, M.; Baron, R.; Lassus, P.; Truquet, P.; Massardier, J.; Amzil, Z. Detoxification of Pacific oyster Crassostrea gigas fed on diets of Skeletonema costatum with and without silt, following PSP contamination by Alexandrium minutum. Aquat. Living Resour. 2008, 21, 13–20. [Google Scholar] [CrossRef]
- Gibbard, J.; Naubert, J. Paralytic shellfish poisoning on the Canadian Atlantic coast. Am. J. Public Health Nations Health 1948, 38, 550–553. [Google Scholar] [CrossRef] [PubMed]
- Jamieson, G.S.; Chandler, R.A. Paralytic shellfish poison in sea scallops (Placopecten magellanicus) in the west Atlantic. Can. J. Fish. Aquat. Sci. 1983, 40, 313–318. [Google Scholar] [CrossRef]
- Shumway, S.E.; Sherman-Caswell, S.; Hurst, J.W. Paralytic shellfish poisoning in Maine: Monitoring a monster. J. Shellfish Res. 1988, 7, 643–652. [Google Scholar]
- Maranda, L.; Anderson, D.M.; Shimizu, Y. Comparison of toxicity between populations of Gonyaulax tamarensis of eastern north American waters. Estuar. Coast. Shelf Sci. 1985, 21, 401–410. [Google Scholar] [CrossRef]
- Boyer, G.L.; Sullivan, J.J.; Anderson, R.J.; Harrison, P.J.; Taylor, F.J.R. Effects of nutrient limitation on toxin production and composition in the marine dinoflagellate Protogonyaulax tamarensis. Mar. Biol. 1987, 96, 123–128. [Google Scholar] [CrossRef]
- Cembella, A.E.; Sullivan, J.J.; Boyer, G.L.; Taylor, F.J.R.; Anderson, R.J. Variation in paralytic shellfish toxin composition within the Protogonyaulax tamarensis/catenella species complex: Red tide dinoflagellates. Biochem. Syst. Ecol. 1987, 15, 171–186. [Google Scholar] [CrossRef]
- Anderson, D.M. Toxin variability in Alexandrium species. In Toxic Marine Phytoplankton; Graneli, E., Sundstrom, B., Edler, L., Anderson, D.M., Eds.; Elsevier: Amsterdam, The Netherlands, 1990; pp. 41–51. [Google Scholar]
- Ishida, Y.; Kim, C.-H.; Sako, Y.; Hirooka, N.; Uchida, A. PSP toxin production is chromosome dependent in Alexandrium spp. In Toxic Phytoplankton Blooms in the Sea; Smayda, T.J., Shimizu, Y., Eds.; Elsevier: Amsterdam, The Netherlands, 1993; pp. 881–887. [Google Scholar]
- Kim, C.-H.; Sako, Y.; Ichida, Y. Comparison of toxic composition between populations of Alexandrium spp. from geographically distant areas. Nippon Suisan Gakk. 1993, 59, 641–646. [Google Scholar] [CrossRef]
- Oshima, Y.; Blackburn, S.I.; Hallegraeff, G.M. Comparative study on paralytic shellfish toxin profiles of the dinoflagellate Gymnodinium catenatum from three different countries. Mar. Biol. 1993, 116, 471–476. [Google Scholar] [CrossRef]
- Cho, E.S.; Lee, H.J. Thecal plates, toxin content and growth of five clones of Alexandrium tamarense (Dinophyceae) isolated from Jinhae Bay. Korea. Phycologia 2001, 40, 435–439. [Google Scholar] [CrossRef]
- Kim, C.J.; Kim, C.H.; Sako, Y. Paralytic shellfish poisoning toxin analysis of the genus Alexandrium (Dinophyceae) occurring in Korean coastal waters. Fish. Sci. 2005, 71, 1–11. [Google Scholar] [CrossRef]
- Oshima, Y.; Fallon, W.E.; Shimizu, Y.; Noguchi, T.; Hashimoto, Y. Toxins of the Gonyaulax sp. and infested bivalves on Owase bay. Bull. Jpn. Soc. Sci. Fish. 1976, 42, 851–856. [Google Scholar] [CrossRef]
- Oshima, Y.; Sugino, K.; Itakura, H.; Hirota, M.; Yasumoto, T. Comparative studies on paralytic shellfish toxin profile of dinoflagellate and bivalves. In Toxic Marine Phytoplankton; Graneli, E., Sundstorm, B., Edler, L., Anderson, D.M., Eds.; Academic Press: New York, NY, USA, 1990; pp. 391–396. [Google Scholar]
- Krock, B.; Seguel, C.G.; Cembella, A.D. Toxin profile of Alexandrium catenella from the Chilean coast as determined by liquid chromatography with fluorescence detection and liquid chromatography coupled with tandem mass spectrometry. Harmful Algae 2007, 6, 734–744. [Google Scholar] [CrossRef]
- Shimizu, Y.; Yoshioka, M. Transformation of paralytic shellfish toxins as demonstrated in scallop homogenates. Science 1981, 212, 547–549. [Google Scholar] [CrossRef] [PubMed]
- Cembella, A.; Shumway, S.E.; Lewis, N. A comparison of anatomical distribution and spatio-temporal variation of paralytic shellfish toxin composition in two bivalve species from the Gulf of Maine. J. Shellfish Res. 1993, 12, 389–403. [Google Scholar]
- Oshima, Y. Chemical and enzymatic transformation of paralytic shellfish toxins in marine organisms. In Harmful Marine Algal Blooms; Lassus, P., Arzul, G., Erard-Le Denn, E., Gentien, P., Marcaillou-Le Baut, C., Eds.; Lavoisier Science Publishers: Paris, France, 1995; pp. 475–480. [Google Scholar]
- Sullivan, J.J.; Iwaoka, W.T.; Liston, J. Enzymatic transformation of PSP toxins in the littleneck clam (Protothaca staminea). Biochem. Biophys. Res. Commun. 1983, 114, 465–472. [Google Scholar] [CrossRef] [PubMed]






| Toxin | A. catenella (fmol/Cells) | A. pacificum (fmol/Cells) |
|---|---|---|
| C1+2 | 37.91 ± 5.17 * | 9.73 ± 1.13 |
| GTX 1+4 | 10.96 ± 0.30 | - |
| GTX 2+3 | 0.16 ± 0.02 | - |
| GTX 5 | 0.72 ± 0.07 | 10.67 ± 0.26 |
| neo STX | 17.49 ± 1.46 | 1.49 ± 0.21 |
| Total | 67.24 ± 6.83 | 21.89 ± 0.61 |
Disclaimer/Publisher’s Note: The statements, opinions and data contained in all publications are solely those of the individual author(s) and contributor(s) and not of MDPI and/or the editor(s). MDPI and/or the editor(s) disclaim responsibility for any injury to people or property resulting from any ideas, methods, instructions or products referred to in the content. |
© 2024 by the authors. Licensee MDPI, Basel, Switzerland. This article is an open access article distributed under the terms and conditions of the Creative Commons Attribution (CC BY) license (https://creativecommons.org/licenses/by/4.0/).
Share and Cite
Oh, S.J.; Jeong, S.Y.; Son, M. Alexandrium catenella (Group I) Causes Higher and Faster Toxicity Than A. pacificum (Group IV) in Mytilus eduis. Water 2024, 16, 1985. https://doi.org/10.3390/w16141985
Oh SJ, Jeong SY, Son M. Alexandrium catenella (Group I) Causes Higher and Faster Toxicity Than A. pacificum (Group IV) in Mytilus eduis. Water. 2024; 16(14):1985. https://doi.org/10.3390/w16141985
Chicago/Turabian StyleOh, Seok Jin, Soo Yong Jeong, and Moonho Son. 2024. "Alexandrium catenella (Group I) Causes Higher and Faster Toxicity Than A. pacificum (Group IV) in Mytilus eduis" Water 16, no. 14: 1985. https://doi.org/10.3390/w16141985
APA StyleOh, S. J., Jeong, S. Y., & Son, M. (2024). Alexandrium catenella (Group I) Causes Higher and Faster Toxicity Than A. pacificum (Group IV) in Mytilus eduis. Water, 16(14), 1985. https://doi.org/10.3390/w16141985

