Water Consumption Structure and Root Water Absorption Source of an Oasis Cotton Field in an Arid Area of China
Abstract
:1. Introduction
2. Materials and Methods
2.1. Study Area
2.2. Determination of Evapotranspiration and Soil Evaporation
2.3. Sample Collection
- Groundwater (irrigation water) sample collection: The hydrogen and oxygen isotopic composition in groundwater is generally stable, so it was sampled once each growth cycle.
- Soil water sample collection: We selected three sampling points on the farmland and used soil drills to collect soil samples, with depths in the ranges of 0–5 cm, 5–20 cm, 20–40 cm, 40–60 cm, 60–80 cm, 80–100 cm, and 100–120 cm. Then, the samples were placed in sealed bags and stored in a refrigerator at 4 °C. The sampling dates were 9 July, 22 July, 20 August, 30 August, and 15 October.
- Plant sample collection: Three to five cotton plants were collected, separated into fresh stems (diameter 0.6–0.8 cm and length 3–5 cm, without outer skin and phloem) and leaves, quickly sealed in a 10 mL glass bottle, and frozen. The collection times of the plant and soil samples were synchronous.
- Rain sample: A self-constructed precipitation sampler was used to collect rainfall. The rain accumulated in a triangular container through a glass funnel connected with a rubber stopper. A table tennis ball was situated on the funnel entrance to stop the water sample from evaporating in the bottle. The apparatus was placed in the area prior to rainfall and promptly collected after rainfall to minimize the effect of water vaporization.
2.4. Sample Determination
2.5. Data Analysis
3. Results
3.1. Changes in Evapotranspiration Structure at Different Growth Stages of Cotton
3.2. Isotopic Composition Characteristics of Precipitation, Soil Water, Stem Water, and Leaf Water
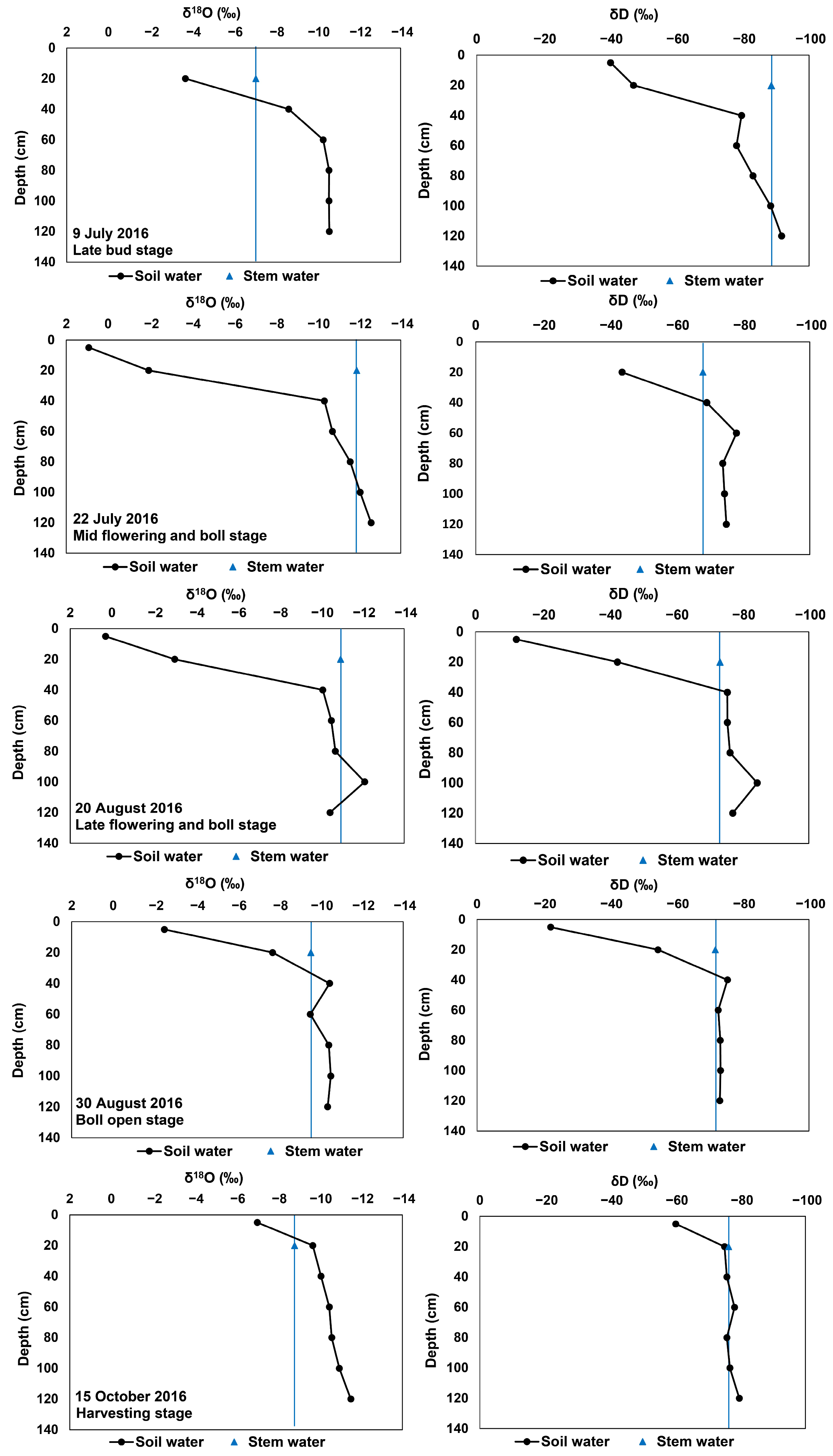
3.3. Water Absorption Depth of the Root System at Different Growth Stages
3.4. Quantitative Analysis of Water Sources Based on the MixSIAR Model
4. Discussion
5. Conclusions
- (1)
- The LMWL equation was δD = 7.06δ18O + 3.61, with a smaller slope and intercept than that of the GMWL, which implies an arid climate and strong evaporation in the study area. The SWL equation was δD = 5.01δ18O − 23.92, and the slope and intercept were smaller than those of the LMWL, indicating that soil moisture is strongly subjected to evaporative fractionation during the infiltration of precipitation and irrigation.
- (2)
- During the growing seasons of cotton, the proportions of transpiration to evapotranspiration at the seedling, bud, flowering and boll, boll opening, and harvesting stages were 51%, 82%, 88%, 85%, and 72%, respectively.
- (3)
- Cotton’s main water absorption depths and corresponding contributions in the late bud stage, mid flowering and boll stage, late flowering and boll stage, boll opening stage, and harvesting stage were 0–20 cm (35.4%), 40–60 cm (40.9%), 60–80 cm (27.7%), 80–100 cm (29.9%), and 0–20 cm (22.5%), respectively.
Author Contributions
Funding
Data Availability Statement
Acknowledgments
Conflicts of Interest
References
- Zhang, N.; Zuo, Q.; Shi, J.C.; Xu, X. Estimating the yields and profits of saline water irrigated cotton in Xinjiang based on ANSWER model. Trans. Chin. Soc. Agric. Eng. 2023, 39, 78–89. [Google Scholar]
- Kite, G. Using a Basin-Scale Hydrological Model to Estimate Crop Transpiration and Soil Evaporation. J. Hydrol. 2000, 229, 59–69. [Google Scholar] [CrossRef]
- Liebhard, G.; Klik, A.; Stumpp, C.; Nolz, R. Partitioning evapotranspiration using water stable isotopes and information from lysimeter experiments. Hydrol. Sci. J. 2022, 67, 646–661. [Google Scholar] [CrossRef]
- Wu, Y.; Du, T.; Ding, R. An isotope method to quantify soil evaporation and evaluate water vapor movement under plastic film mulch. Agric. Water Manag. 2017, 184, 59–66. [Google Scholar] [CrossRef]
- Guo, H.W. Water Consumption of Maize in the Minqin Oasis Based on Hydrogen and Oxygen Stable Isotopes. Master’s Thesis, Northwest Normal University, Lanzhou, China, 2020. [Google Scholar]
- Wu, Y.J.; Du, T.S. Estimating and partitioning evapotranspiration of maize farmland based on stable oxygen isotope. Trans. Chin. Soc. Agric. Eng. 2020, 36, 127–134. [Google Scholar]
- Wang, X.Y.; He, X.L.; Yang, G. Study on water distribution in cotton field based on hydrogen and oxygen isotopes under different salt and fertilizer conditions. J. Northeast. Agric. Univ. 2022, 53, 65–71. [Google Scholar]
- Thorburn, P.J.; Ehleringer, J.R. Root Water Uptake of Field-Growing Plants Indicated by Measurements of Natural-Abundance Deuterium. Plant Soil 1995, 177, 225–233. [Google Scholar] [CrossRef]
- Lehmann, J. Subsoil Root Activity in Tree-Based Cropping Systems. Plant Soil 2003, 255, 319–331. [Google Scholar] [CrossRef]
- Zimmermann, U.; Ehhalt, D.; Muennich, K.O. Soil-water movement and evapotranspiration: Changes in the isotopic composition of the water. In Proceeding of the IAEA Symposium on the Use of Isotopes in Hydrology; IAEA: Vienna, Austria, 1968; pp. 567–585. [Google Scholar]
- Zhang, G.X.; Meng, W.H.; Pan, W.H.; Han, J.; Liao, Y.C. Effect of soil water content changes caused by ridge-furrow plastic film mulching on the root distribution and water use pattern of spring maize in the loess plateau. Agric. Water Manag. 2022, 261, 107338. [Google Scholar] [CrossRef]
- Fischer, M.J. iCHASM, a Flexible Land-Surface Model That Incorporates Stable Water Isotopes. Glob. Planet. Chang. 2006, 51, 121–130. [Google Scholar] [CrossRef]
- Zhang, X.; Xiao, Y.; Wan, H.; Deng, Z.M.; Pan, G.Y.; Xia, J. Using stable hydrogen and oxygen isotopes to study water movement in soil-plant-atmosphere continuum at Poyang Lake wetland, China. Wetl. Ecol. Manag. 2016, 25, 221–234. [Google Scholar] [CrossRef]
- Phillips, D.L.; Gregg, J.W. Source Partitioning Using Stable Isotopes: Coping with Too Many Sources. Oecologia 2003, 136, 261–269. [Google Scholar] [CrossRef] [PubMed]
- Moore, J.W.; Semmens, B.X. Incorporating Uncertainty and Prior Information into Stable Isotope Mixing Models. Ecol. Lett. 2008, 11, 470–480. [Google Scholar] [CrossRef]
- Parnell, A.C.; Inger, R.; Bearhop, S.; Jackson, A.L. Source Partitioning Using Stable Isotopes: Coping with Too Much Variation. PLoS ONE 2010, 5, e9672. [Google Scholar] [CrossRef] [PubMed]
- Semmens, B.X.; Stock, B.C.; Ward, E.; Moore, J.W.; Inger, R. MixSIAR: A Bayesian stable isotope mixing model for characterizing intrapopulation niche variation. In Proceedings of the 98th ESA Annual Convention 2013, Minneapolis, MN, USA, 4–9 August 2013. [Google Scholar]
- Du, J.S.; Ma, Y.; Hu, X.N.; Tong, J.X.; Zhang, B.Z.; Sun, N.X.; Gao, G.Y. Applying dual stable isotopes and a MixSIAR model to determine root water uptake of winter wheat. Acta Ecol. Sin. 2018, 38, 6611–6622. [Google Scholar]
- Yang, B.; Wen, X.; Sun, X. Irrigation Depth Far Exceeds Water Uptake Depth in an Oasis Cropland in the Middle Reaches of Heihe River Basin. Sci. Rep. 2015, 5, 15206. [Google Scholar] [CrossRef]
- Zhang, Y.; Zhang, M.H.; Wang, S.J.; Guo, R.; Che, C.W.; Ma, Z.Z. Comparison of different methods for determining plant water sources based on stable oxygen isotope. Chin. J. Ecol. 2020, 39, 1356–1368. [Google Scholar]
- Sun, H.Y.; Liu, C.M.; Zhang, Y.Q.; Zhang, X.Y. Experimental study on measuring soil surface evaporation with micro-evaporator. J. Hydraul. Eng. 2004, 8, 114–118. [Google Scholar]
- Bowen, I.S. The ratio of heat losses by conduction and by evaporation from any water surface. Phys. Rev. 1926, 27, 779–789. [Google Scholar]
- West, A.G.; Patrickson, S.J.; Ehleringer, J.R. Water Extraction Times for Plant and Soil Materials Used in Stable Isotope Analysis. Rapid Commun. Mass Spectrom. 2006, 20, 1317–1321. [Google Scholar] [CrossRef]
- Liu, Y.; Qiao, C. Partitioning Evapotranspiration in a Cotton Field under Mulched Drip Irrigation Based on the Water-Carbon Fluxes Coupling in an Arid Region in Northwestern China. Agriculture 2023, 13, 1219. [Google Scholar] [CrossRef]
- Zhang, Y.; Shen, Y.; Wang, J.; Qi, Y.Q. Estimation of evaporation of different cover types using a stable isotope method: Pan, bare soil, and crop fields in the North China Plain. J. Hydrol. 2022, 613, 128414. [Google Scholar] [CrossRef]
- Guo, Y.Y.; Yang, M.F.; Ji, C.R.; Hu, Q.R.; Wang, X.J.; Liu, A.L. Growth and development of Xinluzao 45 in response to drought and rewatering in Xinjiang cotton field with drip-irrigation under plastic-film. China Cotton 2023, 50, 1–6. [Google Scholar]
- Ge, R.C. Study of Evapotranspiration Law and Water Demand Model of Cotton Field in Drip Irrigation Oasis under Mulch. Master’s Thesis, Shihezi University, Shihezi, China, 2020. [Google Scholar]
- Sadok, W.; Sinclair, T.R.; Sparks, D.L. Crops yield increase under water-limited conditions: Review of recent physiological advances for soybean genetic improvement. Adv. Agron. 2011, 113, 5–349. [Google Scholar]
- Guo, H.; Zhao, Y.; Cai, D.X.; Lan, Z.L.; Lei, J.Q. Application of hydrogen and oxygen isotopes to study the source of water and competition in shelter-forest-cotton systems in the Xinjiang Oasis. Acta Ecol. Sin. 2019, 39, 6642–6650. [Google Scholar]
- Xing, D.; Xiao, J.J.; Han, S.Y.; Peng, G.H.; Fu, W.T.; Jia, Y.L. Water absorption source analysis of mulberry roots based on stable isotopes in rocky desertification area. Trans. Chin. Soc. Agric. Eng. 2019, 35, 77–84. [Google Scholar]
- Li, N. Characteristics of Soil Water Utilization in Jujube Plantation of Different Stand Ages on Loess Plateau of China Based on Stable Oxygen Isotope. Master’s Thesis, Northwest A&F University, Xianyang, China, 2018. [Google Scholar]
- Zhang, Z.; Cao, W.X.; Zhang, S.P.; Zhou, Z.G. Characterizing root growth and spatial distribution in cotton. Acta Phytoecol. Sin. 2005, 29, 266–273. [Google Scholar]
- Wang, P.; Song, X.F.; Yuan, R.Q.; Han, D.M.; Zhang, Y.H. Study on water consumption of summer maize in North China based on stable isotopes of hydrogen and oxygen. J. Nat. Resour. 2013, 28, 481–491. [Google Scholar]





| Annual mean temperature | 11.3 °C |
| Annual mean precipitation | 46 mm |
| Annual sunshine hours | 2950 h |
| Annual solar radiation | 6000 MJ/m2 |
| Frost-free period | 207 d |
| Annual evaporation | 2111 mm |
| Type of soil | Sulfated tidal soil |
| Bulk density | 1.43–1.53 g/cm3 |
| Field capacity | 28–32% |
| Saturated water content | 43–50% |
| Date (m–d) | Growth Period |
|---|---|
| 2 May 2016–15 June 2016 | Seeding stage |
| 16 June 2016–11 July 2016 | Bud stage |
| 12 July 2016– 24 August 2016 | Flowering and boll stage |
| 25 August 2016–5 October 2016 | Boll opening stage |
| 6 October 2016–16 October 2016 | Harvesting stage |
Disclaimer/Publisher’s Note: The statements, opinions and data contained in all publications are solely those of the individual author(s) and contributor(s) and not of MDPI and/or the editor(s). MDPI and/or the editor(s) disclaim responsibility for any injury to people or property resulting from any ideas, methods, instructions or products referred to in the content. |
© 2023 by the authors. Licensee MDPI, Basel, Switzerland. This article is an open access article distributed under the terms and conditions of the Creative Commons Attribution (CC BY) license (https://creativecommons.org/licenses/by/4.0/).
Share and Cite
Zhao, Y.; Chen, Y.; Hu, S.; Shen, Y.; Liu, F.; Zhang, Y. Water Consumption Structure and Root Water Absorption Source of an Oasis Cotton Field in an Arid Area of China. Water 2023, 15, 4140. https://doi.org/10.3390/w15234140
Zhao Y, Chen Y, Hu S, Shen Y, Liu F, Zhang Y. Water Consumption Structure and Root Water Absorption Source of an Oasis Cotton Field in an Arid Area of China. Water. 2023; 15(23):4140. https://doi.org/10.3390/w15234140
Chicago/Turabian StyleZhao, Yang, Yaning Chen, Shunjun Hu, Yanjun Shen, Fan Liu, and Yucui Zhang. 2023. "Water Consumption Structure and Root Water Absorption Source of an Oasis Cotton Field in an Arid Area of China" Water 15, no. 23: 4140. https://doi.org/10.3390/w15234140
APA StyleZhao, Y., Chen, Y., Hu, S., Shen, Y., Liu, F., & Zhang, Y. (2023). Water Consumption Structure and Root Water Absorption Source of an Oasis Cotton Field in an Arid Area of China. Water, 15(23), 4140. https://doi.org/10.3390/w15234140

