Assessment of Present-Day Heavy Metals Pollution and Factors Controlling Surface Water Chemistry of Three Western Siberian Sphagnum-Dominated Raised Bogs
Abstract
1. Introduction
2. Materials and Methods
2.1. Study Area
2.2. Methods
2.2.1. Atmospheric Deposition and Catchment-Scale Budget
2.2.2. Water, Peat and Vegetation Sampling
2.2.3. Laboratory and Statistical Analysis
3. Results
3.1. Atmospheric Deposition
3.2. Mire Water Chemistry
3.3. Stream Water Chemistry
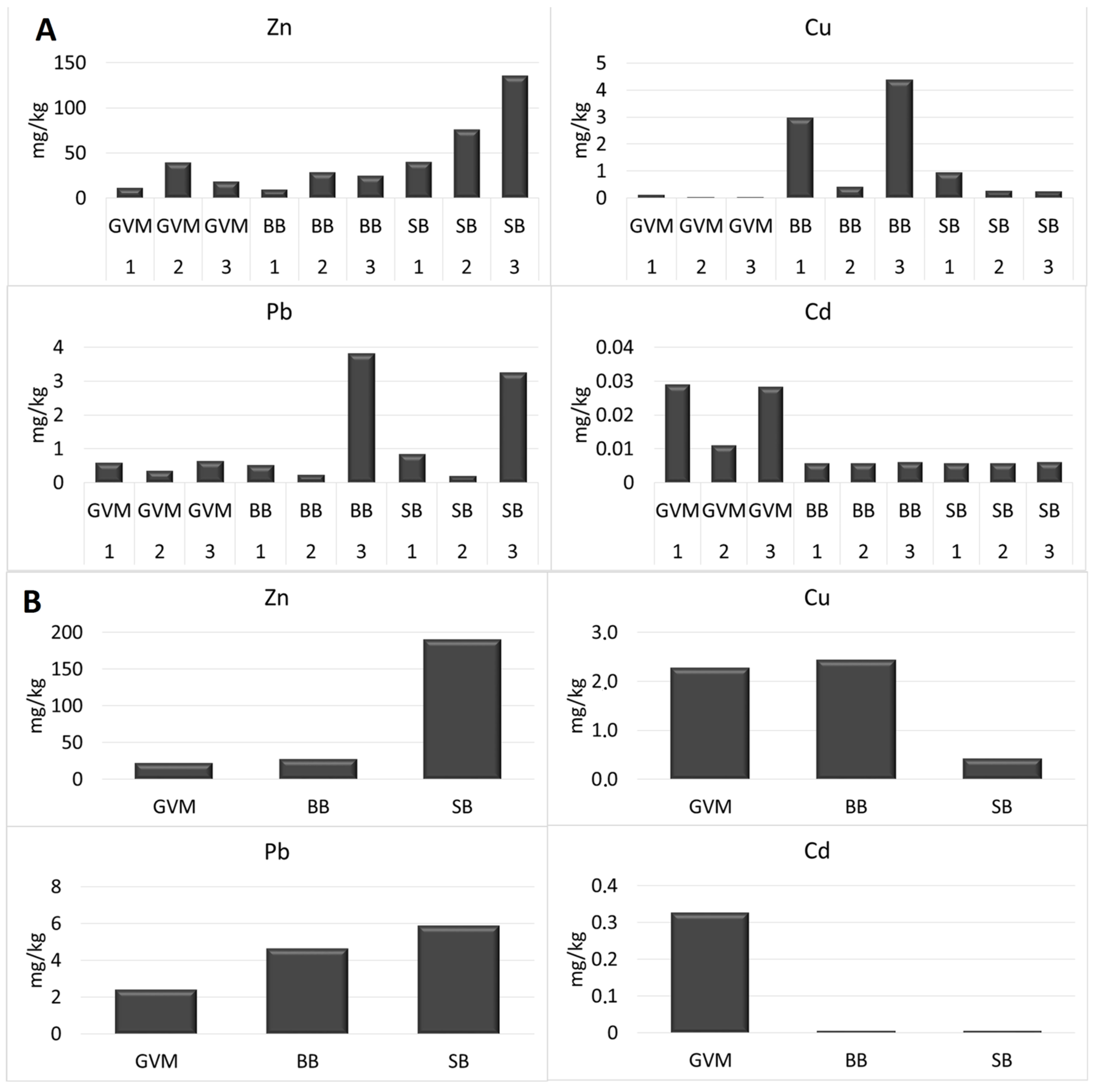
3.4. Peat and Vegetation Uptake
3.5. Catchment-Scale Budget
4. Discussion
4.1. Regional Sources of Heavy Metals
4.2. Atmospheric Deposition vs. Water Chemistry
4.3. Atmospheric Deposition vs. Peat and Vegetation Uptake
4.4. Factors Controlling Heavy Metals Content and Release
5. Conclusions
Author Contributions
Funding
Data Availability Statement
Conflicts of Interest
Appendix A
| Site | Type | Summer 16 | Winter 16–17 | Summer 17 | Winter 17–18 | Summer 18 | Winter 18–19 | Summer 19 | Winter 19–20 | Summer 20 | Mean 2 |
|---|---|---|---|---|---|---|---|---|---|---|---|
| Zn, mg/(m2month) | |||||||||||
| GVM | Background | 3.63 | 0.62 | 1.89 | 0.25 | 0.64 | 0.21 | 1.05 | 0.54 | 0.47 | 1.03 |
| SB | Urban | 0.20 | 0.32 | 0.61 | 0.26 | 0.46 | 0.44 | 1.16 | 0.29 | 0.34 | 0.45 |
| BB | Oil-gas facilities | 0.81 | 0.50 | 0.35 | 0.50 | 1.51 | 0.12 | - | 0.63 | ||
| Pb, mg/(m2month) | |||||||||||
| GVM | Background | 0.053 | 0.013 | 0.060 | 0.028 | 0.093 | 0.041 | 0.050 | 0.048 | 0.093 | 0.053 |
| SB | Urban | 0.024 | 0.006 | 0.016 | 0.025 | 0.071 | 0.069 | 0.083 | 0.045 | 0.16 | 0.055 |
| BB | Oil-gas facilities | 0.038 | 0.033 | 0.035 | 0.033 | 0.073 | 0.007 | - | 0.037 | ||
| Cu, mg/(m2month) | |||||||||||
| GVM | Background | 0.065 | 0.045 | 0.170 | 0.051 | 0.093 | 0.026 | 0.162 | 0.094 | 0.078 | 0.087 |
| SB | Urban | 0.050 | 0.019 | 0.150 | 0.055 | 0.068 | 0.036 | 0.095 | 0.058 | 0.067 | 0.066 |
| BB | Oil-gas facilities | 0.086 | 0.032 | 0.041 | 0.022 | 0.059 | 0.023 | - | 0.044 | ||
| Cd, mg/(m2month) | |||||||||||
| GVM | Background | 0 1 | 0 | 0 | 0.0003 | 0.0008 | 0.0006 | 0.0016 | 0.0005 | 0.0014 | 0.00087 |
| SB | Urban | 0 | 0 | 0 | 0.0007 | 0.0009 | 0.0015 | 0.0003 | 0.0009 | 0.0008 | 0.00085 |
| BB | Oil-gas facilities | 0 | 0 | 0 | 0.0007 | 0.0004 | 0.0001 | - | 0.00040 | ||
| Study Sites | N | Pb | Cd | Cu | Zn | pH | EC, µS/cm | DOC, mg/L | |
|---|---|---|---|---|---|---|---|---|---|
| µg/L | |||||||||
| GVM | 30 | Mean | 0.83 | 0.046 | 1.74 | 14.0 | 3.77 | 45 | 55.2 |
| Range | 0.16–6.95 | 0.001–0.093 | 0.27–6.61 | 3.22–56.6 | 2.0–4.47 | 19–78 | 29.9–72.8 | ||
| SB | 17 | Mean | 1.34 | 0.114 | 3.53 | 21.0 | 3.65 | 65 | 100.5 |
| Range | 0.39–2.38 | 0.001–0.22 | 0.22–6.90 | 2.69–95.1 | 2.20–4.37 | 40–87 | 58.8–126.9 | ||
| BB | 6 | Mean | 1.19 | 0.032 | 3.14 | 13.2 | 3.76 | 38 | 55.9 |
| Range | 0.31–4.16 | 0.022–0.046 | 0.53–6.84 | 5.08–41.9 | 3.22–4.03 | 23–52 | 46.0–66.6 | ||
| Study Sites | N | Pb | Cd | Cu | Zn | pH | EC, µS/cm | DOC, mg/L | |
|---|---|---|---|---|---|---|---|---|---|
| µg/L | |||||||||
| GVM | 30 | Mean | 0.92 | 0.043 | 2.10 | 27.2 | 6.64 | 124 | 56.0 |
| Range | 0.108–10.5 | 0.013–0.073 | 0.029–17.5 | 2.42–253.7 | 5.79–7.75 | 51–423 | 27.3–85.6 | ||
| SB | 17 | Mean | 0.62 | 0.034 | 1.96 | 7.06 | 6.25 | 24 | 25.8 |
| Range | 0.052–2.69 | 0.001–0.12 | 0.34–7.57 | 0.61–31.9 | 5.0–7.63 | 18–35 | 14.6–47.5 | ||
| BB | 4 | Mean | 0.89 | 0.060 | 2.98 | 22.2 | 5.14 | 85 | 56.2 |
| Range | 0.65–1.05 | 0.047–0.077 | 1.02–4.24 | 8.17–43.1 | 4.61–6.30 | 33–223 | 36–80.6 | ||
| Zn | Cd | Cu | Pb | |
|---|---|---|---|---|
| Great Vasyugan Mire | ||||
| Total deposition (TD) input mg/m2 | 2.82 | 0.0084 | 0.47 | 0.56 |
| Runoff water output mg/m2 | 0.46 | 0.0032 | 0.12 | 0.02 |
| Output/input (%) | 16 | 38 | 26 | 3 |
| Retention (input–output), mg/m2 | 2.36 | 0.0052 | 0.34 | 0.54 |
| Retention/TD, % | 84 | 62 | 74 | 97 |
| Samus bog | ||||
| Total deposition (TD) input mg/m2 | 2.04 | 0.0048 | 0.40 | 0.96 |
| Runoff water output mg/m2 | 0.41 | 0.0023 | 0.21 | 0.04 |
| Output/input (%) | 20 | 48 | 53 | 4 |
| Retention (input–output), mg/m2 | 1.63 | 0.0025 | 0.19 | 0.92 |
| Retention/TD, % | 80 | 52 | 47 | 96 |
Appendix B


References
- Nriagu, J.O.; Pacyna, J.M. Quantitative assessment of worldwide contamination of air, water and soils by trace metals. Nature 1988, 333, 134–139. [Google Scholar] [CrossRef] [PubMed]
- Shotyk, W. Peat bog archive of atmospheric metal deposition: Geochemical evaluation of peat profiles, natural variations in metal concentrations, and metal enrichment factors. Environ. Rev. 1996, 4, 149–183. [Google Scholar] [CrossRef]
- Orru, H.; Orru, M. Sources and distribution of trace elements in Estonian peat. Glob. Planet. Change 2006, 53, 249–258. [Google Scholar] [CrossRef]
- Bao, K.; Shen, J.; Wang, G.; Roux, G. Atmospheric deposition history of trace metals and metalloids for the last 200 years recorded by three peat cores in Great Hinggan Mountain, Northeast China. Atmosphere 2015, 6, 380–409. [Google Scholar] [CrossRef]
- Boutin, C.; Carpenter, D.J. Assessment of wetland/upland vegetation communities and evaluation of soil-plant contamination by polycyclic aromatic hydrocarbons and trace metals in regions near oil sands mining in Alberta. Sci. Total Environ. 2017, 576, 829–839. [Google Scholar] [CrossRef]
- Fiałkiewicz-Kozieł, B.; Łokas, E.; Gałka, M.; Kołaczek, P.; De Vleeschouwer, F.; Le Roux, G.; Smieja-Król, B. Influence of transboundary transport of trace elements on mountain peat geochemistry (Sudetes, Central Europe). Quat. Sci. Rev. 2020, 230, 106162. [Google Scholar] [CrossRef]
- Rosca, C.; Schoenberg, R.; Tomlinson, E.L.; Kamber, B.S. Combined zinc-lead isotope and trace-metal assessment of recent atmospheric pollution sources recorded in Irish peatlands. Sci. Total Environ. 2019, 658, 234–249. [Google Scholar] [CrossRef]
- Steinnes, E. Trace element profiles in ombrogenous peat cores from Norway: Evidence of long range atmospheric transport. Water Air Soil Pollut. 1997, 100, 405. [Google Scholar] [CrossRef]
- Biester, H.; Hermanns, Y.-M.; Cortizas, A.M. The influence of organic matter decay on the distribution of major and trace elements in ombrotrophic mires—A case study from the Harz Mountains. Geochim. Et Cosmochim. Acta 2012, 84, 126–136. [Google Scholar] [CrossRef]
- Kharanzhevskaya, Y.A.; Voistinova, E.S.; Sinyutkina, A.A. Spatial and temporal variations in mire surface water chemistry as a function of geology, atmospheric circulation and zonal features in the south-eastern part of Western Siberia. Sci. Total Environ. 2020, 733, 139343. [Google Scholar] [CrossRef]
- Sjöström, J.K.; Martínez Cortizas, A.; Hansson, S.V.; Silva Sánchez, N.; Bindler, R.; Rydberg, J.; Mörth, C.-M.; Ryberg, E.E.; Kylander, M.E. Paleodust deposition and peat accumulation rates—Bog size matters. Chem. Geol. 2020, 554, 119795. [Google Scholar] [CrossRef]
- Hansson, S.V.; Tolu, J.; Bindler, R. Downwash of atmospherically deposited trace metals in peat and the influence of rainfall intensity: An experimental test. Sci. Total Environ. 2015, 506–507, 95–101. [Google Scholar] [CrossRef]
- Broder, T.; Biester, H. Hydrologic controls on DOC, As and Pb export from a polluted peatland—The importance of heavy rain events, antecedent moisture conditions and hydrological connectivity. Biogeosciences 2015, 12, 4651–4664. [Google Scholar] [CrossRef]
- Broder, T.; Biester, H. Linking major and trace element concentrations in a headwater stream to DOC release and hydrologic conditions in a bog and peaty riparian zone. Appl. Geochem. 2017, 87, 188–201. [Google Scholar] [CrossRef]
- Cortizas, M.; Biester, H.; Mighall, T.; Bindler, R. Climate-driven enrichment of pollutants in peatlands. Biogeosciences 2007, 4, 905–911. [Google Scholar] [CrossRef]
- Rothwell, J.J.; Evans, M.G.; Daniels, S.M.; Allott, T.E.H. Baseflow and stormflow metal concentrations in streams draining contaminated peat moorlands in the Peak District National Park (UK). J. Hydrol. 2007, 341, 90–104. [Google Scholar] [CrossRef]
- Stepanova, V.A.; Pokrovsky, O.S.; Viers, J.; Mironycheva-Tokareva, N.P.; Kosykh, N.P.; Vishnyakova, E.K. Elemental composition of peat profiles in western Siberia: Effect of the micro-landscape, latitude position and permafrost coverage. Appl. Geochem. 2014, 53, 53–70. [Google Scholar] [CrossRef]
- Smieja-Król, B.; Bauerek, A. Controls on trace-element concentrations in the pore waters of two Sphagnum-dominated mires in southern Poland that are heavily polluted by atmospheric deposition. J. Geochem. Explor. 2015, 151, 57–65. [Google Scholar] [CrossRef]
- Novak, M.; Pacherova, P. Mobility of trace metals in pore waters of two Central European peat bogs. Sci. Total Environ. 2008, 394, 331–337. [Google Scholar] [CrossRef]
- Bragazza, L. Heavy metals in bog waters: An alternative way to assess atmospheric precipitation quality? Glob. Planet. Change 2006, 53, 290–298. [Google Scholar] [CrossRef]
- Smieja-Król, B.; Janeczek, J.; Bauerek, A.; Thorseth, I.H. The role of authigenic sulfides in immobilization of potentially toxic metals in the Bagno Bory wetland, southern Poland. Environ. Sci. Pollut. Res. 2015, 22, 15495. [Google Scholar] [CrossRef] [PubMed]
- Gałka, M.; Szal, M.; Broder, T.; Loisel, J.; Knorr, K.-H. Peatbog resilience to pollution and climate change over the past 2700 years in the Harz Mountains, Germany. Ecol. Indic. 2019, 97, 183–193. [Google Scholar] [CrossRef]
- Yue, K.; Yang, W.; Tan, B.; Peng, Y.; Huang, C.; Xu, Z.; Ni, X.; Yang, Y.; Zhou, W.; Zhang, L.; et al. Immobilization of heavy metals during aquatic and terrestrial litter decomposition in an alpine forest. Chemosphere 2019, 216, 419–427. [Google Scholar] [CrossRef] [PubMed]
- Nieminen, M.; Sarkkola, S.; Tolvanen, A.; Tervahauta, A.; Saarimaa, M.; Sallantaus, T. Water quality management dilemma: Increased nutrient, carbon, and heavy metal exports from forestry-drained peatlands restored for use as wetland buffer areas. For. Ecol. Manag. 2020, 465, 118089. [Google Scholar] [CrossRef]
- Geology of Oil and Gas in Western Siberia; Nedra: Moscow, Russia, 1975; 679p. (In Russian)
- Evseeva, N.S.; Sinyutkina, A.A.; Kharanzhevskaya, Y.A.; Voistinova, E.S.; Romashova, T.V.; Khromykh, V.V.; Zemtsov, V.A.; Sorokin, I.B.; Guzova, E.N.; Sirotina, E.A.; et al. Landscape of the Mires in Tomsk Region; Publishing House of NTL: Tomsk, Russia, 2012; 400p. (In Russian) [Google Scholar]
- Kharanzhevskaya, Y.A.; Sinyutkina, A.A. Investigating the role of bogs in the streamflow formation within the Middle Ob basin. Geogr. Nat. Resour. 2017, 38, 256–266. [Google Scholar] [CrossRef]
- Kharanzhevskaya, Y.; Maloletko, A.; Sinyutkina, A.; Giełczewski, M.; Kirschey, T.; Michałowski, R.; Mirosław-Świątek, D.; Okruszko, T.; Osuch, P.; Trandziuk, P.; et al. Assessing mire-river interaction in a pristine Siberian bog-dominated watershed—Case study of a part of the Great Vasyugan Mire, Russia. J. Hydrol. 2020, 590, 125315. [Google Scholar] [CrossRef]
- Berezin, A.E.; Bazanov, V.A.; Skugarev, A.A.; Rybina, T.A.; Parshina, N.V. Great Vasyugan Mire: Landscape structure and peat deposit structure features. Int. J. Environ. Stud. 2014, 71, 618–623. [Google Scholar] [CrossRef]
- Sinyutkina, A.A.; Gashkova, L.P.; Koronatova, N.G.; Maloletko, A.A.; Mironycheva-Tokareva, N.P.; Russkikh, I.V.; Serebrennikova, O.V.; Strel’nikova, E.B.; Vishnyakova, E.K.; Kharanzhevskaya, Y.A. Post-fire ecological consequences within the drained site of the Great Vasyugan Mire: Retrospective water-thermal regime and pyrogenic disturbance estimation. IOP Conf. Ser. Earth Environ. Sci. 2020, 408, 012037. [Google Scholar] [CrossRef]
- Sinyutkina, A.A.; Kharanzhevskaya, Y.A. Monitoring of atmospheric deposition of Zn, Cu, Cd, and Pb within the area of the Great Vasyugan mire. Atmos. Ocean. Opt. 2020, 33, 500–504. [Google Scholar] [CrossRef]
- Russkikh, I.V.; Strel’nikova, E.B.; Serebrennikova, O.V.; Voistinova, E.S.; Kharanzhevskaya, Y.A. Identification of Hydrocarbons in the Waters of Raised Bogs in the Southern Taiga of Western Siberia. Geochem. Int. 2020, 58, 447–455. [Google Scholar] [CrossRef]
- Reheis, M.S. Dust Deposition in Nevada, California and Utah, 1984–2002; Open-File Report 03-138; U.S. Geological Survey: Reston, VA, USA, 2003; 11p. [Google Scholar]
- Reheis, M.C.; Kihl, R. Dust deposition in southern Nevada and California, 1984–1989: Relations to climate, source areas, and source lithology. J. Geophys. Reseach 1995, 100, 8893–8918. [Google Scholar] [CrossRef]
- Bazarov, A.V.; Badmaev, N.B.; Kurakov, S.A.; Gonchikov, B.-M.N. Mobile Measurement System for the Coupled Monitoring of Atmospheric and Soil Parameters. Russ. Meteorol. Hydrol. 2018, 43, 271–275. [Google Scholar] [CrossRef]
- Brekken, A.; Steinnes, E. Seasonal concentrations of cadmium and zinc in native pasture plants: Consequences for grazing animals. Sci. Total Environ. 2004, 326, 181–195. [Google Scholar] [CrossRef]
- Solonevich, N.G. On the method of determining the biological productivity of plant communities within bogs. Bot. J. 1971, 4, 497–511. (In Russian) [Google Scholar]
- Harmens, H.; Norris, D. The Participants of the Moss Survey Spatial and Temporal Trends in Heavy Metal Accumulation in Mosses in Europe (1990–2005). In Programme Coordination Centre for the ICP Vegetation; Centre for Ecology & Hydrology: Bangor, UK, 2008. [Google Scholar]
- Kyllönen, K.; Karlsson, V.; Ruoho-Airola, T. Trace element deposition and trends during a ten year period in Finland. Sci. Total Environ. 2009, 407, 2260–2269. [Google Scholar] [CrossRef] [PubMed]
- Shotyk, W.; Appleby, P.G.; Bicalho, B.; Davies, L.J.; Froese, D.; Grant-Weaver, I.; Magnan, G.; Mullan-Boudreau, G.; Noernbery, T.; Pelletier, R.; et al. Peat bogs document decades of declining atmospheric contamination by trace metals in the Athabasca Bituminous Sands Region. Environ. Sci. Technol. 2017, 51, 6237–6249. [Google Scholar] [CrossRef]
- Pratte, S.; Bao, K.S.; Shen, J.; Mackenzie, L.; Klamt, A.M.; Wang, G.P.; Xing, W. Recent atmospheric metal deposition in peatlands of northeast China: A review. Sci. Total Environ. 2018, 626, 1284–1294. [Google Scholar] [CrossRef]
- Guo, B.; Wang, J.; Lin, C.; He, M.; Ouyang, W. Anthropogenic and lithogenic fluxes of atmospheric lead deposition over the past 3600 years from a peat bog, Changbai Mountains, China. Chemosphere 2019, 227, 225–236. [Google Scholar] [CrossRef] [PubMed]
- Sodango, T.H.; Li, X.; Sha, J.; Bao, Z. Review of the spatial distribution, source and extent of heavy metal pollution of soil in China: Impacts and mitigation approaches. J. Health Pollut. 2018, 8, 53–70. [Google Scholar] [CrossRef]
- Fiałkiewicz-Kozieł, B.; Smieja-Król, B.; Frontasyeva, M.; Słowiński, M.; Marcisz, K.; Lapshina, E.; Gilbert, D.; Buttler, A.; Jassey, V.E.J.; Kaliszan, K.; et al. Anthropogenic- and natural sources of dust in peatland during the Anthropocene. Sci. Rep. 2016, 6, 38731. [Google Scholar] [CrossRef]
- Mezhibor, A.; Arbuzov, S.; Rikhvanov, L.; Gauthier-Lafaye, F. History of the pollution in Tomsk Region (Siberia, Russia) according to the study of high-moor peat formations. Int. J. Geosci. 2011, 2, 493–501. [Google Scholar] [CrossRef]
- Veretennikova, E.E. Lead in the natural peat cores of ridge-hollow complex in the taiga zone of West Siberia. Ecol. Eng. 2015, 80, 100–107. [Google Scholar] [CrossRef]
- Veretennikova, E.E.; Kuryina, I.V.; Dyukarev, E.A.; Golovatskaya, E.A.; Smirnov, S.V. Geochemical Features of Peat Deposits at Oligotrophic Bogs in the Southern Taiga Subzone of West Siberia. Geochem. Int. 2021, 59, 618–631. [Google Scholar] [CrossRef]
- Rogova, N.S.; Ryzhakova, N.K.; Borisenko, A.L. Effect of placement conditions for active monitoring of trace element with the epiphytic moss. Environ. Monit. Assess. 2018, 190, 733. [Google Scholar] [CrossRef]
- Talovskaya, A.V.; Osipova, N.A.; Filimonenko, E.A.; Polikanova, S.A.; Samokhina, N.P.; Yazikov, E.G.; Matveenko, I.A. Fluorine concentration in snow cover within the impact area of aluminium production plant (Krasnoyarsk city) and coal and gas-fired power plant (Tomsk city). IOP Conf. Ser. Earth Environ. Sci. 2015, 27, 12043. [Google Scholar] [CrossRef]
- Talovskaya, A.V.; Filimonenko, E.A.; Osipova, N.A.; Yazikov, E.G.; Nadeina, L.V. Dust pollution of snow cover in the industrial areas of Tomsk city (Western Siberia, Russia). IOP Conf. Ser. Earth Environ. Sci. 2016, 33, 12024. [Google Scholar] [CrossRef]
- Mahowald, N.M.; Kloster, S.; Engelstaedter, S.; Moore, J.K.; Mukhopadhyay, S.; McConnell, J.R.; Albani, S.; Doney, S.C.; Bhattacharya, A.; Curran, M.A.J.; et al. Observed 20th century desert dust variability: Impact on climate and biogeochemistry. Atmos. Chem. Phys. 2010, 10, 10875–10893. [Google Scholar] [CrossRef]
- Belan, B.D.; Buchelnikov, V.S.; Lysova, V.F.; Simonenkov, D.V.; Talovskaya, A.V.; Tentyukov, M.P.; Yazikov, E.G. Estimation of the Effect of Meteorological and Orographic Conditions on Aerosol Contamination of the Snow Cover in the South of Tomsk Region. Atmos. Ocean Opt. 2018, 31, 656–664. [Google Scholar] [CrossRef]
- Moskovchenko, D.V. Biogeochemical properties of raised bog of West Siberia. Geogr. Nat. Resour. 2006, 1, 63–70. (In Russian) [Google Scholar]
- Moskovchenko, D.V.; Babushkin, A.G. Peculiarities of formation of chemical composition of snow waters (on example of Khanty-Mansi autonomous district). Earth Cryosphere 2012, 16, 71–81. (In Russian) [Google Scholar]
- Ryzhakova, N.K.; Rogova, N.S.; Borisenko, A.L. Research of Mosses Accumulation Properties Used for Assessment of Regional and Local Atmospheric Pollution. Environ. Res. Eng. Manag. 2014, 3, 84–91. [Google Scholar] [CrossRef]
- State Report About State and Environmental Protection of the Tomsk Region in 2017; Luneva, Y.V., Ed.; Department of Natural Resources and Environmental Protection of Tomsk Region, Obkompriroda, Deltoplan: Tomsk, Russia, 2018; 158p. (In Russian) [Google Scholar]
- Nieminen, T.; Ukonmaanaho, L.; Shotyk, W. Enrichments of Cu, Ni, Zn, Pb and As in an ombrotrophic peat bog near a Cu-Ni smelter in Southwest Finland. Sci. Total Environ. 2002, 292, 81–89. [Google Scholar] [CrossRef]
- Barrett, S.E.; Watmough, S.A. Factors controlling peat chemistry and vegetation composition in Sudbury peatlands after 30 years of pollution emission reductions. Environ. Pollut. 2015, 206, 122–132. [Google Scholar] [CrossRef]
- Galloway, J.N.; Thornton, J.D.; Norton, S.A.; Volchok, H.L.; McLean, R.A.N. Trace metals in atmospheric deposition: A review and assessment. Atmos. Environ. 1982, 16, 1677–1700. [Google Scholar] [CrossRef]
- Lawlor, A.J.; Tipping, E. Metals in bulk deposition and surface waters at two upland locations in northern England. Environ. Pollut. 2003, 121, 153–167. [Google Scholar] [CrossRef]
- Baltrėnaitė, E.; Baltrėnas, P.; Lietuvninkas, A.; Šerevičienė, V.; Zuokaitė, E. Integrated evaluation of aerogenic pollution by air-transported heavy metals (Pb, Cd, Ni, Zn, Mn and Cu) in the analysis of the main deposit media. Environ. Sci. Pollut. Res. 2013, 21, 299–313. [Google Scholar] [CrossRef]
- Nicholson, F.A.; Smith, S.R.; Alloway, B.J.; Carlton, C.; Chambers, B.J. An inventory of heavy metals inputs to agricultural soils in England and Wales. Sci. Total Environ. 2003, 311, 205–219. [Google Scholar] [CrossRef]
- Hovmand, M.F.; Kemp, K.; Kystol, J.; Johnsen, I.; Riis-Nielsen, T.; Pacyna, J.M. Atmospheric heavy metal deposition accumulated in rural forest soils of southern Scandinavia. Environ. Pollut. 2008, 155, 537–541. [Google Scholar] [CrossRef]
- Szkokan-Emilson, E.J.; Watmough, S.A.; Gunn, J.M. Wetlands as long-term sources of metals to receiving waters in mining-impacted landscapes. Environ. Pollut. 2014, 192, 91–103. [Google Scholar] [CrossRef]
- Yamasoe, M.A.; Artaxo, P.; Miguel, A.H.; Allen, A. G Chemical composition of aerosol particles from direct emissions of vegetation fires in the Amazon Basin: Water-soluble species and trace elements. Atmos. Environ. 2000, 34, 1641–1653. [Google Scholar] [CrossRef]
- Shcherbov, B.L.; Lazareva, E.V. Migration factors of radionuclides and heavy metals during forest fires in Siberia. Adv. Environ. Res. 2010, 4, 99–119. (In Russian) [Google Scholar]
- Shcherbov, B.L. The role of forest floor in migration of metals and artificial nuclides during forest fires in Siberia. Contemp. Probl. Ecol. 2012, 5, 191. (In Russian) [Google Scholar] [CrossRef]
- Paramonov, E.G.; Ishutin, Y.N. Large Forest Fires in the Altai Territory; Delta: Barnaul, Russia, 1999; 193p. (In Russian) [Google Scholar]
- Shcherbov, B.L.; Lazareva, E.V.; Zhurkova, I.S. Forest Fires and Their Consequences (on the Example of Siberian Objects); Geo: Novosibirsk, Russia, 2015; 154p. (In Russian) [Google Scholar]
- Szkokan-Emilson, E.J.; Kielstra, B.; Watmough, S.; Gunn, J. Drought-induced release of metals from peatlands in watersheds recovering from historical metal and Sulphur deposition. Biogeochemistry 2013, 116, 131–145. [Google Scholar] [CrossRef]
- Bleuten, W.; Zarov, E.; Schmitz, O. A high-resolution transient 3-dimensional hydrological model of an extensive undisturbed bog complex in West Siberia. Mires Peat 2020, 26, 25. [Google Scholar] [CrossRef]
- Kempter, H.; Krachler, M.; Shotyk, W.; Zaccone, C. Major and trace elements in Sphagnum moss from four southern German bogs, and comparison with available moss monitoring data. Ecol. Indic. 2017, 78, 19–25. [Google Scholar] [CrossRef]
- Kabata-Pendias, A. Trace Elements in Soils and Plants, 4th ed.; CRC Press, Taylor and Francis Group: Boca Raton, FL, USA, 2011; 520p. [Google Scholar]
- Yang, H.; Rose, N.L.; Boyle, J.F.; Battarbee, R.W. Storage and distribution of trace metals and spheroidal carbonaceous particles (SCPs) from atmospheric deposition in the catchment peats of Lochnagar, Scotland. Environ. Pollut. 2001, 115, 231–238. [Google Scholar] [CrossRef]
- Rausch, N.; Ukonmaanaho, L.; Nieminen, T.; Krachler, M.; Shotyk, W. Porewater evidence of metal (Cu, Ni, Co, Zn, Cd) mobilization in an acidic, ombrotrophic bog impacted by a smelter, Harjavalta, Finland and comparison with references sites. Environ. Sci. Technol. 2005, 39, 8207–8213. [Google Scholar] [CrossRef] [PubMed]
- MacKenzie, A.; Logan, E.M.; Cook, G.; Pulford, I. A historical record of atmospheric depositional fluxes of contaminants in west-central Scotland derived from an ombrotrophic peat core. Sci. Total Environ. 1998, 222, 157–166. [Google Scholar] [CrossRef]
- Lodygin, E.D.; Alekseev, I.I.; Vasilevich, R.S.; Abakumov, E.V. Complexation of lead and cadmium ions with humic acids from arctic peat soils. Environ. Res. 2020, 191, 110058. [Google Scholar] [CrossRef]
- Maloletko, A.A.; Sinyutkina, A.A.; Gashkova, L.P.; Kharanzhevskaya, Y.A.; Magur, M.G.; Voistinova, E.S.; Ivanova, E.S.; Chudinovskaya, L.A.; Khaustova, A.A. Effects of long-term drainage on vegetation, surface topography, hydrology and water chemistry of north-eastern part of Great Vasyugan Mire (Western Siberia). IOP Conf. Ser. Earth Environ. Sci. 2018, 211, 12033. Available online: http://iopscience.iop.org/article/10.1088/1755-1315/211/1/012033 (accessed on 20 March 2023). [CrossRef]
- Ukonmaanaho, L.; Starr, M.; Mannio, J.; Ruoho-Airola, T. Heavy metal budgets for two headwater forested catchments in background areas of Finland. Environ. Pollut. 2001, 114, 63–75. [Google Scholar] [CrossRef] [PubMed]
- Bringmark, L.; Lundin, L.; Augustaitis, A.; Beudert, B.; Dieffenbach-Fries, H.; Dirnböck, T.; Grabner, M.-T.; Hutchins, M.; Kram, P.; Lyulko, I.; et al. Trace Metal Budgets for Forested Catchments in Europe—Pb, Cd, Hg, Cu and Zn. Water Air Soil Pollut. 2013, 224, 1502. [Google Scholar] [CrossRef]





Disclaimer/Publisher’s Note: The statements, opinions and data contained in all publications are solely those of the individual author(s) and contributor(s) and not of MDPI and/or the editor(s). MDPI and/or the editor(s) disclaim responsibility for any injury to people or property resulting from any ideas, methods, instructions or products referred to in the content. |
© 2023 by the authors. Licensee MDPI, Basel, Switzerland. This article is an open access article distributed under the terms and conditions of the Creative Commons Attribution (CC BY) license (https://creativecommons.org/licenses/by/4.0/).
Share and Cite
Kharanzhevskaya, Y.; Gashkova, L.; Sinyutkina, A.; Kvasnikova, Z. Assessment of Present-Day Heavy Metals Pollution and Factors Controlling Surface Water Chemistry of Three Western Siberian Sphagnum-Dominated Raised Bogs. Water 2023, 15, 1869. https://doi.org/10.3390/w15101869
Kharanzhevskaya Y, Gashkova L, Sinyutkina A, Kvasnikova Z. Assessment of Present-Day Heavy Metals Pollution and Factors Controlling Surface Water Chemistry of Three Western Siberian Sphagnum-Dominated Raised Bogs. Water. 2023; 15(10):1869. https://doi.org/10.3390/w15101869
Chicago/Turabian StyleKharanzhevskaya, Yulia, Lyudmila Gashkova, Anna Sinyutkina, and Zoya Kvasnikova. 2023. "Assessment of Present-Day Heavy Metals Pollution and Factors Controlling Surface Water Chemistry of Three Western Siberian Sphagnum-Dominated Raised Bogs" Water 15, no. 10: 1869. https://doi.org/10.3390/w15101869
APA StyleKharanzhevskaya, Y., Gashkova, L., Sinyutkina, A., & Kvasnikova, Z. (2023). Assessment of Present-Day Heavy Metals Pollution and Factors Controlling Surface Water Chemistry of Three Western Siberian Sphagnum-Dominated Raised Bogs. Water, 15(10), 1869. https://doi.org/10.3390/w15101869

