The Long-Term Effects of Dredging on Chromium Pollution in the Sediment of Meiliang Bay, Lake Taihu, China
Abstract
1. Introduction
2. Materials and Methods
2.1. Study Site and Sampling
2.2. Sample Analyses
2.3. Statistical Analyses
3. Results and Discussion
3.1. The Total Dissolved Cr and DGT-Labile Cr(VI) Concentration in Overlying Water and Sediments in the Non-Dredged and Dredged Sites
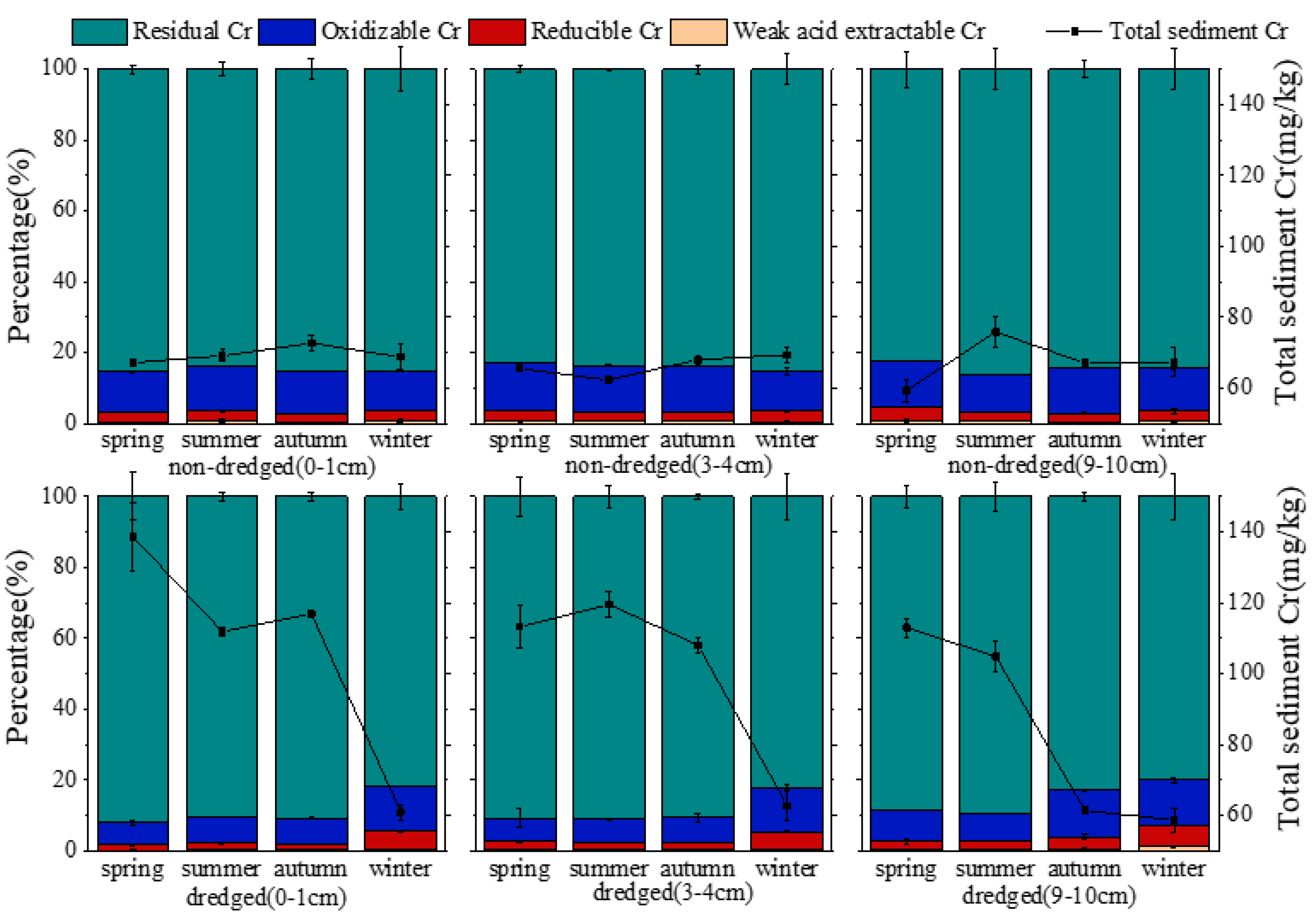
3.2. Total Sediment Cr Concentrations and Fractions in the Non-Dredged and Dredged Sediments
3.3. The Kinetics of Cr Mobilization
4. Conclusions
Supplementary Materials
Author Contributions
Funding
Institutional Review Board Statement
Informed Consent Statement
Data Availability Statement
Acknowledgments
Conflicts of Interest
References
- Lau, S.; Lane, S. Biological and chemical factors influencing shallow lake eutrophication: A long-term study. Sci. Total. Environ. 2002, 288, 167–181. [Google Scholar] [CrossRef]
- Moore, J.W.; Schindler, D.E.; Scheuerell, M.D.; Smith, D.; Frodge, J. Lake Eutrophication at the Urban Fringe, Seattle Region, USA. Ambio 2003, 32, 13–18. [Google Scholar] [CrossRef] [PubMed]
- Liu, C.; Shao, S.; Shen, Q.; Fan, C.; Zhou, Q.; Yin, H.; Xu, F. Use of multi-objective dredging for remediation of contaminated sediments: A case study of a typical heavily polluted confluence area in China. Environ. Sci. Pollut. Res. 2015, 22, 17839–17849. [Google Scholar] [CrossRef]
- Gorny, J.; Billon, G.; Noiriel, C.; Dumoulin, D.; Lesven, L.; Madé, B. Chromium behavior in aquatic environments: A review. Environ. Rev. 2016, 24, 503–516. [Google Scholar] [CrossRef]
- Besser, J.M.; Brumbaugh, W.G.; Kemble, N.E.; May, T.W.; Ingersoll, C.G. Effects of Sediment Characteristics on the Toxicity of Chromium(III) and Chromium(VI) to the Amphipod, Hyalella azteca. Environ. Sci. Technol. 2004, 38, 6210–6216. [Google Scholar] [CrossRef]
- Yu, J.; Fan, C.; Zhong, J.; Zhang, L.; Zhang, L.; Wang, C.; Yao, X. Effects of sediment dredging on nitrogen cycling in Lake Taihu, China: Insight from mass balance based on a 2-year field study. Environ. Sci. Pollut. Res. 2015, 23, 3871–3883. [Google Scholar] [CrossRef]
- Mao, Z.-G.; Gu, X.-H.; Lu, X.-M.; Zeng, Q.; Gu, X.; Li, X. Pollution distribution and potential ecological risk assessment of heavy metals in sediments from the different eastern dredging regions of Lake Taihu. Huanjing Kexue 2014, 35, 186–193. [Google Scholar]
- Jiang, X.; Shi, Z.; Liu, F.; Chen, C.; Jin, X. Effects of Dredging on Speciation and Bio-Toxicity of Heavy Metals in the Surface Sediment from Meiliang Bay, Taihu Lake. Res. Environ. Sci. 2010, 23, 1151–1157. [Google Scholar]
- De Jonge, M.; Teuchies, J.; Meire, P.; Blust, R.; Bervoets, L. The impact of increased oxygen conditions on metal-contaminated sediments part I: Effects on redox status, sediment geochemistry and metal bioavailability. Water Res. 2012, 46, 2205–2214. [Google Scholar] [CrossRef] [PubMed]
- Gustafsson, J.P.; Persson, I.; Oromieh, A.G.; Van Schaik, J.W.J.; Sjöstedt, C.; Kleja, D.B. Chromium(III) Complexation to Natural Organic Matter: Mechanisms and Modeling. Environ. Sci. Technol. 2014, 48, 1753–1761. [Google Scholar] [CrossRef] [PubMed]
- Puzon, G.J.; Tokala, R.K.; Zhang, H.; Yonge, D.; Peyton, B.M.; Xun, L. Mobility and recalcitrance of organo–chromium(III) complexes. Chemosphere 2008, 70, 2054–2059. [Google Scholar] [CrossRef] [PubMed]
- Ding, S.; Xu, D.; Sun, Q.; Yin, H.; Zhang, C. Measurement of Dissolved Reactive Phosphorus Using the Diffusive Gradients in Thin Films Technique with a High-Capacity Binding Phase. Environ. Sci. Technol. 2010, 44, 8169–8174. [Google Scholar] [CrossRef]
- Xu, D.; Wu, W.; Ding, S.; Sun, Q.; Zhang, C. A high-resolution dialysis technique for rapid determination of dissolved reactive phosphate and ferrous iron in pore water of sediments. Sci. Total. Environ. 2012, 421, 245–252. [Google Scholar] [CrossRef] [PubMed]
- Devillers, D.; Buzier, R.; Simon, S.; Charriau, A.; Guibaud, G. Simultaneous measurement of Cr(III) and Cr(VI) in freshwaters with a single Diffusive Gradients in Thin Films device. Talanta 2016, 154, 533–538. [Google Scholar] [CrossRef] [PubMed]
- Wang, Y.; Ding, S.; Shi, L.; Gong, M.; Xu, S.; Zhang, C. Simultaneous measurements of cations and anions using diffusive gradients in thin films with a ZrO-Chelex mixed binding layer. Anal. Chim. Acta 2017, 972, 1–11. [Google Scholar] [CrossRef] [PubMed]
- Chengxin, F.; Shang, J.; Lu, X.; Fan, C. Effects of sludge dredging on the prevention and control of algae-caused black bloom in Taihu Lake, China. J. Environ. Sci. 2013, 25, 430–440. [Google Scholar] [CrossRef]
- Qin, B.; Xu, P.; Wu, Q.; Luo, L.; Zhang, Y. Environmental issues of Lake Taihu, China. Hydrobiol. 2007, 581, 3–14. [Google Scholar] [CrossRef]
- Wenchuan, Q.; Dickman, M.; Sumin, W. Multivariate analysis of heavy metal and nutrient concentrations in sediments of Taihu Lake, China*. Hydrobiol. 2001, 450, 83–89. [Google Scholar] [CrossRef]
- Wang, Z.; Li, D.; Qin, H.; Li, Y. An integrated method for removal of harmful cyanobacterial blooms in eutrophic lakes. Environ. Pollut. 2012, 160, 34–41. [Google Scholar] [CrossRef]
- Sun, Q.; Ding, S.; Chen, M.; Gao, S.; Lu, G.; Wu, Y.; Gong, M.; Wang, D.; Wang, Y. Long-term effectiveness of sediment dredging on controlling the contamination of arsenic, selenium, and antimony. Environ. Pollut. 2019, 245, 725–734. [Google Scholar] [CrossRef]
- Bettinelli, M.; Beone, G.; Spezia, S.; Baffi, C. Determination of heavy metals in soils and sediments by microwave-assisted digestion and inductively coupled plasma optical emission spectrometry analysis. Anal. Chim. Acta 2000, 424, 289–296. [Google Scholar] [CrossRef]
- Rauret, G.; López-Sánchez, J.F.; Sahuquillo, A.; Rubio, R.; Davidson, C.; Ure, A.; Quevauviller, P. Improvement of the BCR three step sequential extraction procedure prior to the certification of new sediment and soil reference materials. J. Environ. Monit. 1999, 1, 57–61. [Google Scholar] [CrossRef]
- Harper, M.P.; Davison, W.; Tych, W. DIFS—a modelling and simulation tool for DGT induced trace metal remobilisation in sediments and soils. Environ. Model. Softw. 2000, 15, 55–66. [Google Scholar] [CrossRef]
- Fan, X.; Ding, S.; Chen, M.; Gao, S.; Fu, Z.; Gong, M.; Tsang, D.C.; Wang, Y.; Zhang, C. Peak Chromium Pollution in Summer and Winter Caused by High Mobility of Chromium in Sediment of a Eutrophic Lake: In Situ Evidence from High Spatiotemporal Sampling. Environ. Sci. Technol. 2019, 53, 4755–4764. [Google Scholar] [CrossRef] [PubMed]
- Jalil, A.; Li, Y.; Zhang, K.; Gao, X.; Wang, W.; Khan, H.O.S.; Pan, B.; Ali, S.; Acharya, K. Wind-induced hydrodynamic changes impact on sediment resuspension for large, shallow Lake Taihu, China. Int. J. Sediment. Res. 2019, 34, 205–215. [Google Scholar] [CrossRef]
- Zheng, S.; Wang, P.; Wang, C.; Hou, J.; Qian, J. Distribution of metals in water and suspended particulate matter during the resuspension processes in Taihu Lake sediment, China. Quat. Int. 2013, 286, 94–102. [Google Scholar] [CrossRef]
- Wang, H.; Zhou, Y.; Wang, X. Transport Dynamics of Cr and Zn Between Deposited Sediment and Overlying Water. CLEAN Soil Air Water 2016, 44, 1453–1460. [Google Scholar] [CrossRef]
- Villanueva, J.D.; Granger, D.; Binet, G.; Litrico, X.; Huneau, F.; Peyraube, N.; Le Coustumer, P. Labile trace metal contribution of the runoff collector to a semi-urban river. Environ. Sci. Pollut. Res. 2016, 23, 11298–11311. [Google Scholar] [CrossRef]
- Zhang, L.; Zhao, B.; Xu, G.; Guan, Y. Characterizing fluvial heavy metal pollutions under different rainfall conditions: Implication for aquatic environment protection. Sci. Total. Environ. 2018, 635, 1495–1506. [Google Scholar] [CrossRef] [PubMed]
- Qin, B.; Yang, G.; Ma, J.; Wu, T.; Li, W.; Liu, L.; Deng, J.; Zhou, J. Spatiotemporal Changes of Cyanobacterial Bloom in Large Shallow Eutrophic Lake Taihu, China. Front. Microbiol. 2018, 9, 451. [Google Scholar] [CrossRef]
- Kikuchi, T.; Tanaka, S. Biological Removal and Recovery of Toxic Heavy Metals in Water Environment. Crit. Rev. Environ. Sci. Technol. 2012, 42, 1007–1057. [Google Scholar] [CrossRef]
- Chen, M.; Ding, S.; Gao, S.; Fu, Z.; Tang, W.; Wu, Y.; Gong, M.; Wang, D.; Wang, Y. Efficacy of dredging engineering as a means to remove heavy metals from lake sediments. Sci. Total. Environ. 2019, 665, 181–190. [Google Scholar] [CrossRef] [PubMed]
- Zhou, A.; Tang, H.; Wang, D. Phosphorus adsorption on natural sediments: Modeling and effects of pH and sediment composition. Water Res. 2005, 39, 1245–1254. [Google Scholar] [CrossRef] [PubMed]
- Harper, M.P.; Davison, W.; Zhang, H.; Tych, W. Kinetics of metal exchange between solids and solutions in sediments and soils interpreted from DGT measured fluxes. Geochim. Cosmochim. Acta 1998, 62, 2757–2770. [Google Scholar] [CrossRef]




| Quality Standards | Parameters | Criterion Value |
|---|---|---|
| 1 | Total dissolved Cr | 100 μg/L |
| 2 | Cr(VI) | 50 μg/L |
| 3 | Total sediment Cr | 150 mg/kg |
| Depth | Parameters | Spring | Summer | Autumn | Winter | |||||
|---|---|---|---|---|---|---|---|---|---|---|
| Non-Dredged | Dredged | Nondredged | Dredged | Nondredged | Dredged | Nondredged | Dredged | |||
| 0–1 cm | In put | R | 0.11 | 0.07 | 0.06 | 0.06 | 0.33 | 0.12 | 0.24 | 0.50 |
| Kd (cm3/g) | 6.55 | 4.07 | 5.88 | 5.63 | 9.04 | 4.23 | 4.74 | 4.76 | ||
| Out put | Tc (s) | 5.48 × 104 | 1.00 × 107 | 1.00 × 107 | 1.00 × 107 | 0.09 | 2.69 × 104 | 0.01 | 2.89 | |
| k1 (/s) | 1.02 × 10−6 | 1.28 × 10−8 | 6.73 × 10−9 | 7.27 × 10−9 | 0.36 | 4.44 × 10−6 | 10.90 | 0.03 | ||
| k−1 (/s) | 3.83 × 10−6 | 2.99 × 10−8 | 2.28 × 10−8 | 2.36 × 10−8 | 1.88 | 1.08 × 10−5 | 29.75 | 0.09 | ||
| 3–4 cm | In put | R | 0.1 | 0.09 | 0.06 | 0.05 | 0.23 | 0.15 | 0.26 | 0.29 |
| Kd (cm3/g) | 8.07 | 9.09 | 4.03 | 4.06 | 12.65 | 6.81 | 3.41 | 3.46 | ||
| Out put | Tc (s) | 1.14 × 105 | 3.29 × 105 | 1.00 × 107 | 1.00 × 107 | 1.21 | 1.26 × 104 | 0.04 | 0.05 | |
| k1 (/s) | 3.33 × 10−7 | 9.32 × 10−8 | 1.3 × 10−8 | 1.28 × 10−8 | 0.01 | 4.11 × 10−6 | 4.34 | 3.67 | ||
| k−1 (/s) | 1.55 × 10−6 | 4.88 × 10−7 | 3.01 × 10−8 | 3.00 × 10−8 | 0.10 | 1.61 × 10−5 | 8.54 | 7.31 | ||
Publisher’s Note: MDPI stays neutral with regard to jurisdictional claims in published maps and institutional affiliations. |
© 2021 by the authors. Licensee MDPI, Basel, Switzerland. This article is an open access article distributed under the terms and conditions of the Creative Commons Attribution (CC BY) license (http://creativecommons.org/licenses/by/4.0/).
Share and Cite
Gao, S.; Xing, X.; Ding, S.; Fan, X. The Long-Term Effects of Dredging on Chromium Pollution in the Sediment of Meiliang Bay, Lake Taihu, China. Water 2021, 13, 327. https://doi.org/10.3390/w13030327
Gao S, Xing X, Ding S, Fan X. The Long-Term Effects of Dredging on Chromium Pollution in the Sediment of Meiliang Bay, Lake Taihu, China. Water. 2021; 13(3):327. https://doi.org/10.3390/w13030327
Chicago/Turabian StyleGao, Shuaishuai, Xigang Xing, Shiming Ding, and Xianfang Fan. 2021. "The Long-Term Effects of Dredging on Chromium Pollution in the Sediment of Meiliang Bay, Lake Taihu, China" Water 13, no. 3: 327. https://doi.org/10.3390/w13030327
APA StyleGao, S., Xing, X., Ding, S., & Fan, X. (2021). The Long-Term Effects of Dredging on Chromium Pollution in the Sediment of Meiliang Bay, Lake Taihu, China. Water, 13(3), 327. https://doi.org/10.3390/w13030327

