Hydrological Response of the Kunhar River Basin in Pakistan to Climate Change and Anthropogenic Impacts on Runoff Characteristics
Abstract
1. Introduction
2. Materials and Methods
2.1. Study Area
2.2. Datasets and Pre-Processing
2.3. Methods
2.3.1. Mann Kendall Trend Test
2.3.2. Innovative Trend Analysis
2.4. Change Point Analysis
2.5. Double Mass Curve Analysis
2.6. Flow Duration Curve
2.7. Eco-Hydrological Framework
2.8. Climate Elasticity Model
2.9. Statistical Model
2.10. Hydrological Modeling
2.10.1. Model Setup
2.10.2. Model Performance and Evaluation Criteria
3. Results and Discussion
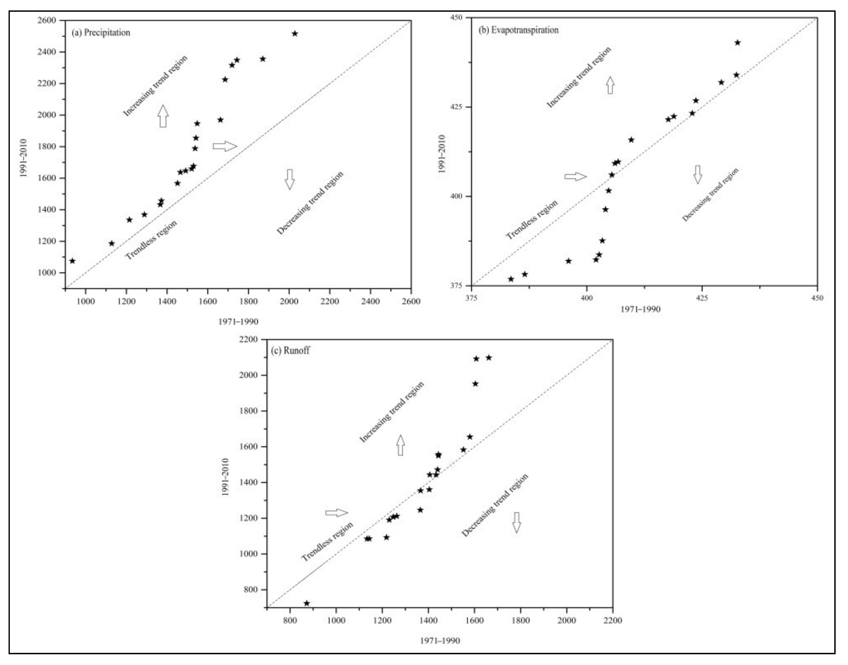
3.1. Trends in Hydro-Climatic Variables
3.2. Abrupt Changes in the Hydrological Time Series
3.3. Runoff Response to Climate Change and Anthropogenic Activities using Different Methods
3.4. Discussion
3.5. Comparison with Other River Basins
4. Conclusions
- The MK trend test and the ITA technique revealed statistically significant increases in both precipitation and evapotranspiration over the study region but no trend in runoff during the period 1971 to 2010.
- A change point analysis identified a change in the annual runoff time series in 1996. This abrupt change in 1996 was also observed using the double mass and flow duration curves
- The time series was divided into two time-periods: 1971–1996 and 1997–2010. The MK test applied over those two time-period revealed statistically significant increasing tends in precipitation and runoff, and a decreasing trend in evapotranspiration, although lacking statistical significance during the pre-change period. During the post-change period, only an increasing trend in runoff was found to be statistically significant; no trend was seen in the evapotranspiration time series, while the increasing trend in precipitation was not found to be statistically significant.
- An eco-hydrological framework showed a decrease in both excess energy and excess water between two time periods, implying an evident contribution from anthropogenic activities to variations in runoff in the KRB.
- A climate elasticity model quantified the relative contribution of climate change and anthropogenic activities (25% and 75% respectively) to the variability of streamflow in the KRB.
- The statistical model developed in this paper estimated a 95% contribution from anthropogenic sources and a 5% contribution from climate change to streamflow variability in the KRB.
- The method used to reconstruct natural runoff estimated a 16.1 m3/s (or 15.3%) reduction in the mean flow of the KRB during the post-change period in comparison to the pre-change period of which, −76% changes was calculated to be due to climate change and 176% to changes in anthropogenic activities over the catchment.
- Overall, it is concluded role of anthropogenic activities was evident in terms of runoff variability in the KRB in comparison to climate change, especially since 1996.
- This study quantified the impacts of climate change and anthropogenic activities on the streamflow of the KRB using the different techniques and identifies the areas that have experienced most change within the basin.
- The results of this study improved our understanding of the main cause of streamflow variability in the KRB, which will help with the planning of water management strategies.
Supplementary Materials
Author Contributions
Funding
Institutional Review Board Statement
Informed Consent Statement
Data Availability Statement
Acknowledgments
Conflicts of Interest
Abbreviations
| KRB | Kunhar River Basin |
| SDGs | Sustainable Development Goals |
| ITA | Innovative Trend Analysis |
| MK | Mann Kendall |
| KPK | Khyber Pakhtunkhwa |
| DEM | Digital Elevation Model |
| ICIMOD | International Center for Integrated Mountain Development |
| WAPDA | Water and Power Development Authority |
| PMD | Pakistan Meteorological Department |
| CUSUM | Combinations of the Sum Boxes |
| FDC | Flow Duration Curve |
| PET | Potential Evapotranspiration |
| ET | Evapotranspiration |
| SWAT | Soil and Water Assessment Tool |
| HRUs | Hydrological Response Units |
| SCS | Soil Conservation Service |
| CN | Curve Number |
| SUFI | Sequential Uncertainty Fitting |
| NSE | Nash-Sutcliffe model efficiency |
| Cv | Coefficient of Variance |
| UN | United Nations |
References
- Roser, M. Human Development Index (HDI); Our World in Data: Oxford, UK, 2019. [Google Scholar]
- Lamichhane, S.; Shakya, N.M. Integrated Assessment of Climate Change and Land Use Change Impacts on Hydrology in the Kathmandu Valley Watershed, Central Nepal. Water 2019, 11, 2059. [Google Scholar] [CrossRef]
- Bissenbayeva, S.; Abuduwaili, J.; Saparova, A.; Ahmed, T. Long-term variations in runoff of the Syr Darya River Basin under climate change and human activities. J. Arid. Land 2021, 13, 56–70. [Google Scholar] [CrossRef]
- AghaKouchak, A.; Mirchi, A.; Madani, K.; di Baldassarre, G.; Nazemi, A.; Alborzi, A.; Anjileli, H.; Azarderakhsh, M.; Chiang, F.; Hassanzadeh, E.; et al. Anthropogenic Drought: Definition, Challenges, and Opportunities. Rev. Geophys. 2021, 59, e2019RG000683. [Google Scholar] [CrossRef]
- Dhaubanjar, S.; Lutz, A.F.; Gernaat, D.E.; Nepal, S.; Smolenaars, W.; Pradhananga, S.; Biemans, H.; Ludwig, F.; Shrestha, A.B.; Immerzeel, W.W. A systematic framework for the assessment of sustainable hydropower potential in a river basin—The case of the upper Indus. Sci. Total Environ. 2021, 786, 147142. [Google Scholar] [CrossRef] [PubMed]
- Wu, Y.; Huang, L.; Zhao, C.; Chen, M.; Ouyang, W. Integrating hydrological, landscape ecological, and economic assessment during hydropower exploitation in the upper Yangtze River. Sci. Total Environ. 2021, 767, 145496. [Google Scholar] [CrossRef] [PubMed]
- Liu, Q.; Niu, J.; Sivakumar, B.; Ding, R.; Li, S. Accessing future crop yield and crop water productivity over the Heihe River basin in northwest China under a changing climate. Geosci. Lett. 2021, 8, 2. [Google Scholar] [CrossRef]
- Pachauri, R.K.; Allen, M.R.; Barros, V.R.; Broome, J.; Cramer, W.; Christ, R.; van Ypserle, J.P. Climate Change: Synthesis Report. Contribution of Working Groups I, II and III to the Fifth Assessment Report of the Intergovernmental Panel on Climate Change; IPCC: Geneva, Switzerland, 2014; p. 151. [Google Scholar]
- Rahman, K.; da Silva, A.G.; Tejeda, E.M.; Gobiet, A.; Beniston, M.; Lehmann, A. An independent and combined effect analysis of land use and climate change in the upper Rhone River watershed, Switzerland. Appl. Geogr. 2015, 63, 264–272. [Google Scholar] [CrossRef]
- Canchala, T.; Cerón, W.L.; Francés, F.; Carvajal-Escobar, Y.; Andreoli, R.; Kayano, M.; Alfonso-Morales, W.; Caicedo-Bravo, E.; de Souza, R.F. Streamflow Variability in Colombian Pacific Basins and Their Teleconnections with Climate Indices. Water 2020, 12, 526. [Google Scholar] [CrossRef]
- Ghaderpour, E.; Vujadinovic, T.; Hassan, Q.K. Application of the Least-Squares Wavelet software in hydrology: Athabasca River Basin. J. Hydrol. Reg. Stud. 2021, 36, 100847. [Google Scholar] [CrossRef]
- Alifujiang, Y.; Abuduwaili, J.; Groll, M.; Issanova, G.; Maihemuti, B. Changes in intra-annual runoff and its response to climate variability and anthropogenic activity in the Lake Issyk-Kul Basin, Kyrgyzstan. Catena 2021, 198, 104974. [Google Scholar] [CrossRef]
- Jehanzaib, M.; Shah, S.A.; Kwon, H.-H.; Kim, T.-W. Investigating the influence of natural events and anthropogenic activities on hydrological drought in South Korea. Terr. Atmospheric Ocean. Sci. 2020, 31, 85–96. [Google Scholar] [CrossRef]
- Chung, E.-S.; Park, K.; Lee, K.S. The relative impacts of climate change and urbanization on the hydrological response of a Korean urban watershed. Hydrol. Process. 2011, 25, 544–560. [Google Scholar] [CrossRef]
- Saifullah, M.; Li, Z.; Li, Q.; Hashim, S.; Zaman, M. Quantifying the Hydrological Response to Water Conservation Measures and Climatic Variability in the Yihe River Basin, China. Outlook Agric. 2015, 44, 273–282. [Google Scholar] [CrossRef]
- Zaman, M.; Anjum, M.N.; Usman, M.; Ahmad, I.; Saifullah, M.; Yuan, S.; Liu, S. Enumerating the Effects of Climate Change on Water Resources Using GCM Scenarios at the Xin’anjiang Watershed, China. Water 2018, 10, 1296. [Google Scholar] [CrossRef]
- Wu, J.; Miao, C.; Zhang, X.; Yang, T.; Duan, Q. Detecting the quantitative hydrological response to changes in climate and human activities. Sci. Total Environ. 2017, 586, 328–337. [Google Scholar] [CrossRef]
- Magritskii, D.V. Anthropogenic impact on the runoff of Russian rivers emptying into the Arctic Ocean. Water Resour. 2008, 35, 1–14. [Google Scholar] [CrossRef]
- Yin, J.; Gentine, P.; Zhou, S.; Sullivan, S.C.; Wang, R.; Zhang, Y.; Guo, S. Large increase in global storm runoff extremes driven by climate and anthropogenic changes. Nat. Commun. 2018, 9, 4389. [Google Scholar] [CrossRef] [PubMed]
- Abbasa, N.; Wasimia, S.A.; Al-Ansari, N. Assessment of Climate Change Impact on Water Resources of Lesser Zab, Kurdistan, Iraq Using SWAT Model. Engineering 2016, 8, 697–715. [Google Scholar] [CrossRef][Green Version]
- Ali, S.; Shah, S. Climate Change Impact on Flow Discharge of Kunhar River Catchment using Snowmelt Runoff Model. J. Basic Appl. Sci. 2015, 11, 184–192. [Google Scholar] [CrossRef]
- Mahmood, R.; Jia, S.; Babel, M.S. Potential Impacts of Climate Change on Water Resources in the Kunhar River Basin, Pakistan. Water 2016, 8, 23. [Google Scholar] [CrossRef]
- Hirabayashi, Y.; Mahendran, R.; Koirala, S.; Konoshima, L.; Yamazaki, D.; Watanabe, S.; Kim, H.; Kanae, S. Global flood risk under climate change. Nat. Clim. Chang. 2013, 3, 816–821. [Google Scholar] [CrossRef]
- Held, I.M.; Soden, B.J. Robust Responses of the Hydrological Cycle to Global Warming. J. Clim. 2006, 19, 5686–5699. [Google Scholar] [CrossRef]
- Akbar, H.; Gheewala, S.H. Impact of Climate and Land Use Changes on flowrate in the Kunhar River Basin, Pakistan, for the Period (1992–2014). Arab. J. Geosci. 2021, 14, 1–11. [Google Scholar] [CrossRef]
- El-Khoury, A.; Seidou, O.; Lapen, D.; Que, Z.; Mohammadian, A.; Sunohara, M.; Bahram, D. Combined impacts of future climate and land use changes on discharge, nitrogen and phosphorus loads for a Canadian river basin. J. Environ. Manag. 2015, 151, 76–86. [Google Scholar] [CrossRef] [PubMed]
- He, Y.; Wang, F.; Mu, X.; Yan, H.; Zhao, G. An Assessment of Human versus Climatic Impacts on Jing River Basin, Loess Plateau, China. Adv. Meteorol. 2015, 2015, 478739. [Google Scholar] [CrossRef]
- Mango, L.M.; Melesse, A.M.; McClain, M.E.; Gann, D.; Setegn, S.G. Land use and climate change impacts on the hydrology of the upper Mara River Basin, Kenya: Results of a modeling study to support better resource management. Hydrol. Earth Syst. Sci. 2011, 15, 2245–2258. [Google Scholar] [CrossRef]
- Neupane, R.P.; Kumar, S. Estimating the effects of potential climate and land use changes on hydrologic processes of a large agriculture dominated watershed. J. Hydrol. 2015, 529, 418–429. [Google Scholar] [CrossRef]
- Strasser, U.; Förster, K.; Formayer, H.; Hofmeister, F.; Marke, T.; Meißl, G.; Nadeem, I.; Stotten, R.; Schermer, M. Storylines of combined future land use and climate scenarios and their hydrological impacts in an Alpine catchment (Brixental/Austria). Sci. Total Environ. 2019, 657, 746–763. [Google Scholar] [CrossRef] [PubMed]
- Wang, W.; Shao, Q.; Yang, T.; Peng, S.; Xing, W.; Sun, F.; Luo, Y. Quantitative assessment of the impact of climate variability and human activities on runoff changes: A case study in four catchments of the Haihe River basin, China. Hydrol. Process. 2013, 27, 1158–1174. [Google Scholar] [CrossRef]
- Zhang, A.; Zhang, C.; Fu, G.; Wang, B.; Bao, Z.; Zheng, H. Assessments of Impacts of Climate Change and Human Activities on Runoff with SWAT for the Huifa River Basin, Northeast China. Water Resour. Manag. 2012, 26, 2199–2217. [Google Scholar] [CrossRef]
- Jiang, S.; Ren, L.; Yong, B.; Singh, V.P.; Yang, X.; Yuan, F. Quantifying the effects of climate variability and human activities on runoff from the Laohahe basin in northern China using three different methods. Hydrol. Process. 2011, 25, 2492–2505. [Google Scholar] [CrossRef]
- Wang, S.; Yan, Y.; Yan, M.; Zhao, X. Quantitative estimation of the impact of precipitation and human activities on runoff change of the Huangfuchuan River Basin. J. Geogr. Sci. 2012, 22, 906–918. [Google Scholar] [CrossRef]
- Sankarasubramanian, A.; Vogel, R.M.; Limbrunner, J.F. Climate elasticity of streamflow in the United States. Water Resour. Res. 2001, 37, 1771–1781. [Google Scholar] [CrossRef]
- Zhou, X.; Zhang, Y.; Yang, Y. Comparison of Two Approaches for Estimating Precipitation Elasticity of Streamflow in China’s Main River Basins. Adv. Meteorol. 2015, 2015, 924572. [Google Scholar] [CrossRef]
- Dey, P.; Mishra, A. Separating the impacts of climate change and human activities on streamflows: A review of methodologies and critical assumptions. J. Hydrol. 2017, 548, 278–290. [Google Scholar] [CrossRef]
- Krajewski, A.; Sikorska-Senoner, A.E.; Hejduk, L.; Banasik, K. An Attempt to Decompose the Impact of Land Use and Climate Change on Annual Runoff in a Small Agricultural Catchment. Water Resour. Manag. 2021, 35, 881–896. [Google Scholar] [CrossRef]
- Saifullah, M.; Li, Z.; Li, Q.; Zaman, M.; Hashim, S. Quantitative Estimation of the Impact of Precipitation and Land Surface Change on Hydrological Processes through Statistical Modeling. Adv. Meteorol. 2016, 2016, 6130179. [Google Scholar] [CrossRef]
- Wang, F.; Hessel, R.; Mu, X.; Maroulis, J.; Zhao, G.; Geissen, V.; Ritsema, C. Distinguishing the impacts of human activities and climate variability on runoff and sediment load change based on paired periods with similar weather conditions: A case in the Yan River, China. J. Hydrol. 2015, 527, 884–893. [Google Scholar] [CrossRef]
- De Scally, F.A. Relative importance of snow accumulation and monsoon rainfall data for estimating annual runoff, Jhelum basin, Pakistan. Hydrol. Sci. J. 1994, 39, 199–216. [Google Scholar] [CrossRef]
- Schickhoff, U. Himalayan Forest-Cover Changes in Historical Perspective: A Case Study in the Kaghan Valley, Northern Pakistan. Mt. Res. Dev. 1995, 15, 3–18. [Google Scholar] [CrossRef]
- Star Hydropower Limited. Environmental Impact Assessment of Patrind Hydropower Project; Star Hydropower Limited: Islamabad, Pakistan, 2010. [Google Scholar]
- Soomro, S.-E.-H.; Hu, C.; Jian, S.; Wu, Q.; Boota, M.W.; Soomro, M.H.A.A. Precipitation changes and their relationships with vegetation responses during 1982–2015 in Kunhar River basin, Pakistan. Water Supply 2021. [Google Scholar] [CrossRef]
- Saifullah, M.; Liu, S.; Tahir, A.A.; Zaman, M.; Ahmad, S.; Adnan, M.; Chen, D.; Ashraf, M.; Mehmood, A. Development of Threshold Levels and a Climate-Sensitivity Model of the Hydrological Regime of the High-Altitude Catchment of the Western Himalayas, Pakistan. Water 2019, 11, 1454. [Google Scholar] [CrossRef]
- Khan, M.A.; Stamm, J.; Haider, S. Simulating the Impact of Climate Change with Different Reservoir Operating Strategies on Sedimentation of the Mangla Reservoir, Northern Pakistan. Water 2020, 12, 2736. [Google Scholar] [CrossRef]
- Akbar, H.; Gheewala, S.H. Changes in hydroclimatic trends in the Kunhar River Watershed. J. Sustain. Energy Environ. 2020, 11, 31–41. [Google Scholar]
- Mahmood, R.; Babel, M.S. Evaluation of SDSM developed by annual and monthly sub-models for downscaling temperature and precipitation in the Jhelum basin, Pakistan and India. Theor. Appl. Clim. 2013, 113, 27–44. [Google Scholar] [CrossRef]
- USGS Terrain Data. Available online: https://lpdaac.usgs.gov/tools/data-pool/ (accessed on 3 February 2021).
- ICIMOD Data Archive. Available online: http://rds.icimod.org/Home/DataDetail?metadataId=28630 (accessed on 25 February 2021). [CrossRef]
- The Harmonized World Soil Database v 1.2. Available online: http://www.fao.org/soils-portal/data-hub/soil-maps-and-databases/harmonized-world-soil-database-v12/en/ (accessed on 25 December 2020).
- ERA5 Reanalysis Data. Available online: https://cds.climate.copernicus.eu (accessed on 3 February 2021).
- Mann, H.B. Nonparametric Tests Against Trend. Econometrica 1945, 13, 245–259. [Google Scholar] [CrossRef]
- Kendall, M. Rank Correlation Measures; Charles Griffin: London, UK, 1975; p. 15. [Google Scholar]
- Şen, Z. Innovative Trend Analysis Methodology. J. Hydrol. Eng. 2012, 17, 1042–1046. [Google Scholar] [CrossRef]
- Taylor, W.A. Change-Point Analysis: A Powerful New Tool for Detecting Changes; Variation: Libertyville, IL, USA, 2000; Available online: https://variation.com/wp-content/uploads/change-point-analyzer/change-point-analysis-a-powerful-new-tool-for-detecting-changes.pdf (accessed on 31 October 2021).
- Searcy, J.K.; Hardison, C.H.; Langein, W.B. Double-Mass Curves, with a Section Fitting Curves to Cyclic Data; US Geological Survey: Reston, VA, USA, 1960.
- Searcy, J.K. Flow-Duration Curves (No. 1542); US Government Printing Office: Boston, MA, USA, 1959.
- Tomer, M.D.; Schilling, K.E. A simple approach to distinguish land-use and climate-change effects on watershed hydrology. J. Hydrol. 2009, 376, 24–33. [Google Scholar] [CrossRef]
- Schaake, J.C. From climate to flow. In Climate Change and US Water Resources; Wiley-Interscience: Hoboken, NJ, USA, 1990; pp. 177–206. [Google Scholar]
- Fu, G.; Charles, S.P.; Chiew, F.H.S. A two-parameter climate elasticity of streamflow index to assess climate change effects on annual streamflow. Water Resour. Res. 2007, 43, 43. [Google Scholar] [CrossRef]
- Zheng, H.; Zhang, L.; Zhu, R.; Liu, C.; Sato, Y.; Fukushima, Y. Responses of streamflow to climate and land surface change in the headwaters of the Yellow River Basin. Water Resour. Res. 2009, 45, 45. [Google Scholar] [CrossRef]
- Babar, S.; Ramesh, H. Streamflow Response to Land Use–Land Cover Change over the Nethravathi River Basin, India. J. Hydrol. Eng. 2015, 20, 05015002. [Google Scholar] [CrossRef]
- Arnold, J.G.; Srinivasan, R.; Muttiah, R.S.; Williams, J.R. Large Area Hydrologic Modeling and Assessment Part I: Model Development. JAWRA J. Am. Water Resour. Assoc. 1998, 34, 73–89. [Google Scholar] [CrossRef]
- Neitsch, S.L. Soil and Water Assessment Tool; User’s Manual Version; Texas Water Resources Institute: College Station, TX, USA, 2005; p. 476. [Google Scholar]
- Abu-Allaban, M.; El-Naqa, A.; Jaber, M.; Hammouri, N. Water scarcity impact of climate change in semi-arid regions: A case study in Mujib basin, Jordan. Arab. J. Geosci. 2015, 8, 951–959. [Google Scholar] [CrossRef]
- Neitsch, S.L.; Arnold, J.G.; Kiniry, J.R.; Williams, J.R. Soil and Water Assessment Tool Theoretical Documentation Version 2009; Texas Water Resources Institute: College Station, TX, USA, 2011. [Google Scholar]
- Monteith, J.L. Evaporation and environment. In Symposia of the Society for Experimental Biology; Cambridge University Press: Cambridge, UK, 1965; Volume 19, pp. 205–234. [Google Scholar]
- Penman, H.L. Natural evaporation from open water, bare soil and grass. Proc. R. Soc. A 1948, 193, 120–145. [Google Scholar]
- Abbaspour, K.C. SWAT-Cup 2012. SWAT Calibration and Uncertainty Program—A User Manual; Eawag: Dübendorf, Switzerland, 2013. [Google Scholar]
- Moriasi, D.N.; Arnold, J.G.; van Liew, M.W.; Bingner, R.L.; Harmel, R.D.; Veith, T.L. Model evaluation guidelines for systematic quantification of accuracy in watershed simulations. Trans. ASABE 2007, 50, 885–900. [Google Scholar] [CrossRef]
- Nash, J.E.; Sutcliffe, J.V. River flow forecasting through conceptual models part I—A discussion of principles. J. Hydrol. 1970, 10, 282–290. [Google Scholar] [CrossRef]
- Azmat, M.; Liaqat, U.W.; Qamar, M.U.; Awan, U.K. Impacts of changing climate and snow cover on the flow regime of Jhelum River, Western Himalayas. Reg. Environ. Chang. 2017, 17, 813–825. [Google Scholar] [CrossRef]
- Latif, Y.; Ma, Y.; Ma, W. Climatic trends variability and concerning flow regime of Upper Indus Basin, Jehlum, and Kabul river basins Pakistan. Theor. Appl. Clim. 2021, 144, 447–468. [Google Scholar] [CrossRef]
- Zaman, M.; Ahmad, I.; Usman, M.; Saifullah, M.; Anjum, M.N.; Khan, M.I.; Qamar, M.U. Event-Based Time Distribution Patterns, Return Levels, and Their Trends of Extreme Precipitation across Indus Basin. Water 2020, 12, 3373. [Google Scholar] [CrossRef]
- Guo, Y.; Li, Z.; Amo-Boateng, M.; Deng, P.; Huang, P. Quantitative assessment of the impact of climate variability and human activities on runoff changes for the upper reaches of Weihe River. Stoch. Environ. Res. Risk Assess. 2014, 28, 333–346. [Google Scholar] [CrossRef]
- Liang, S.; Wang, W.; Zhang, D.; Li, Y.; Wang, G. Quantifying the Impacts of Climate Change and Human Activities on Runoff Variation: Case Study of the Upstream of Minjiang River, China. J. Hydrol. Eng. 2020, 25, 05020025. [Google Scholar] [CrossRef]
- Khattak, M.; Babel, M.; Sharif, M. Hydro-meteorological trends in the upper Indus River basin in Pakistan. Clim. Res. 2011, 46, 103–119. [Google Scholar] [CrossRef]
- Shahid, M.; Cong, Z.; Zhang, D. Understanding the impacts of climate change and human activities on streamflow: A case study of the Soan River basin, Pakistan. Theor. Appl. Clim. 2017, 134, 205–219. [Google Scholar] [CrossRef]
- Shaukat, R.S.; Khan, M.M.; Shahid, M.; Shoaib, M.; Khan, T.A.; Aslam, M.A. Quantitative Contribution of Climate Change and Land Use Change to Runoff in Tarbela Catchment, Pakistan. Pol. J. Environ. Stud. 2020, 29, 3295–3304. [Google Scholar] [CrossRef]
- Zhou, Y.; Lai, C.; Wang, Z.; Chen, X.; Zeng, Z.; Chen, J.; Bai, X. Quantitative Evaluation of the Impact of Climate Change and Human Activity on Runoff Change in the Dongjiang River Basin, China. Water 2018, 10, 571. [Google Scholar] [CrossRef]
- Gao, G.; Fu, B.; Wang, S.; Liang, W.; Jiang, X. Determining the hydrological responses to climate variability and land use/cover change in the Loess Plateau with the Budyko framework. Sci. Total Environ. 2016, 557–558, 331–342. [Google Scholar] [CrossRef]
- Zhou, X.; Zhang, Y.; Wang, Y.; Zhang, H.; Vaze, J.; Zhang, L.; Yang, Y.; Zhou, Y. Benchmarking global land surface models against the observed mean annual runoff from 150 large basins. J. Hydrol. 2012, 470–471, 269–279. [Google Scholar] [CrossRef]
- Ruggiu, D.; Viola, F. Linking Climate, Basin Morphology and Vegetation Characteristics to Fu’s Parameter in Data Poor Conditions. Water 2019, 11, 2333. [Google Scholar] [CrossRef]
- Yang, H.; Yang, D. Derivation of climate elasticity of runoff to assess the effects of climate change on annual runoff. Water Resour. Res. 2011, 47, 47. [Google Scholar] [CrossRef]
- Ramírez, J.A.; Hobbins, M.T.; Brown, T.C. Observational evidence of the complementary relationship in regional evaporation lends strong support for Bouchet’s hypothesis. Geophys. Res. Lett. 2005, 32, L15401. [Google Scholar] [CrossRef]
- Power, P. Hydro Power Resources of Pakistan; Annual Report of Private Power and Infrastructure Board, Islamabad; Government of Pakistan: Islamabad, Pakistan, 2011; pp. 1–2.
- Caracciolo, D.; Pumo, D.; Viola, F. Budyko’s Based Method for Annual Runoff Characterization across Different Climatic Areas: An Application to United States. Water Resour. Manag. 2018, 32, 3189–3202. [Google Scholar] [CrossRef]
- Setegn, S.G.; Rayner, D.; Melesse, A.; Dargahi, B.; Srinivasan, R. Impact of climate change on the hydroclimatology of Lake Tana Basin, Ethiopia. Water Resour. Res. 2011, 47, 47. [Google Scholar] [CrossRef]
- Praskievicz, S.; Chang, H. Impacts of Climate Change and Urban Development on Water Resources in the Tualatin River Basin, Oregon. Ann. Assoc. Am. Geogr. 2011, 101, 249–271. [Google Scholar] [CrossRef]
- Van der Velde, Y.; Vercauteren, N.; Jaramillo, F.; Dekker, S.C.; Destouni, G.; Lyon, S.W. Exploring hydroclimatic change disparity via the Budyko framework. Hydrol. Process. 2014, 28, 4110–4118. [Google Scholar] [CrossRef]
- Yasinskii, S.V.; Kashutina, E.A. Effect of regional climate variations and economic activity on changes in the hydrological regime of watersheds and small-river runoff. Water Resour. 2012, 39, 272–293. [Google Scholar] [CrossRef]
- Zheng, Y.; Huang, Y.; Zhou, S.; Wang, K.; Wang, G. Effect partition of climate and catchment changes on runoff variation at the headwater region of the Yellow River based on the Budyko complementary relationship. Sci. Total Environ. 2018, 643, 1166–1177. [Google Scholar] [CrossRef] [PubMed]
- Sharma, C.; Shukla, A.K.; Zhang, Y. Climate change detection and attribution in the Ganga-Brahmaputra-Meghna river basins. Geosci. Front. 2021, 12, 101186. [Google Scholar] [CrossRef]
- Gulahmadov, N.; Chen, Y.; Gulakhmadov, A.; Rakhimova, M.; Gulakhmadov, M. Quantifying the Relative Contribution of Climate Change and Anthropogenic Activities on Runoff Variations in the Central Part of Tajikistan in Central Asia. Land 2021, 10, 525. [Google Scholar] [CrossRef]
- Wu, C.; Ji, C.; Shi, B.; Wang, Y.; Gao, J.; Yang, Y.; Mu, J. The impact of climate change and human activities on streamflow and sediment load in the Pearl River basin. Int. J. Sediment Res. 2019, 34, 307–321. [Google Scholar] [CrossRef]
- Abbas, T.; Nabi, G.; Boota, M.W.; Faisal, M.; Azam, M.I.; Yaseen, M.; Hussain, F. Continuous hydrologic modeling of major flood hydrographs using semi-distributed model. Sci. Int. 2015, 27, 6231e7. [Google Scholar]
















| ID | Class Name | Area (km2) | Area (%) |
|---|---|---|---|
| 1 | Dense coniferous forest | 359.9 | 13.70 |
| 2 | Sparse coniferous forest | 160.8 | 6.12 |
| 3 | Dense mix forest | 122.7 | 4.67 |
| 4 | Sparse mix forest | 61.6 | 2.35 |
| 5 | Dense broadleaf forest | 30.6 | 1.17 |
| 6 | Sparse broadleaf forest | 21.5 | 0.82 |
| 7 | Grasses/shrubs | 853.5 | 32.49 |
| 8 | Alpine grasses | 183.3 | 6.98 |
| 9 | Agriculture (cropped) | 114.2 | 4.35 |
| 10 | Agriculture (fallow) | 0.9 | 0.03 |
| 11 | Bare Soil/Rocks | 585.7 | 22.29 |
| 12 | Snow/Glaciers | 128.2 | 4.88 |
| 13 | Water bodies | 4.0 | 0.15 |
| Station | Latitude (°) | Longitude (°) | Altitude (m) | Period of Record | Source of Data |
|---|---|---|---|---|---|
| Hydrological stations | |||||
| Naran | 34.9 | 73.65 | 2362 | 1971–2010 | WAPDA |
| Gari Habibullah | 34.40 | 73.38 | 810 | 1971–2010 | WAPDA |
| Meteorological stations | |||||
| Balakot | 34.55 | 73.35 | 995 | 1971–2010 | PMD |
| Muzaffarabad | 34.37 | 73.48 | 702 | 1971–2010 | PMD |
| Naran | 34.9 | 73.65 | 2421 | 1971–2010 | PMD |
| Parameter | Description | Adjusted Value |
|---|---|---|
| r_CN2.mgt | Initial SCS runoff curve number for moisture condition II | −0.25 |
| v__CH_N2.rte | Manning’s “n” for the main channel | −0.01 |
| r_SOL_AWC.sol | Soil available water capacity (mm H2O/mm soil) | 0.48 |
| v__GWQMN.gw | Threshold depth in the shallow aquifer for return flow (mm) | 1888 |
| v__RCHRG_DP.gw | Fraction of root zone percolation that reaches the deep aquifer | 0.62 |
| v_ALPHA_BF.gw | Baseflow alpha-factor (days) | 0.034 |
| v_GW_DELAY.gw | Groundwater delay (days) | 71 |
| v_SURLAG.bsn | Surface Runoff lag coefficient | 4.47 |
| v_SMFMN.bsn | Minimum melt rate for snow during the year (occurs on winter solstice) H2O/°C-day) | 4.88 |
| v_SMFMX.bsn | Maximum melt rate for snow during the year (occurs on the summer solstice). (mm H2O/°C-day) | 11.20 |
| v_SMTMP.bsn | Snowmelt base temperature (°C) | −2.81 |
| v_SFTMP.bsn | Snowfall temperature (°C) | 4.91 |
| v__TIMP.bsn | Snowpack temperature lag factor | 0.045 |
| v_SNOCOVMX.bsn | Minimum snow water content that corresponds to 100% snow cover | 192.17 |
| v__PLAPS.sub | Precipitation lapse rate (mm H2O/km) | 135.2 |
| v_TLPAS.sub | Temperature lapse rate (°C/km) | −6.4 |
| v__ESCO.hru | Soil evaporation compensation factor | 0.42 |
| v__EPCO.hru | Plant uptake consumption factor | 0.80 |
| Climatic Variables | 1971–2010 | ||||
|---|---|---|---|---|---|
| Mean (mm) | Standard Deviation (mm) | Skewness | Coefficient of Variance (CV) | Ratio of (CV) | |
| Precipitation | 1636 | 365 | 0.611 | 0.22 | 0.96 |
| Evapotranspiration | 422 | 48 | 2.15 | 0.12 | 1.85 |
| Runoff | 1413 | 302 | 0.55 | 0.21 | - |
| Variables | Z-Value | Trend | ITA |
|---|---|---|---|
| Precipitation | 1.74 + | Sig. Increasing | ![]() |
| Evapotranspiration | 1.67 + | Sig. Increasing | ![]() |
| Runoff | 1.36 | Non-significant | ![]() |
| Variables | Pre-Change (1971–1996) | Post-Change (1997–2010) | Relative Change | |||||
|---|---|---|---|---|---|---|---|---|
| Mean (mm) | Cv | Ratio of Cv | Mean (mm) | Cv | Ratio of Cv | mm | % | |
| Precipitation | 1643 | 0.23 | 0.88 | 1624 | 0.22 | 1.10 | −19 | −1.0 |
| Evapotranspiration | 417 | 0.10 | 2.06 | 431 | 0.14 | 1.72 | 14 | 3.25 |
| Runoff | 1426 | 0.20 | 1390 | 0.25 | −36 | −2.59 | ||
| Variables | 1971–1996 | 1997–2010 | ||||
|---|---|---|---|---|---|---|
| Z-Value | Trend | ITA | Z-Value | Trend | ITA | |
| Precipitation | 3.13 ** | Sig. Increasing | ![]() | 1.53 | Non-significant | ![]() |
| ETp | 1.06 | Non-significant | ![]() | 0.88 | No-trend | ![]() |
| Runoff | 2.07 * | Sig. Increasing | ![]() | 2.19 * | Sig. Increasing | ![]() |
| Statistical Parameters | Calibration | Validation |
|---|---|---|
| R2 | 0.79 | 0.85 |
| NSE | 0.78 | 0.84 |
| PBIAS (%) | −3.5 | 0.6 |
| p-factor | 0.95 | 0.89 |
| r-factor | 1.24 | 0.81 |
| Activity/Methods | Eco-Hydrological Approach | Statistical Approach | Climate Elasticity Model | SWAT Model |
|---|---|---|---|---|
| Anthropogenic activities | Pex and Eex decreased | 95% | 75% | 176% |
| Climate change | 5% | 25% | −76% |
Publisher’s Note: MDPI stays neutral with regard to jurisdictional claims in published maps and institutional affiliations. |
© 2021 by the authors. Licensee MDPI, Basel, Switzerland. This article is an open access article distributed under the terms and conditions of the Creative Commons Attribution (CC BY) license (https://creativecommons.org/licenses/by/4.0/).
Share and Cite
Saifullah, M.; Adnan, M.; Zaman, M.; Wałęga, A.; Liu, S.; Khan, M.I.; Gagnon, A.S.; Muhammad, S. Hydrological Response of the Kunhar River Basin in Pakistan to Climate Change and Anthropogenic Impacts on Runoff Characteristics. Water 2021, 13, 3163. https://doi.org/10.3390/w13223163
Saifullah M, Adnan M, Zaman M, Wałęga A, Liu S, Khan MI, Gagnon AS, Muhammad S. Hydrological Response of the Kunhar River Basin in Pakistan to Climate Change and Anthropogenic Impacts on Runoff Characteristics. Water. 2021; 13(22):3163. https://doi.org/10.3390/w13223163
Chicago/Turabian StyleSaifullah, Muhammad, Muhammad Adnan, Muhammad Zaman, Andrzej Wałęga, Shiyin Liu, Muhammad Imran Khan, Alexandre S. Gagnon, and Sher Muhammad. 2021. "Hydrological Response of the Kunhar River Basin in Pakistan to Climate Change and Anthropogenic Impacts on Runoff Characteristics" Water 13, no. 22: 3163. https://doi.org/10.3390/w13223163
APA StyleSaifullah, M., Adnan, M., Zaman, M., Wałęga, A., Liu, S., Khan, M. I., Gagnon, A. S., & Muhammad, S. (2021). Hydrological Response of the Kunhar River Basin in Pakistan to Climate Change and Anthropogenic Impacts on Runoff Characteristics. Water, 13(22), 3163. https://doi.org/10.3390/w13223163










