Effects of Different Normalization, Aggregation, and Classification Methods on the Construction of Flood Vulnerability Indexes
Abstract
1. Introduction
2. Materials and Methods
2.1. Study Area
2.2. Flood Vulnerability Index Construction
- Min-max—rescales values from 0 (worst rank for a specific indicator) to 1 (the best). It subtracts the minimum value and divides it by the range of the maximum value subtracting the minimum value:
- Z-cores—converts all the indicators to a common scale with a mean of zero and a standard deviation of one:
- Distance to target—normalizes indicators by dividing the unit’s value by a reference target (i.e., maximum value):
- Ranking—based on ordinal variables that can be turned into quantitative variables:
- Natural breaks (Jenks)—class breaks are identified by the best group similar values that maximize the differences between classes. The features are divided into classes whose boundaries are set where there are relatively big differences in the data values.
- Equal interval—it divides the values into equal-sized classes. After specifying the number of intervals, the class breaks based on the value range are automatically determined.
- Quantile—each class contains an equal number of features.
- Standard deviation—shows how much a feature’s attribute value varies from the mean. Class breaks are created with equal value ranges that are a proportion of the standard deviation, usually at intervals of one, one-half, one-third, or one-fourth the standard deviations using mean values and the standard deviations.
2.3. Sensitivity Analysis
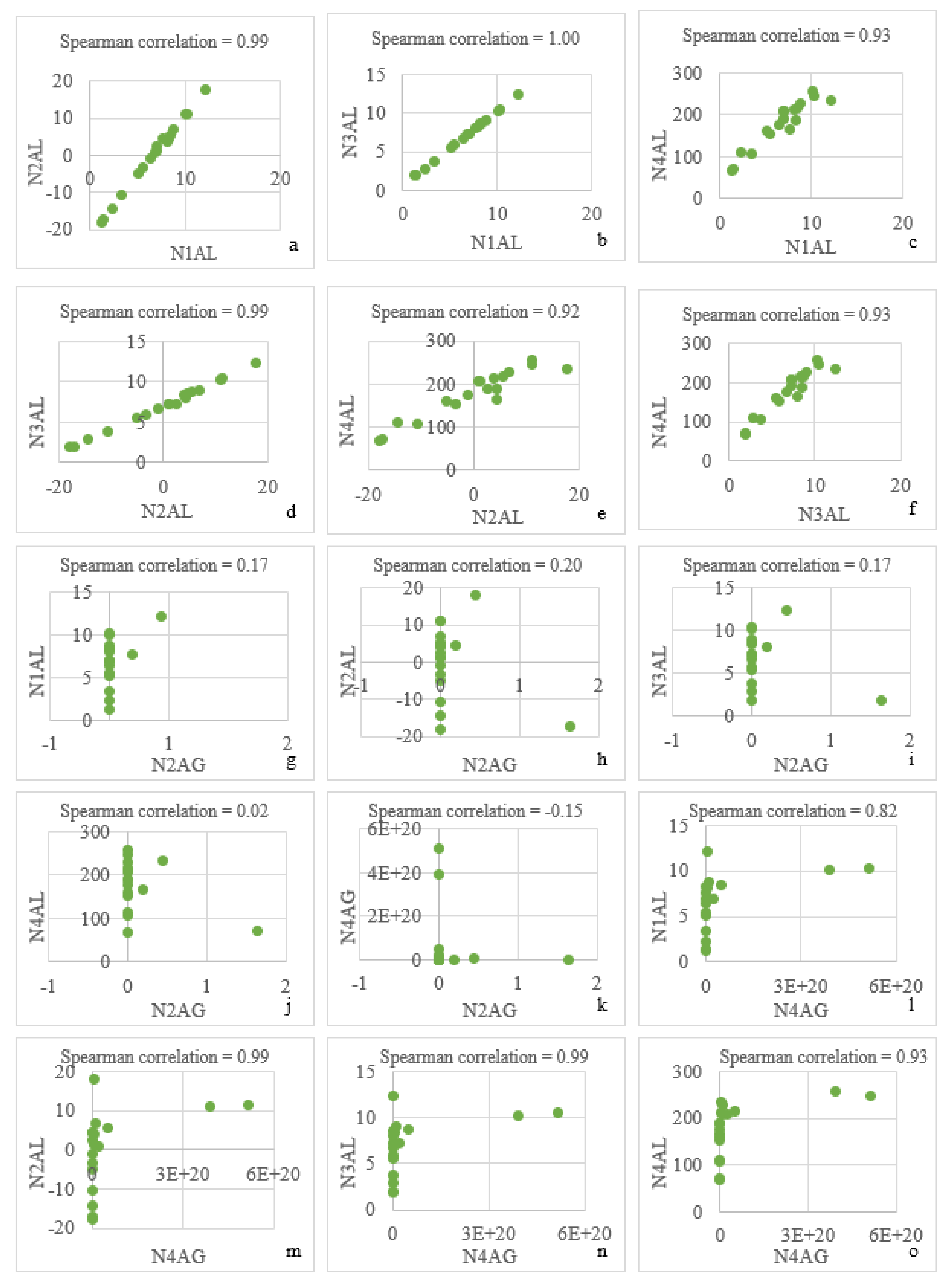
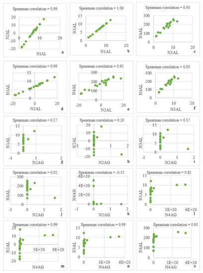
3. Results
4. Discussion
5. Conclusions
- Normalization techniques such as the min-max, z-scores, and distance to target do not make significant changes in the flood vulnerability outputs. Among the normalization methods, the ranking method was most sensitive.
- The choice of aggregation method strongly affects the vulnerability outcomes. For our case study, the geometric aggregation method was more sensitive when compared with linear aggregation, as it offered inferior compensability for the indexes, with lower scores.
- For each classification method (natural breaks, equal interval, quantile, and standard deviation), there were changes in the same census block with respect to over- and underestimating the flood vulnerability. However, the natural breaks method had the best performance, according to the AIC values.
Author Contributions
Funding
Institutional Review Board Statement
Informed Consent Statement
Data Availability Statement
Conflicts of Interest
References
- Kobiyama, M.; Goerl, R.F.; Monteiro, L.R. Integração das ciências e das tecnologias para redução de desastres naturais: Sócio-hidrologia e sócio-tecnologia. Revista Gestão Sustentabilidade Ambiental 2018, 7, 206. [Google Scholar] [CrossRef]
- Reilly, B. Disaster and Human History: Case Studies in Nature, Society and Catastrophe; McFarland & Company: Jefferson, NC, USA, 2009. [Google Scholar]
- De Brito, M.M.; Evers, M.; Almoradie, A.D.S. Participatory flood vulnerability assessment: A multi-criteria approach. Hydrol. Earth Syst. Sci. 2018, 22, 373–390. [Google Scholar] [CrossRef]
- Karagiorgos, K.; Thaler, T.; Heiser, M.; Hübl, J.; Fuchs, S. Integrated flash flood vulnerability assessment: Insights from East Attica, Greece. J. Hydrol. 2016, 541, 553–562. [Google Scholar] [CrossRef]
- Birkmann, J.; Cardona, O.D.; Carreño, M.L.; Barbat, A.H.; Pelling, M.; Schneiderbauer, S.; Kienberger, S.; Keiler, M.; Alexander, D.; Zeil, P.; et al. Framing vulnerability, risk and societal responses: The MOVE framework. Nat. Hazards 2013, 67, 193–211. [Google Scholar] [CrossRef]
- Rufat, S.; Tate, E.; Burton, C.G.; Maroof, A.S. Social vulnerability to floods: Review of case studies and implications for measurement. Int. J. Disaster Risk Reduct. 2015, 14, 470–486. [Google Scholar] [CrossRef]
- Nasiri, H.; Mohd Yusof, M.J.; Mohammad Ali, T.A. An overview to flood vulnerability assessment methods. Sustain. Water Resour. Manag. 2016, 2, 1–6. [Google Scholar] [CrossRef]
- Balica, S.F.; Popescu, I.; Beevers, L.; Wright, N.G. Parametric and physically based modelling techniques for flood risk and vulnerability assessment: A comparison. Environ. Model. Softw. 2013, 41, 84–92. [Google Scholar] [CrossRef]
- Fuchs, S.; Kuhlicke, C.; Meyer, V. Editorial for the special issue: Vulnerability to natural hazards-the challenge of integration. Nat. Hazards 2011, 58, 609–619. [Google Scholar] [CrossRef]
- Saisana, M.; Tarantola, S. State-of-the-Art Report on Current Methodologies and Practices for Composite Indicator Development; Institute for the Protection and Security of the Citizen Technological and Economic Risk Management: Ispra, Italy, 2002. [Google Scholar]
- Jorgensen, S.E.; Burkhard, B.; Müller, F. Twenty volumes of ecological indicators-An accounting short review. Ecol. Indic. 2013, 28, 4–9. [Google Scholar] [CrossRef]
- Nazeer, M.; Bork, H.R. Flood vulnerability assessment through different methodological approaches in the context of North-West Khyber Pakhtunkhwa, Pakistan. Sustainability 2019, 11, 6695. [Google Scholar] [CrossRef]
- Malczewski, J. GIS-based multicriteria decision analysis: A survey of the literature. Int. J. Geogr. Inf. Sci. 2006, 20, 703–726. [Google Scholar] [CrossRef]
- Chen, H.; Wood, M.D.; Linstead, C.; Maltby, E. Uncertainty analysis in a GIS-based multi-criteria analysis tool for river catchment management. Environ. Model. Softw. 2011, 26, 395–405. [Google Scholar] [CrossRef]
- Ligmann-Zielinska, A.; Jankowski, P. Spatially-explicit integrated uncertainty and sensitivity analysis of criteria weights in multicriteria land suitability evaluation. Environ. Model. Softw. 2014, 57, 235–247. [Google Scholar] [CrossRef]
- Crosetto, M.; Tarantola, S.; Saltelli, A. Sensitivity and uncertainty analysis in spatial modelling based on GIS. Agric. Ecosyst. Environ. 2000, 81, 71–79. [Google Scholar] [CrossRef]
- Tate, E. Social vulnerability indices: A comparative assessment using uncertainty and sensitivity analysis. Nat. Hazards 2012, 63, 325–347. [Google Scholar] [CrossRef]
- Balica, S.; Wright, N.G. Reducing the complexity of the flood vulnerability index. Environ. Hazards 2010. [Google Scholar] [CrossRef]
- Nardo, M.; Saisana, M.; Saltelli, A.; Tarantola, S. Handbook of Contructing Compsoite Indicators: Methodology and User Guide; OECD Publishing: Paris, France, 2008. [Google Scholar]
- Chen, K.F.; Leandro, J.A. Conceptual time-varying flood resilience index for urban areas: Munich city. Water 2019, 11, 830. [Google Scholar] [CrossRef]
- Fernandez, P.; Mourato, S.; Moreira, M.; Pereira, L. A new approach for computing a flood vulnerability index using cluster analysis. Phys. Chem. Earth 2016, 94, 47–55. [Google Scholar] [CrossRef]
- De Brito, M.M.; de Evers, M. Multi-criteria decision-making for flood risk management: A survey of the current state of the art. Nat. Hazards Earth Syst. Sci. 2016, 16, 1019–1033. [Google Scholar] [CrossRef]
- Burgass, M.J.; Halpern, B.S.; Nicholson, E.; Milner-Gulland, E.J. Navigating uncertainty in environmental composite indicators. Ecol. Indic. 2017, 75, 268–278. [Google Scholar] [CrossRef]
- Becker, W.; Saisana, M.; Paruolo, P.; Vandecasteele, I. Weights and importance in composite indicators: Closing the gap. Ecol. Indic. 2017, 80, 12–22. [Google Scholar] [CrossRef] [PubMed]
- De Brito, M.M.; Almoradie, A.; Evers, M. Spatially-explicit sensitivity and uncertainty analysis in a MCDA-based flood vulnerability model. Int. J. Geogr. Inf. Sci. 2019, 33, 1788–1806. [Google Scholar] [CrossRef]
- Chen, Y.; Yu, J.; Khan, S. The spatial framework for weight sensitivity analysis in AHP-based multi-criteria decision making. Environ. Model. Softw. 2013, 48, 129–140. [Google Scholar] [CrossRef]
- Xu, E.; Zhang, H. Spatially-explicit sensitivity analysis for land suitability evaluation. Appl. Geogr. 2013, 45, 1–9. [Google Scholar] [CrossRef]
- Müller, A.; Reiter, J.; Weiland, U. Assessment of urban vulnerability towards floods using an indicator-based approach-a case study for Santiago de Chile. Nat. Hazards Earth Syst. Sci. 2011, 11, 2107–2123. [Google Scholar] [CrossRef]
- Rogelis, M.C.; Werner, M.; Obregón, N.; Wright, N. Regional prioritisation of flood risk in mountainous areas. Nat. Hazards Earth Syst. Sci. 2016, 16, 833–853. [Google Scholar] [CrossRef]
- Liu, Z.; Merwade, V.; Jafarzadegan, K. Investigating the role of model structure and surface roughness in generating flood inundation extents using one- and two-dimensional hydraulic models. J. Flood Risk Manag. 2019, 12. [Google Scholar] [CrossRef]
- Liu, Z.; Merwade, V. Accounting for model structure, parameter and input forcing uncertainty in flood inundation modeling using Bayesian model averaging. J. Hydrol. 2018, 565, 138–149. [Google Scholar] [CrossRef]
- Liu, Z.; Merwade, V. Separation and prioritization of uncertainty sources in a raster based flood inundation model using hierarchical Bayesian model averaging. J. Hydrol. 2019, 578, 124100. [Google Scholar] [CrossRef]
- Rajib, A.; Liu, Z.; Merwade, V.; Tavakoly, A.A.; Follum, M.L. Towards a large-scale locally relevant flood inundation modeling framework using SWAT and LISFLOOD-FP. J. Hydrol. 2020, 581, 124406. [Google Scholar] [CrossRef]
- Yoon, D.K. Assessment of social vulnerability to natural disasters: A comparative study. Nat. Hazards 2012, 63, 823–843. [Google Scholar] [CrossRef]
- Abebe, Y.; Kabir, G.; Tesfamariam, S. Assessing urban areas vulnerability to pluvial flooding using GIS applications and Bayesian Belief Network model. J. Clean. Prod. 2018, 174, 1629–1641. [Google Scholar] [CrossRef]
- Baeza, C.; Lantada, N.; Amorim, S. Statistical and spatial analysis of landslide susceptibility maps with different classification systems. Environ. Earth Sci. 2016, 75, 1–17. [Google Scholar] [CrossRef]
- Mazari, M.; Tirado, C.; Nazarian, S.; Aldouri, R. Impact of Geospatial Classification Method on Interpretation of Intelligent Compaction Data. Transp. Res. Rec. 2017, 2657, 37–46. [Google Scholar] [CrossRef]
- Floridi, M.; Pagni, S.; Falorni, S.; Luzzati, T. An exercise in composite indicators construction: Assessing the sustainability of Italian regions. Ecol. Econ. 2011, 70, 1440–1447. [Google Scholar] [CrossRef]
- Talukder, B.; Hipel, K.W.; van Loon, G.W. Developing composite indicators for agricultural sustainability assessment: Effect of normalization and aggregation techniques. Resources 2017, 6, 66. [Google Scholar] [CrossRef]
- Caccavale, O.M.; Giuffrida, V. The Proteus composite index: Towards a better metric for global food security. World Dev. 2020, 126, 104709. [Google Scholar] [CrossRef]
- Santeramo, F.G. On the composite indicators for Food Security: Decisions matter! Food Rev. Int. 2015, 31, 63–73. [Google Scholar] [CrossRef]
- De Brito, M.M.; Evers, M.; Höllermann, B. Prioritization of flood vulnerability, coping capacity and exposure indicators through the Delphi technique: A case study in Taquari-Antas basin, Brazil. Int. J. Disaster Risk Reduct. 2017, 24, 119–128. [Google Scholar] [CrossRef]
- IBGE Censo Demográfico 2010. Available online: http://www.ibge.gov.br/home/estatistica/populacao/censo2010/default.shtm (accessed on 18 November 2016).
- De Castro, D.; Mello, R.S.P. Bacia Hidrográfica do Rio Tramandaí: Atlas Ambiental; Via Sapiens livraria: Porto Alegre, Brazil, 2013. [Google Scholar]
- Kienberger, S.; Contreras, D.; Zeil, P. Chapter 3-Spatial and Holistic Assessment of Social, Economic, and Environmental Vulnerability to Floods—Lessons from the Salzach River Basin, Austria. In Assessment of Vulnerability to Natural Hazards; Birkmann, J., Kienberger, S., Alexander, D.E.B.T.-A., Eds.; Elsevier: Amsterdam, The Netherlands, 2014; pp. 53–73. [Google Scholar]
- Contreras, D.; Chamorro, A.; Wilkinson, S. Review article: The spatial dimension in the assessment of urban socio-economic vulnerability related to geohazards. Nat. Hazards Earth Syst. Sci. 2020, 20, 1663–1687. [Google Scholar] [CrossRef]
- Saisana, M.; Saltelli, A. Rankings and ratings: Instructions for use. Hague J. Rule Law 2011, 3, 247–268. [Google Scholar] [CrossRef]
- Damm, M. Mapping Social-Ecological Vulnerability to Flooding: A Sub-National Approach for Germany. Ph.D. Thesis, Rheinischen Friedrich-Wilhelms-Universität, Bonn, Germany, 2010. [Google Scholar]
- Loucks, D.P.; van Beek, E. Water Resource Systems Planning and Management; Springer: Berlin/Heidelberg, Germany, 2017; Volume 4. [Google Scholar]
- Hauke, J.; Kossowski, T. Comparison of values of pearson’s and spearman’s correlation coefficients on the same sets of data. Quaest. Geogr. 2011, 30, 87–93. [Google Scholar] [CrossRef]
- Hudrliková, L. Composite indicators as a useful tool for international comparison: The Europe 2020 example. Prague Econ. Pap. 2013, 22, 459–473. [Google Scholar] [CrossRef]
- Akaike, H. Akaike’s Information Criterion Statistics; Lovric, M., Ed.; Springe: Berlin/Heidelberg, Germany, 2011; p. 25. [Google Scholar]
- Garg, H.; Munir, M.; Ullah, K.; Mahmood, T.; Jan, N. Algorithm for T-spherical fuzzy multi-attribute decision making based on improved interactive aggregation operators. Symmetry 2018, 10, 670. [Google Scholar] [CrossRef]
- Aroca-Jiménez, E.; Bodoque, J.M.; García, J.A.; Díez-Herrero, A. A quantitative methodology for the assessment of the regional economic vulnerability to flash floods. J. Hydrol. 2018, 565, 386–399. [Google Scholar] [CrossRef]
- Aroca-Jimenez, E.; Bodoque, J.M.; Antonio Garcia, J.; Diez-Herrero, A. Construction of an integrated social vulnerability index in urban areas prone to flash flooding. Nat. Hazards Earth Syst. Sci. 2017, 17, 1541–1557. [Google Scholar] [CrossRef]
- Gan, X.; Fernandez, I.C.; Guo, J.; Wilson, M.; Zhao, Y.; Zhou, B.; Wu, J. When to use what: Methods for weighting and aggregating sustainability indicators. Ecol. Indic. 2017, 81, 491–502. [Google Scholar] [CrossRef]








| Dimension | Indicator | Unit |
|---|---|---|
| Social vulnerability | Total population | persons |
| Population density | persons km2 | |
| Number of women | persons | |
| Dependency rate * | percentage | |
| Households with more than 5 people | percentage | |
| Number of women head of homes | persons | |
| Inhabitants aged 0 to 4 years | persons | |
| Inhabitants aged more than 65 years | persons | |
| Illiterate people | persons | |
| Economic vulnerability | Per capita income | 1000/R$ |
| Unemployed people | persons | |
| People living in rented houses | persons | |
| Household’s per capita monthly income equal 1/8 of the minimum wage | percentage | |
| House head without income | percentage | |
| House head’s income less than 1 minimum wage | percentage | |
| House head’s income less than 2 minimum wages | percentage | |
| Physical vulnerability | Households with open sewage | percentage |
| Households without garbage collect | percentage | |
| Households without access to electricity | percentage |
| Classification Methods | N1AL | N3AL | N4AL | N4AG |
|---|---|---|---|---|
| Natural Breaks | 296.89 | 314.03 | 7892.39 | −13.98 |
| Equal Interval | 296.90 | 314.11 | 7886.24 | −48.06 |
| Quantile | 297.04 | 314.33 | 7893.19 | −5.92 |
| Standard Deviation | 297.07 | 314.26 | 7890.35 | −29.60 |
Publisher’s Note: MDPI stays neutral with regard to jurisdictional claims in published maps and institutional affiliations. |
© 2021 by the authors. Licensee MDPI, Basel, Switzerland. This article is an open access article distributed under the terms and conditions of the Creative Commons Attribution (CC BY) license (http://creativecommons.org/licenses/by/4.0/).
Share and Cite
Moreira, L.L.; de Brito, M.M.; Kobiyama, M. Effects of Different Normalization, Aggregation, and Classification Methods on the Construction of Flood Vulnerability Indexes. Water 2021, 13, 98. https://doi.org/10.3390/w13010098
Moreira LL, de Brito MM, Kobiyama M. Effects of Different Normalization, Aggregation, and Classification Methods on the Construction of Flood Vulnerability Indexes. Water. 2021; 13(1):98. https://doi.org/10.3390/w13010098
Chicago/Turabian StyleMoreira, Luana Lavagnoli, Mariana Madruga de Brito, and Masato Kobiyama. 2021. "Effects of Different Normalization, Aggregation, and Classification Methods on the Construction of Flood Vulnerability Indexes" Water 13, no. 1: 98. https://doi.org/10.3390/w13010098
APA StyleMoreira, L. L., de Brito, M. M., & Kobiyama, M. (2021). Effects of Different Normalization, Aggregation, and Classification Methods on the Construction of Flood Vulnerability Indexes. Water, 13(1), 98. https://doi.org/10.3390/w13010098

