BTX Removal from Open Aqueous Systems by Modified Cellulose Fibers and Evaluation of Competitive Evaporation Kinetics
Abstract
1. Introduction
2. Materials and Methods
2.1. Raw Cellulose Fiber Extraction
2.2. Hydrophobized Cellulose Fibers
- 4,4′-diphenylmethane diisocyanate functionalized fiber (MDI-FF);
- Plasma Functionalized Fiber with low-pressure plasma technique (PFF).
2.3. BTX Analytical Determination
2.4. BTX Evaporation Experiments
2.5. Batch Experiments for Water Purification
2.6. Mathematical Modeling
2.6.1. Kinetic Model in Absence of the Adsorbing Fibers
2.6.2. Kinetic Interpretation in the Presence of Absorbing Fibers
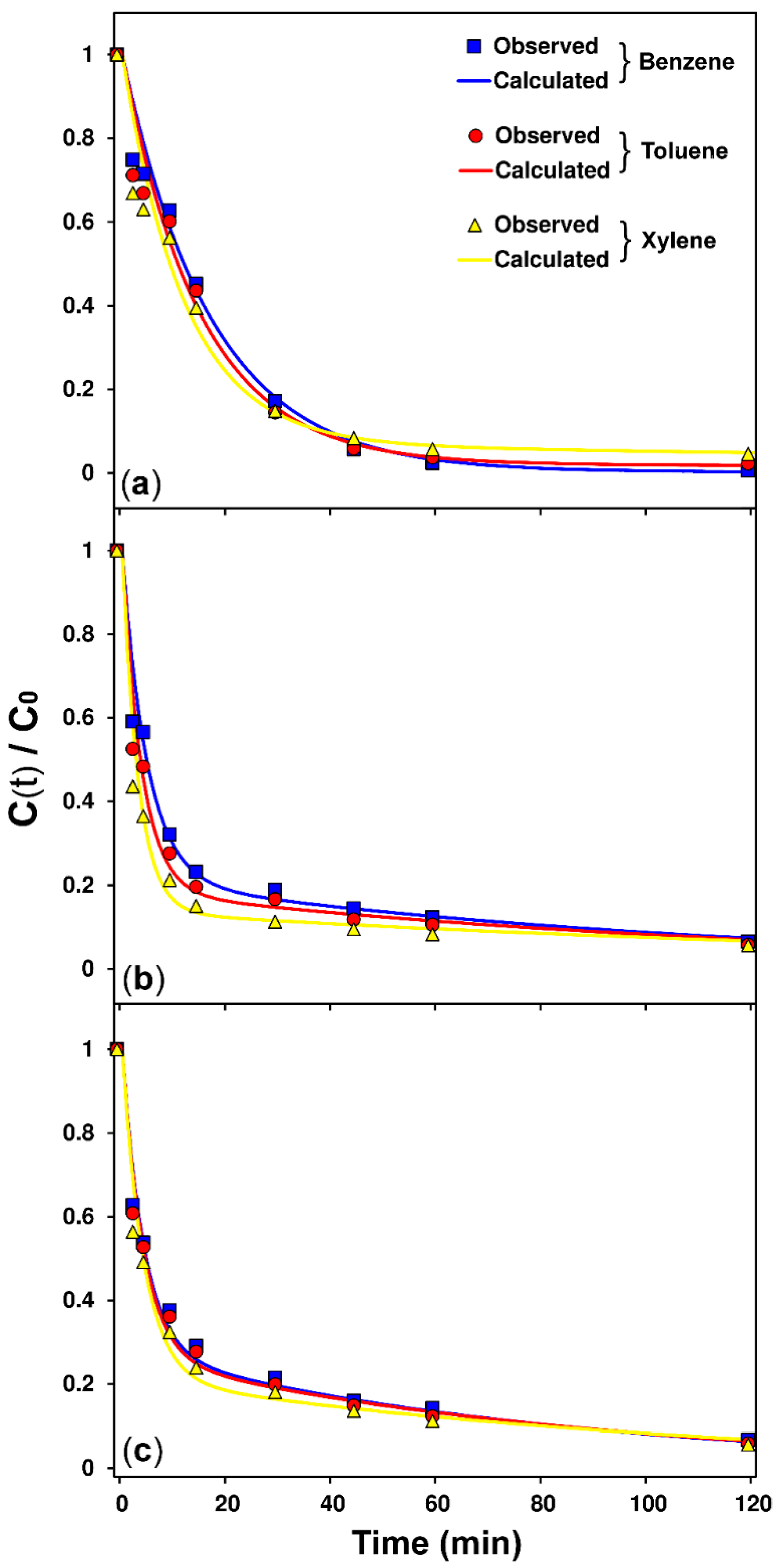
3. Results and Discussion
4. Conclusions
Author Contributions
Funding
Acknowledgments
Conflicts of Interest
Appendix A
References
- Li, X.; Wang, C.; Zhang, J.; Liu, J.; Liu, B.; Chen, G. Preparation and application of magnetic biochar in water treatment: A critical review. Sci. Total Environ. 2020, 711, 134847. [Google Scholar] [CrossRef]
- Sulaiman, A.A.; Attalla, E.; Sherif, M.A.S. Water Pollution: Source and Treatment. Am. J. Environ. Eng. 2016, 6, 88–98. [Google Scholar]
- Schweitzer, L.; Noblet, J. Water Contamination and Pollution. In Green Chemistry: An Inclusive Approach; Torok, B., Ed.; Elsevier: Cambridge, MA, USA, 2017; pp. 261–290. [Google Scholar]
- Tursi, A.; Beneduci, A.; Chidichimo, F.; De Vietro, N.; Chidichimo, G. Remediation of hydrocarbons polluted water by hydrophobic functionalized cellulose. Chemosphere 2018, 201, 530–539. [Google Scholar] [CrossRef] [PubMed]
- Mitra, S.; Roy, P. BTEX: A Serious Ground-water Contaminant. Res. J. Environ. Sci. 2011, 5, 394–398. [Google Scholar] [CrossRef][Green Version]
- Speight, J.G. Heavy Oil Recovery and Upgrading; Elsevier BV: Amsterdam, The Netherlands, 2019; pp. 3–47. [Google Scholar]
- Alberici, R.M.; Zampronio, C.G.; Poppi, R.J.; Eberlin, M.N. Water solubilization of ethanol and BTEX from gasoline: On-line monitoring by membrane introduction mass spectrometry. Analyst 2002, 127, 230–234. [Google Scholar] [CrossRef]
- Costa, A.; Romão, L.P.C.; Araújo, B.; Lucas, S.; Maciel, S.; Wisniewski, A.; Alexandre, M. Environmental strategies to remove volatile aromatic fractions (BTEX) from petroleum industry wastewater using biomass. Bioresour. Technol. 2012, 105, 31–39. [Google Scholar] [CrossRef] [PubMed]
- Mazzeo, D.E.C.; Levy, C.E.; Angelis, D.D.F.D.; Marin-Morales, M.A. BTEX biodegradation by bacteria from effluents of petroleum refinery. Sci. Total Environ. 2010, 408, 4334–4340. [Google Scholar] [CrossRef]
- Akhbarizadeh, R.; Moore, F.; Keshavarzi, B.; Moeinpour, A. Aliphatic and polycyclic aromatic hydrocarbons risk assessment in coastal water and sediments of Khark Island, SW Iran. Mar. Pollut. Bull. 2016, 108, 33–45. [Google Scholar] [CrossRef]
- Wilbur, S.; Bosch, S. Interaction Profile for Benzene, Toluene, Ethylbenzene, and Xylenes (BTEX). Agency Toxic Subst. Dis. Regist. 2004. Available online: https://www.atsdr.cdc.gov/interactionprofiles/ip-btex/ip05.pdf (accessed on 11 November 2020).
- World Health Organization. Tobacco Smoke and Involuntary Smoking. In IARC Monographs on the Evaluation of Carcinogenic Risks to Humans; World Health Organization, International Agency for Research on Cancer: Lyon, France, 2004; Volume 83. [Google Scholar]
- Jodeh, S.; Ahmad, R.; Suleiman, M.; Radi, S.; Emran, K.M.; Salghi, R.; Warad, I.; Hadda, T.B. Kinetics, thermodynamics and adsorption of BTX removal from aqueous solution via date-palm pits carbonization using SPME/GC–MS. J. Ind. Eng. Chem. 2015, 6, 2853–2870. [Google Scholar]
- Daifullah, A.; Girgis, B. Impact of surface characteristics of activated carbon on adsorption of BTEX. Colloids Surf. A Physicochem. Eng. Asp. 2003, 214, 181–193. [Google Scholar] [CrossRef]
- Mrowiec, B. Effect of BTX on biological treatment of sewage. Environ. Prot. Eng. 2009, 35, 197–206. [Google Scholar]
- Bell, J.; Melcer, H.; Monteith, H.; Osinga, I.; Steel, P. Stripping of volatile organic compounds at full-scale municipal wastewater treatment plants. Water Environ. Res. 1993, 65, 708–716. [Google Scholar] [CrossRef]
- Namkung, E.; Rittman, B.E. Estimating volatile organic compound emission from publicly owned treatment works. J. Water Pollut. Control Fed. 1987, 59, 670–678. [Google Scholar]
- Roccotelli, A.; Araniti, F.; Tursi, A.; Simeone, G.D.R.; Rao, M.A.; Lania, I.; Chidichimo, G.; Abenavoli, M.R.; Gelsomino, A. Organic Matter Characterization and Phytotoxic Potential Assessment of a Solid Anaerobic Digestate Following Chemical Stabilization by an Iron-Based Fenton Reaction. J. Agric. Food Chem. 2020, 68, 9461–9474. [Google Scholar] [CrossRef]
- Tiburtius, E.R.L.; Peralta-Zamora, P.; Emmel, A. Treatment of gasoline-contaminated waters by advanced oxidation processes. J. Hazard. Mater. 2005, 126, 86–90. [Google Scholar] [CrossRef]
- De Vietro, N.; Tursi, A.; Beneduci, A.; Chidichimo, F.; Milella, A.; Fracassi, F.; Chatzisymeon, E.; Chidichimo, G. Photocatalytic inactivation of Escherichia coli bacteria in water using low pressure plasma deposited TiO2 cellulose fabric. Photochem. Photobiol. Sci. 2019, 18, 2248–2258. [Google Scholar] [CrossRef]
- Lhotský, O.; Krákorová, E.; Mašín, P.; Žebrák, R.; Linhartová, L.; Křesinová, Z.; Kašlík, J.; Steinová, J.; Rødsand, T.; Filipová, A.; et al. Pharmaceuticals, benzene, toluene and chlorobenzene removal from contaminated groundwater by combined UV/H2O2 photo-oxidation and aeration. Water Res. 2017, 120, 245–255. [Google Scholar] [CrossRef]
- Andreozzi, R. Advanced oxidation processes (AOP) for water purification and recovery. Catal. Today 1999, 53, 51–59. [Google Scholar] [CrossRef]
- Mascolo, G.; Ciannarella, R.; Balest, L.; Lopez, A. Effectiveness of UV-based advanced oxidation processes for the remediation of hydrocarbon pollution in the groundwater: A laboratory investigation. J. Hazard. Mater. 2008, 152, 1138–1145. [Google Scholar] [CrossRef]
- Garoma, T.; Gurol, M.D.; Osibodu, O.; Thotakura, L. Treatment of groundwater contaminated with gasoline components by an ozone/UV process. Chemosphere 2008, 73, 825–831. [Google Scholar] [CrossRef] [PubMed]
- Pignatello, J.J.; Oliveros, E.; Mackay, A. Advanced Oxidation Processes for Organic Contaminant Destruction Based on the Fenton Reaction and Related Chemistry. Crit. Rev. Environ. Sci. Technol. 2006, 36, 1–84. [Google Scholar] [CrossRef]
- Chang, S.W.; La, H.J.; Lee, S.J. Microbial degradation of benzene, toluene, ethylbenzene and xylene isomers (BTEX) contaminated groundwater in Korea. Water Sci. Technol. 2001, 44, 165–171. [Google Scholar] [CrossRef] [PubMed]
- Corseuil, H.X.; Alvarez, P.J.J. Natural bioremediation perspective for BTX-contaminated groundwater in Brazil: Effect of ethanol. Water Sci. Technol. 1996, 34, 311–318. [Google Scholar] [CrossRef]
- Abdullahi, M.E.; Abu Hassan, M.A.; Noor, Z.Z.; Ibrahim, R.R. Temperature and air–water ratio influence on the air stripping of benzene, toluene and xylene. Desalin. Water Treat. 2014, 54, 2832–2839. [Google Scholar] [CrossRef]
- Ball, B.R.; Edwards, M.D. Air stripping VOCs from groundwater: Process design considerations. Environ. Prog. 1992, 11, 39–48. [Google Scholar] [CrossRef]
- Saiz-Rubio, R.; Balseiro-Romero, M.; Antelo, J.; Díez, E.; Fiol, S.; Macías, F. Biochar as low-cost sorbent of volatile fuel organic compounds: Potential application to water remediation. Environ. Sci. Pollut. Res. 2018, 26, 11605–11617. [Google Scholar] [CrossRef]
- Torabian, A.; Kazemian, H.; Seifi, L.; Bidhendi, G.N.; Azimi, A.A.; Ghadiri, S.K. Removal of Petroleum Aromatic Hydrocarbons by Surfactant-modified Natural Zeolite: The Effect of Surfactant. CLEAN Soil Air Water 2010, 38, 77–83. [Google Scholar] [CrossRef]
- Crisafully, R.; Milhome, M.A.L.; Cavalcante, R.M.; Silveira, E.R.; De Keukeleire, D.; Nascimento, R.F. Removal of some polycyclic aromatic hydrocarbons from petrochemical wastewater using low-cost adsorbents of natural origin. Bioresour. Technol. 2008, 99, 4515–4519. [Google Scholar] [CrossRef]
- Brandão, P.C.; Souza, T.C.; Ferreira, C.A.; Hori, C.E.; Romanielo, L.L. Removal of petroleum hydrocarbons from aqueous solution using sugarcane bagasse as adsorbent. J. Hazard. Mater. 2010, 175, 1106–1112. [Google Scholar] [CrossRef]
- Khan, E.; Virojnagud, W.; Ratpukdi, T. Use of biomass sorbents for oil removal from gas station runoff. Chemosphere 2004, 57, 681–689. [Google Scholar] [CrossRef] [PubMed]
- Inagaki, M.; Kawahara, A.; Konno, H. Sorption and recovery of heavy oils using carbonized fir fibers and recycling. Carbon 2002, 40, 105–111. [Google Scholar] [CrossRef]
- Tursi, A.; De Vietro, N.; Beneduci, A.; Milella, A.; Chidichimo, F.; Fracassi, F. Low pressure plasma functionalized cellulose fiber for the remediation of petroleum hydrocarbons polluted water. J. Hazard. Mater. 2019, 373, 773–782. [Google Scholar] [CrossRef] [PubMed]
- Tursi, A.; Chatzisymeon, E.; Chidichimo, F.; Beneduci, A.; Chidichimo, G. Removal of Endocrine Disrupting Chemicals from Water: Adsorption of Bisphenol-A by Biobased Hydrophobic Functionalized Cellulose. Int. J. Environ. Res. Public Health 2018, 15, 2419. [Google Scholar] [CrossRef] [PubMed]
- Arias, F.E.A.; Beneduci, A.; Chidichimo, F.; Furia, E.; Straface, S. Study of the adsorption of mercury (II) on lignocellulosic materials under static and dynamic conditions. Chemosphere 2017, 180, 11–23. [Google Scholar] [CrossRef] [PubMed]
- Romeo, I.; Olivito, F.; Tursi, A.; Algieri, V.; Beneduci, A.; Chidichimo, G.; Maiuolo, L.; Sicilia, E.; De Nino, A. Totally green cellulose conversion into bio-oil and cellulose citrate using molten citric acid in an open system: Synthesis, characterization and computational investigation of reaction mechanisms. RSC Adv. 2020, 10, 34738–34751. [Google Scholar] [CrossRef]
- Bismarck, A.; Aranberri-Askargorta, I.; Lampke, U.-P.D.-I.H.T.; Wielage, B.; Stamboulis, A.; Shenderovich, I.; Limbach, H.-H. Surface characterization of flax, hemp and cellulose fibers; Surface properties and the water uptake behavior. Polym. Compos. 2002, 23, 872–894. [Google Scholar] [CrossRef]
- Tursi, A. A review on biomass: Importance, chemistry, classification, and conversion. Biofuel Res. J. 2019, 6, 962–979. [Google Scholar] [CrossRef]
- Gabriele, B.; Cerchiara, T.; Salerno, G.; Chidichimo, G.; Vetere, M.V.; Alampi, C.; Gallucci, M.C.; Conidi, C.; Cassano, A. A new physical-chemical process for the efficient production of cellulose fibers from Spanish broom (Spartium junceum L.). Bioresour. Technol. 2010, 101, 724–729. [Google Scholar] [CrossRef]
- Cerchiara, T.; Chidichimo, G.; Rondi, G.; Gallucci, M.C.; Gattuso, C.; Luppi, B.; Bigucci, F. Chemical Composition, morphology and tensile properties of Spanish broom (Spartium junceum L.) fibres in comparison with flax (Linum usitatissimum L.). Fibres Text. East. Eur. 2014, 22, 25–28. [Google Scholar]
- Bahrami, H.M.A.; Sadeghian, M.; Golbabaei, F. Determination of Benzene, Toluene and Xylene (BTX) Concentrations in Air Using HPLC Developed Method Compared to Gas Chromatography. Int. J. Occup. Hyg. 2011, 3, 12–17. [Google Scholar]
- Sander, R. Compilation of Henry’s law constants (version 4.0) for water as solvent. Atmos. Chem. Phys. Discuss. 2015, 15, 4399–4981. [Google Scholar] [CrossRef]
- Smith, J.; Bomberger, D.; Haynes, D. Predication of the volatilization rates of high-volatility chemicals from natural water bodies. Environ. Sci. Technol. 1980, 14, 1332–1336. [Google Scholar] [CrossRef]
- Mackay, D.; Leinonen, P.J. Rate of evaporation of low-solubility contaminants from water bodies to atmosphere. Environ. Sci. Technol. 1975, 9, 1178–1180. [Google Scholar] [CrossRef]
- Chao, H.-P.; Lee, J.-F.; Lee, C.-K.; Huang, F.-C.; Annadurai, G. Volatilization reduction of monoaromatic compounds in nonionic surfactant solutions. Chem. Eng. J. 2008, 142, 161–167. [Google Scholar] [CrossRef]
- Bao, Y.; Qian, H.-J.; Lu, Z.-Y.; Cui, S. Revealing the Hydrophobicity of Natural Cellulose by Single-Molecule Experiments. Macromolecules 2015, 48, 3685–3690. [Google Scholar] [CrossRef]
- Chen, Y.; Fan, D.; Han, Y.; Lyu, S.; Lu, Y.; Li, G.; Jiang, F.; Wang, S. Effect of high residual lignin on the properties of cellulose nanofibrils/films. Cellulose 2018, 25, 6421–6431. [Google Scholar] [CrossRef]
- Jiang, Y.; Liu, X.; Yang, Q.; Song, X.; Qin, C.; Wang, S.; Li, K. Effects of residual lignin on composition, structure and properties of mechanically defibrillated cellulose fibrils and films. Cellulose 2019, 26, 1577–1593. [Google Scholar] [CrossRef]






| Parameters | Benzene | Toluene | Xylenes |
|---|---|---|---|
| Formula | C6H6 | C6H5CH3 | C8H10 |
| Molar Weight | 78.12 | 92.15 | 106.18 |
| Density (g/mL) | 0.8765 | 0.8669 | 0.8685 |
| Polarity | Non-polar | Non-polar | Non-polar |
| Solubility in water (mg/L) | 1780 | 500 | 175–198 |
| Octanol-water partition coeff. (20 °C) (logKow) | 2.13 | 2.89 | 2.77–3.15 |
| Henry’s law costant (25 °C) (kPa m3/mole) | 0.55 | 0.67 | 0.50–0.71 |
| Pollutant | Retention Time (min) | Concentration Range (mg/L) | R2 | LOD (mg/L) | LOQ (mg/L) |
|---|---|---|---|---|---|
| Benzene | 2.070 | 1.56–155.44 | 0.9997502 | 0.52 | 1.56 |
| Toluene | 3.143 | 1.84–184.00 | 0.9999607 | 0.61 | 1.84 |
| Xylenes | 5.212 | 2.04–203.80 | 0.9996763 | 0.68 | 2.03 |
| Pollutants | |
|---|---|
| Benzene | 0.029 (±0.003) |
| Toluene | 0.030 (±0.010) |
| Xylenes | 0.031 (±0.004) |
| RF | MDI-FF | PFF | |||||||
|---|---|---|---|---|---|---|---|---|---|
| Benzene | Toluene | Xylenes | Benzene | Toluene | Xylenes | Benzene | Toluene | Xylenes | |
| (min−1) | 3.0 × 10−2 | 3.6 × 10−2 | 4.9 × 10−2 | 1.3 × 10−1 | 1.85 × 10−1 | 2.5 × 10−1 | 1.4 × 10−1 | 1.47 × 10−1 | 1.57 × 10−1 |
| (min−1) | 1.3 × 10−3 | 2.5 × 10−3 | 9.2 × 10−3 | 5.2 × 10−2 | 5.8 × 10−2 | 5.1 × 10−2 | 7.9 × 10−2 | 7.6 × 10−2 | 6.1 × 10−2 |
| (min−1) | 3.0 × 10−2 | 3.0 × 10−2 | 3.0 × 10−2 | 3.6 × 10−2 | 3.7 × 10−2 | 3.7 × 10−2 | 3.7 × 10−2 | 3.7 × 10−2 | 3.7 × 10−2 |
| 22.52 | 14.32 | 5.34 | 2.53 | 3.19 | 4.84 | 1.81 | 1.94 | 2.58 | |
| R2 | 0.985 | 0.976 | 0.966 | 0.985 | 0.982 | 0.988 | 0.984 | 0.983 | 0.987 |
| Benzene | Toluene | Xylenes | ||||||||||
|---|---|---|---|---|---|---|---|---|---|---|---|---|
| tmax (min) | %ads | %ev | %rdc | tmax (min) | %ads | %ev | %rdc | tmax (min) | %ads | %ev | %rdc | |
| RF | 99 | 48.3 | 51.0 | 0.7 | 62 | 50.0 | 46.5 | 3.5 | 40 | 50.4 | 40.1 | 9.5 |
| MDI-FF | 16 | 54.4 | 24.5 | 21.1 | 13 | 60.6 | 20.2 | 19.2 | 16 | 69.1 | 16.4 | 14.5 |
| PFF | 13 | 49.0 | 24.1 | 26.9 | 13 | 50.6 | 23.6 | 25.8 | 14 | 55.7 | 23.0 | 21.3 |
| Benzene | Toluene | Xylenes | ||||
|---|---|---|---|---|---|---|
| teq (min) | %adseq | teq (min) | %adseq | teq (min) | %adseq | |
| RF | 207 | 96 | 174 | 93 | 101 | 84 |
| MDI-FF | 25 | 71 | 22 | 76 | 23 | 83 |
| PFF | 19 | 64 | 19 | 66 | 36 | 72 |
Publisher’s Note: MDPI stays neutral with regard to jurisdictional claims in published maps and institutional affiliations. |
© 2020 by the authors. Licensee MDPI, Basel, Switzerland. This article is an open access article distributed under the terms and conditions of the Creative Commons Attribution (CC BY) license (http://creativecommons.org/licenses/by/4.0/).
Share and Cite
Tursi, A.; Chidichimo, F.; Bagetta, R.; Beneduci, A. BTX Removal from Open Aqueous Systems by Modified Cellulose Fibers and Evaluation of Competitive Evaporation Kinetics. Water 2020, 12, 3154. https://doi.org/10.3390/w12113154
Tursi A, Chidichimo F, Bagetta R, Beneduci A. BTX Removal from Open Aqueous Systems by Modified Cellulose Fibers and Evaluation of Competitive Evaporation Kinetics. Water. 2020; 12(11):3154. https://doi.org/10.3390/w12113154
Chicago/Turabian StyleTursi, Antonio, Francesco Chidichimo, Rita Bagetta, and Amerigo Beneduci. 2020. "BTX Removal from Open Aqueous Systems by Modified Cellulose Fibers and Evaluation of Competitive Evaporation Kinetics" Water 12, no. 11: 3154. https://doi.org/10.3390/w12113154
APA StyleTursi, A., Chidichimo, F., Bagetta, R., & Beneduci, A. (2020). BTX Removal from Open Aqueous Systems by Modified Cellulose Fibers and Evaluation of Competitive Evaporation Kinetics. Water, 12(11), 3154. https://doi.org/10.3390/w12113154

