Effect of Gate Selection on the Non-Cohesive Sedimentation in Irrigation Schemes
Abstract
1. Introduction
1.1. Background
1.2. Previous Studies
2. Materials and Methods
2.1. Data
2.1.1. Bathymetry
2.1.2. Roughness
2.1.3. Sediment Data
2.1.4. Gates
2.2. Delft3D Model
2.2.1. Governing Equations
2.2.2. Model Setup
2.3. Study Area
2.4. Validation
2.4.1. Hydrodynamic Validation
2.4.2. Morphological Validation
2.5. Scenarios
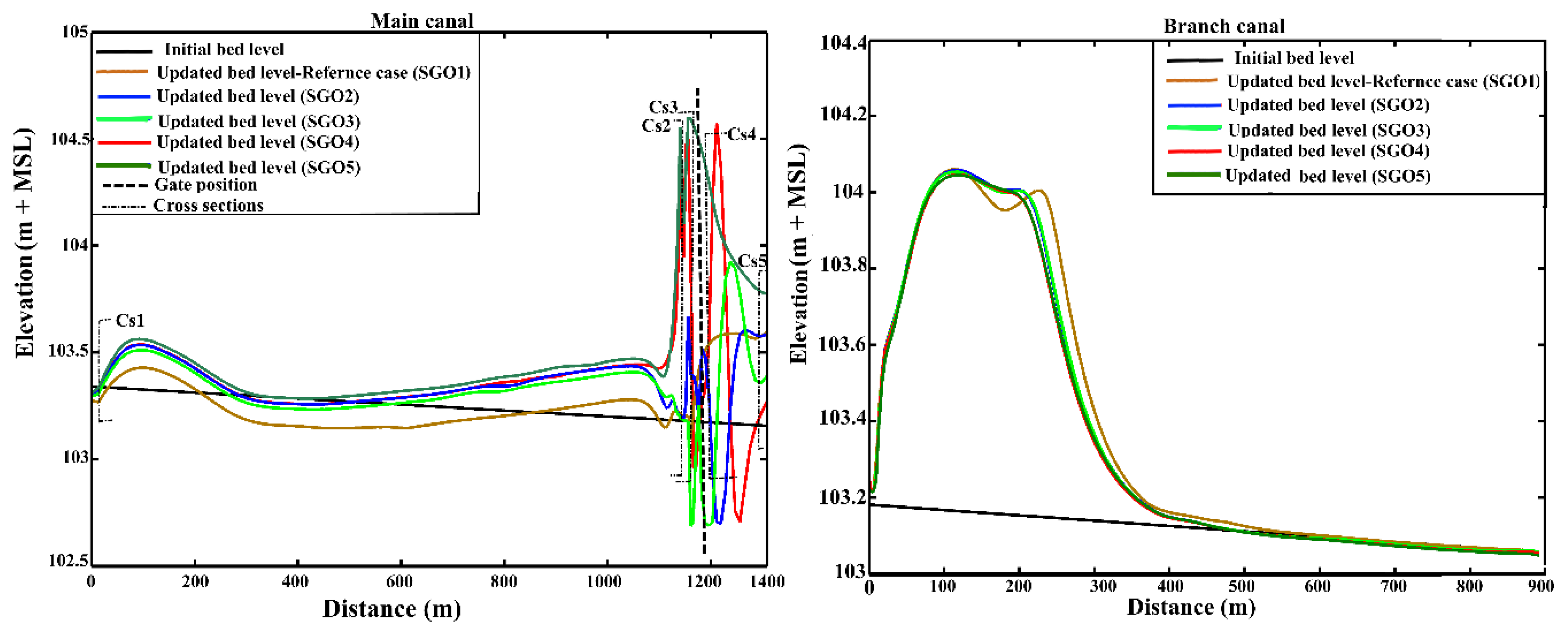
3. Results
3.1. Scenario 1 Reference Case (SGO1) all Gates Open
3.2. Scenario 2 Gate Operation
3.2.1. Operating Two Gates
Gate a and b (SGO2)
Gate b and c (SGO3)
Gates c and d (SGO4)
Gate a and d (SGO5)
3.2.2. Operating One Gate
Gate a (SGO6)
Gate b (SGO7)
Gate c (SGO8)
Gate d (SGO9)
4. Discussion
5. Conclusions
Supplementary Materials
Author Contributions
Funding
Acknowledgments
Conflicts of Interest
References
- Depeweg, H.; Paudel, K.P.; Méndez, N. Sediment Transport in Irrigation Canals: A New Approach; CRC Press/Balkema: Leiden, The Netherlands, 2014. [Google Scholar]
- Osman, I.S.; Schultz, B.; Osman, A.; Suryadi, F. Simulation of fine sediment transport in irrigation canals of the gezira scheme with the numerical model FSEDT. J. Irrig. Drain. Eng. 2016, 142. [Google Scholar] [CrossRef]
- Munir, S. Role of Sediment Transport in Operation and Maintenance of Supply and Demand Based Irrigation Canals: Application to Machai Maira Branch Canals: UNESCO-IHE; CRC Press/Balkema: Leiden, The Netherlands, 2011. [Google Scholar]
- Dal Sasso, S.F.; Sole, A.; Pinzón, A.B.; Medina, V.; Mirauda, D.; Plantamura, A.V.; Giosa, L.; Guariglia, A. Analysis of river bed dynamic evolution following a landslide dam. La Houille Blanche 2015, 88–95. [Google Scholar] [CrossRef]
- Shimizu, Y.; Nelson, J.; Arnez Ferrel, K.; Asahi, K.; Giri, S.; Inoue, T.; Iwasaki, T.; Jang, C.L.; Kang, T.; Kimura, I. Advances in computational morphodynamics using the International River Interface Cooperative (iRIC) software. Earth Surf. Process. Landf. 2020, 45, 11–37. [Google Scholar] [CrossRef]
- Depeweg, H.; Paudel, K. Sediment transport problems in Nepal evaluated by the SETRIC model. Irrig. Drain. 2003, 52, 247–260. [Google Scholar] [CrossRef]
- Paudel, K.P. Role of Sediment in the Design and Management of Irrigation Canals: Sunsari Morang Irrigation Scheme, Nepal: UNESCO-IHE; CRC Press/Balkema: Leiden, The Netherlands, 2010. [Google Scholar]
- Theol, S.; Jagers, B.; Suryadi, F.; De Fraiture, C. The role of operation in reducing problems with cohesive and non-cohesive sediments in irrigation canals. Water 2019, 11, 2572. [Google Scholar] [CrossRef]
- Theol, S.; Jagers, B.; Suryadi, F.; De Fraiture, C. The use of 2D/3D models to show the differences between cohesive and non-cohesive sediments in irrigation systems. Am. J. Irrig. Drain. Eng. (ASCE) 2020. forthcoming. [Google Scholar]
- Acuña, G.J.; Ávila, H.; Canales, F.A. River model calibration based on design of experiments theory. A case study: Meta River, Colombia. Water 2019, 11, 1382. [Google Scholar] [CrossRef]
- Berchtold, T.; Weitbrecht, V.; Vetsch, D.; BOES, R. Numerical modelling of bed level evolution in a channel enlargement. In Proceedings of the RCEM 2011: Proceedings of the 7th IAHR Symposium of River, Coastal and Estuarine Morphodynamics, Beijing, China, 6–8 September 2011; pp. 1425–1435. [Google Scholar]
- Roelvink, D.; Reniers, A.; Van Dongeren, A.; De Vries, J.V.T.; McCall, R.; Lescinski, J. Modelling storm impacts on beaches, dunes and barrier islands. Coast. Eng. 2009, 56, 1133–1152. [Google Scholar] [CrossRef]
- Villaret, C.; Hervouet, J.-M.; Kopmann, R.; Merkel, U.; Davies, A.G. Morphodynamic modeling using the Telemac finite-element system. Comput. Geosci. 2013, 53, 105–113. [Google Scholar] [CrossRef]
- Deltares. Delft3D-Flow User Manual; Deltares: Delft, The Netherlands. Available online: https://oss.deltares.nl/documents/183920/185723/Delft3D-FLOW_User_Manual.pdf (accessed on 17 September 2020).
- Lesser, G.R.; Roelvink, J.v.; Van Kester, J.; Stelling, G. Development and validation of a three-dimensional morphological model. Coast. Eng. 2004, 51, 883–915. [Google Scholar] [CrossRef]
- Yangkhurung, J.R. Effect of Canal Operation on Sedimentation and Erosion in Irrigation Canals: A Case Study in Sunsari Morang Irrigation System, Nepal; UNESCO-IHE: Delft, The Netherlands, 2018. [Google Scholar]
- Mishra, S.K. Draft Report On Main Irrigation Canal Operation Plan For Crops In Sitagunj Secondary Canal (S9) Irrigation System; Department of Irrigation-IWRMP: Katmandu, Nepal, 2016. [Google Scholar]
- Department of Irrigation. Design Report Vol-I, Main Report and Appendices; Prepared by NEDECO for Sunsari Morang Irrigation Project Stage III (Phase-I), Department of Irrigation, Ministry of Water Resources: Katmandu, Nepal, 2003. [Google Scholar]
- Chow, T.V. Open-Channel Hydraulics; McGraw-Hill: New York, NY, USA, 1959; Volume 1. [Google Scholar]
- Renault, D.; Wahaj, R. MASSCOT: A Methodology to Modernize Irrigation Services and Operation in Canal Systems. Applications to Two Systems in Nepal Terai: Sunsari Morang Irrigation System and Narayani Irrigation System; FAO: Rome, Italy, 2006; pp. 1–42. [Google Scholar]
- Javernick, L.; Hicks, D.; Measures, R.; Caruso, B.; Brasington, J. Numerical modelling of braided rivers with structure-from-motion-derived terrain models. River Res. Appl. 2016, 32, 1071–1081. [Google Scholar] [CrossRef]
- Flokstra, C. Modelling of submerged vanes. J. Hydraul. Res. 2006, 44, 591–602. [Google Scholar] [CrossRef]
- Parsapour-Moghaddam, P.; Rennie, C.D. Hydrostatic versus nonhydrostatic hydrodynamic modelling of secondary flow in a tortuously meandering river: Application of Delft3D. River Res. Appl. 2017, 33, 1400–1410. [Google Scholar] [CrossRef]
- Lesser, G.R. An Approach to Medium-Term Coastal Morphological Modelling: UNESCO-IHE; CRC Press/ Balkema: Leiden, The Netherlands, 2009; p. 255. [Google Scholar]
- Roelvink, J.; Van Banning, G. Design and development of DELFT3D and application to coastal morphodynamics. Oceanogr. Lit. Rev. 1995, 11, 925. [Google Scholar]
- Elias, E.; Walstra, D.; Roelvink, J.; Stive, M.; Klein, M. Hydrodynamic validation of Delft3D with field measurements at Egmond. In Proceedings of the 27th International Conference on Coastal Engineering (ICCE), Sydney, Australia, 16–21 July 2000; pp. 2714–2727. [Google Scholar]
- Van der Wegen, M.; Jaffe, B.; Roelvink, J. Process-based, morphodynamic hindcast of decadal deposition patterns in San Pablo Bay, California. J. Geophys. Res. Earth Surf. 2011, 116, 1856–1887. [Google Scholar] [CrossRef]
- Gebrehiwot, K.A.; Haile, A.M.; De Fraiture, C.; Chukalla, A.D.; Tesfa-alem, G.E. Optimizing flood and sediment management of spate irrigation in Aba’ala Plains. Water Resour. Manag. 2015, 29, 833–847. [Google Scholar] [CrossRef]
- Theol, A.S.; Jagers, B.; Suryadi, F.; de Fraiture, C. The use of Delft3D for irrigation systems simulations. Irrig. Drain. 2019, 68, 318–331. [Google Scholar] [CrossRef]
- De St Venant, B. Theorie du mouvement non-permanent des eaux avec application aux crues des rivers et a l’introduntion des Marees dans leur lit. Acad. de Sci. Comptes Redus 1871, 73, 148–154. [Google Scholar]
- De SAINT-VENANT, B. AJC (1871b). Théorie et Equations Générales du Mouvement Non Permanent des Eaux, avec Application aux Crues des Rivières et à l’Introduction des Marées dans leur Lit (2ème Note). Comptes Rendus des Séances de l’Académie des Sci. 1871, 73, 237–240. [Google Scholar]
- Phillips, N.A. A coordinate system having some special advantages for numerical forecasting. J. Meteorol. 1957, 14, 184–185. [Google Scholar] [CrossRef]
- Stelling, G.S.; Leendertse, J.J. Approximation of convective processes by cyclic AOI methods. In Proceedings of the Estuarine and Coastal Modeling, Tampa, FL, USA, 13–15 November 1992; pp. 771–782. [Google Scholar]
- Postma, L.; Stelling, G.S.; Boon, J. 3-dimensional water quality and hydrodynamic modelling in Hong Kong III. Stratification and water quality. In Proceedings of the Second International Symposium on Environmental Hydraulics, Hong Kong, China, 16–18 December 1998; Lee, J.H.W., Jayawardena, Q.W., Wang, Z.Y., Eds.; Balkema: Rotterdam, The Netherlands, 1999; pp. 43–49. [Google Scholar]
- Rozovskiĭ, I.L.V. Flow of Water in Bends of Open Channels; Academy of Sciences of the Ukrainian SSR: Kiev, Ukraine, 1957. [Google Scholar]
- Stelling, G.S.; Van Kester, J.A.T.M. On the approximation of horizontal gradients in sigma co-ordinates for bathymetry with steep bottom slopes. Int. J. Numer. Methods Fluids 1994, 18, 915–935. [Google Scholar] [CrossRef]
- Van Rijn, L.C. Principles of Sediment Transport in Rivers, Estuaries and Coastal Seas; Aqua Publications: Amsterdam, The Netherlands, 1993. [Google Scholar]
- Soulsby, R. Dynamics of Marine Sands: A Manual for Practical Applications; Thomas Telford: London, UK, 1997. [Google Scholar]
- De Goede, E.D. Historical overview of 2D and 3D hydrodynamic modelling of shallow water flows in the Netherlands. Ocean Dyn. 2020, 70, 521–539. [Google Scholar] [CrossRef]
- Nippon, K. Project Operation Plan; Sunsari Morang Irrigation Project; Ministry of Water Resources, Singhdurbar: Kathmandu, Nepal, 1995.
- Devkota, L.; Crosato, A.; Giri, S. Effect of the barrage and embankments on flooding and channel avulsion case study Koshi River, Nepal. Rural Infrastruct. 2012, 3, 124–132. [Google Scholar]
- DFID, M.M. Equity, Irrigation and Poverty, Guidelines for Sustainable Water Management; Cambridge CB1 2RS UK: Final Report; 2006. Available online: https://assets.publishing.service.gov.uk/media/57a08c17ed915d3cfd001172/R8338EIP_Final_Report_Appendices_Jan2007.pdf (accessed on 20 September 2020).
- Theol, S.A.A.-A. The Use of Delft3D to Simulate the Deposition of Cohesive and Non-Cohesive Sediments in Irrigation Systems; CRC Press: Boca Raton, FL, USA, 2020. [Google Scholar]















| Main Canal | Branch Canal | |
|---|---|---|
| Bed Width, b (m) | 18 | 6 | 
| Canal Depth, H (m) | 6 | 4 | 
| Side Slope, z | 1.5 | 1.5 | 
| Canal Slope, S | 0.00014 | 0.00014 | 
| Main Canal | Branch Canal | ||||
|---|---|---|---|---|---|
| Q [m3/s] | Calculated H, (m) | Simulated H, (m) | Q [m3/s] | Calculated H (m) | Simulated H, (m) | 
| By Delft3D | By Delft3D | ||||
| 7.2 | 1 | 1 | 2.5 | 1 | 1 | 
| 23.3 | 2 | 2 | 5.2 | 1.5 | 1.5 | 
| 30 | 2.3 | 2.3 | 6.3 | 1.7 | 1.7 | 
| 46.9 | 3 | 3 | 8.7 | 2 | 2 | 
| Flow (m3/s) | Water Level (m) | % Variation from Design Discharge | |
|---|---|---|---|
| Designed discharge | 51.3 | 2.98 | |
| DUFLOW Model | 51.3 | 2.97 | 0.0064 | 
| Delft3D Model | 51.3 | 2.91 | −2.18 | 
| Simulation Time | 0.5 Month | 1 Month | ||||
|---|---|---|---|---|---|---|
| Gates | Scenario name | All gates open | Gate a | Gate b | Gate c | Gate d | 
| (left bank) | (middle left) | (middle right) | (right bank) | |||
| All Gates Open | SGO1 | Open | Open | Open | Open | |
| Two gates open | SGO2 (AB) | Open | Open | Closed | Closed | |
| SGO3 (BC) | Closed | Open | Open | Closed | ||
| SGO4 (CD) | Closed | Closed | Open | Open | ||
| SGO5 (AD) | Open | Closed | Closed | Open | ||
| One gate open | SGO6 (A) | Open | Closed | Closed | Closed | |
| SGO7 (B) | Closed | Open | Closed | Closed | ||
| SGO8 (C) | Closed | Closed | Open | Closed | ||
| DGO9 (D) | Closed | Closed | Closed | Open | ||
| % of Discharge Diverted | SGO1 | SGO2 | SGO3 | SGO4 | SGO5 | SGO6 | SGO7 | SGO8 | SGO9 | 
|---|---|---|---|---|---|---|---|---|---|
| Main Canal | 71 | 64 | 64 | 63 | 63 | 51 | 52 | 52 | 50 | 
| Branch Canal | 29 | 36 | 36 | 37 | 37 | 49 | 48 | 48 | 50 | 
| At the Main Canal | |||||||||
|---|---|---|---|---|---|---|---|---|---|
| % of sediment | SGO1 | SGO2 | SGO3 | SGO4 | SGO5 | SGO6 | SGO7 | SGO8 | SGO9 | 
| Deposited along the main canal before the diversion | 79 | 81 | 80 | 80 | 81 | 84 | 84 | 84 | 84 | 
| Diverted to branch canal | 6 | 8 | 8 | 7 | 8 | 7 | 8 | 8 | 7 | 
| Stored at u/s of the gate | 2 | 0 | 0 | 0 | 0 | 0 | 0 | 0 | 0 | 
| Deposited along the main canal d/s the diversion | 14 | 12 | 12 | 13 | 11 | 9 | 8 | 8 | 9 | 
| Total % | 100 | 100 | 100 | 100 | 100 | 100 | 100 | 100 | 100 | 
| At the branch canal | |||||||||
| Deposited at branch canal | 78 | 94 | 95 | 94 | 94 | 92 | 92 | 93 | 93 | 
| Transported out of the branch canal | 22 | 6 | 5 | 6 | 6 | 8 | 8 | 7 | 7 | 
| Total % | 100 | 100 | 100 | 100 | 100 | 100 | 100 | 100 | 100 | 
© 2020 by the authors. Licensee MDPI, Basel, Switzerland. This article is an open access article distributed under the terms and conditions of the Creative Commons Attribution (CC BY) license (http://creativecommons.org/licenses/by/4.0/).
Share and Cite
Theol, S.; Jagers, B.; Yangkhurung, J.R.; Suryadi, F.X.; de Fraiture, C. Effect of Gate Selection on the Non-Cohesive Sedimentation in Irrigation Schemes. Water 2020, 12, 2765. https://doi.org/10.3390/w12102765
Theol S, Jagers B, Yangkhurung JR, Suryadi FX, de Fraiture C. Effect of Gate Selection on the Non-Cohesive Sedimentation in Irrigation Schemes. Water. 2020; 12(10):2765. https://doi.org/10.3390/w12102765
Chicago/Turabian StyleTheol, Shaimaa, Bert Jagers, Jigyasha Rai Yangkhurung, F.X. Suryadi, and Charlotte de Fraiture. 2020. "Effect of Gate Selection on the Non-Cohesive Sedimentation in Irrigation Schemes" Water 12, no. 10: 2765. https://doi.org/10.3390/w12102765
APA StyleTheol, S., Jagers, B., Yangkhurung, J. R., Suryadi, F. X., & de Fraiture, C. (2020). Effect of Gate Selection on the Non-Cohesive Sedimentation in Irrigation Schemes. Water, 12(10), 2765. https://doi.org/10.3390/w12102765
 
        

 
       