Dependence Between Extreme Rainfall Events and the Seasonality and Bivariate Properties of Floods. A Continuous Distributed Physically-Based Approach
Abstract
1. Introduction
- Magnitude and recurrence of the maximum annual peak-flow and volume (univariate approach).
- Seasonality of the maximum annual peak-flow and volume (univariate approach).
- Dependence, magnitude, and recurrence of simultaneous maximum annual peak-flow and volume (bivariate approach).
2. Materials and Methods
- Stochastic weather generation. We generated 5000 years of hourly weather series using the Advanced WEather GENerator (herein AWE-GEN) developed by [28].
- Distributed physically-based hydrological modeling. We modeled the basin response using the TIN-based real-time integrated basin simulator (herein tRIBS [29,30]). We obtained 5000 years of continuous flow at the basin outlet, with a warming period of ten years to reduce the influence of initial conditions in the results obtained.
- Storm events separation and rank. Analyzing the rainfall series within the stochastic weather series generated, we separated the independent storm events applying the exponential method [31]. Afterwards we ranked each storm within its year of occurrence following three main criteria: Total rainfall depth, maximum intensity, and total duration.
- Rainfall versus flood comparison. We obtained the flood hydrograph related to each storm event. We analyzed the relationship between the storm rank and (a) the maximum annual peak-flow and maximum annual volume, (b) the seasonality of flood hydrographs, (c) the dependence between the peak-flow and volume, and (d) the bivariate frequency of floods through a copula-based analysis.
2.1. Stochastic Weather Forcing. AWE-GEN: The Advanced WEather GENerator
2.2. Hydrological Simulations. tRIBS: The TIN-based Real-Time Integrated Basin Simulator
2.3. Storm Events Separation. The Exponential Method and Rank of Storm Events
2.3.1. The Exponential Method
2.3.2. Rank of Storm Events
2.4. Rainfall versus Flood Comparison
2.4.1. Magnitude and Recurrence. Univariate Frequency Analysis
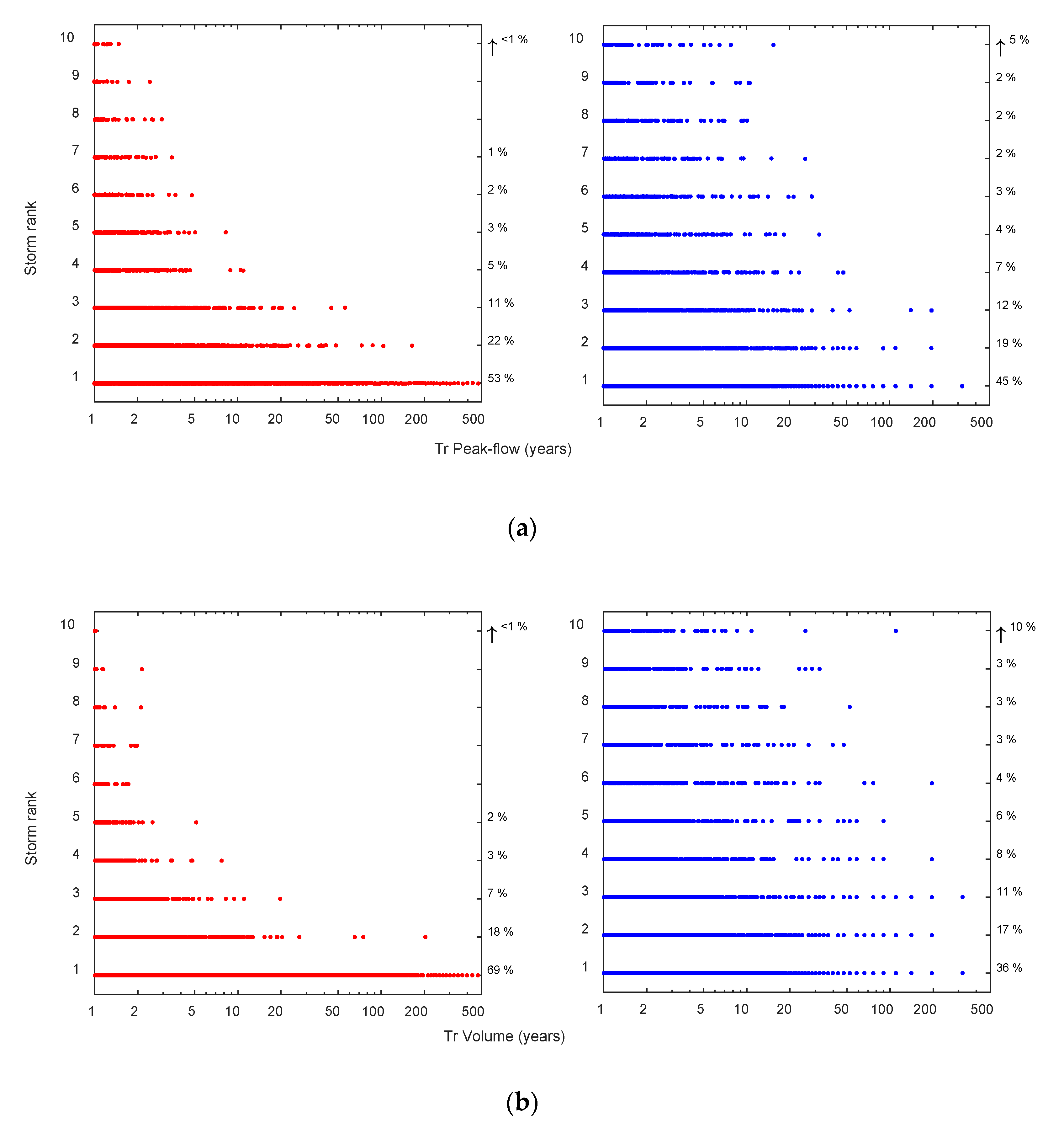
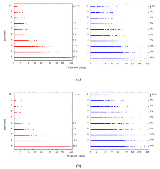
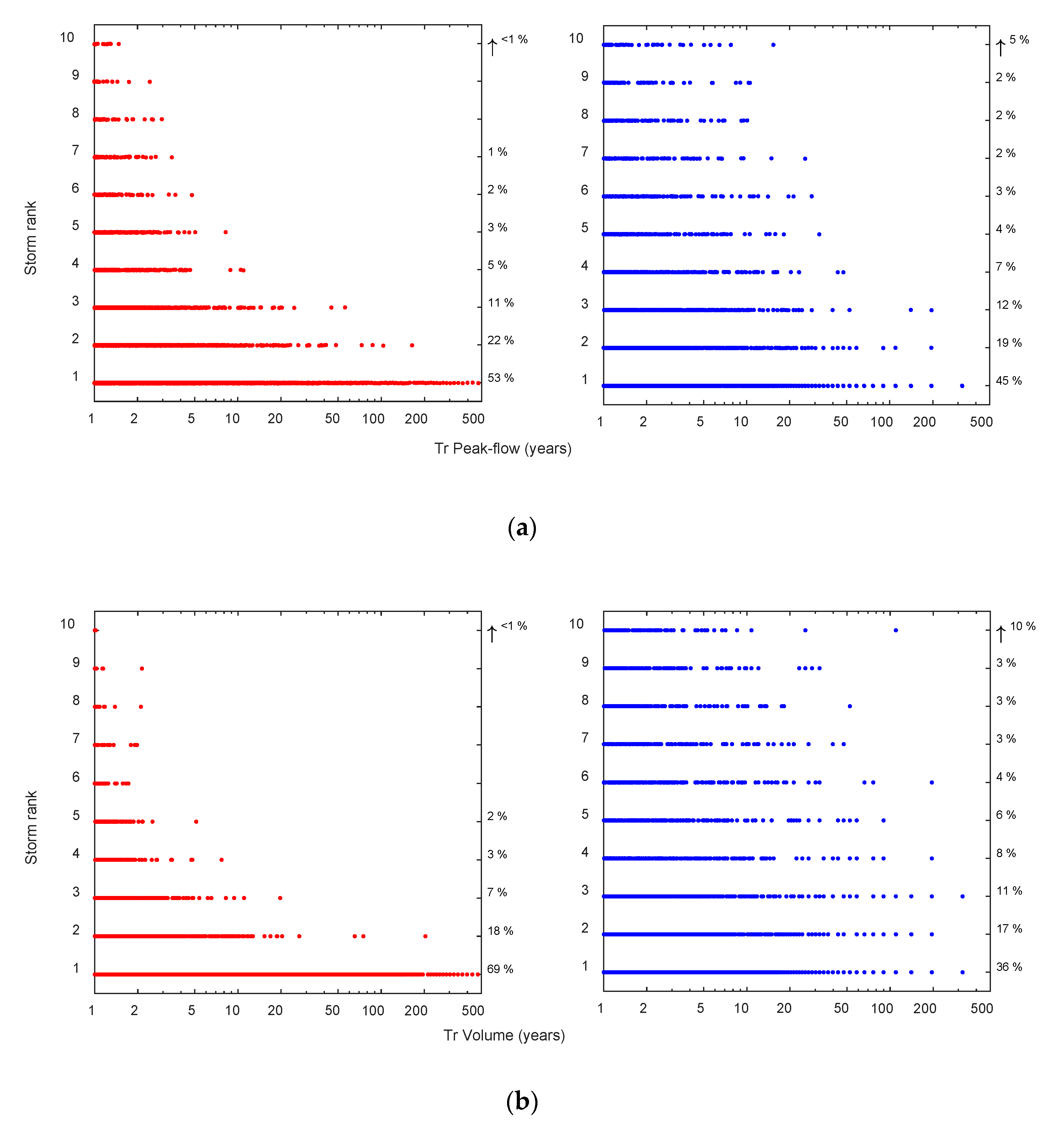
- Probability that a storm with a determined rank generates the maximum annual value of the (a) peak-flow and (b) volume.
- Relation between the storm rank and the return period associated to the (a) maximum annual peak-flow and (b) maximum annual volume.
- Maximum storm rank required to obtain 95% and 99% probability of achieving the (a) maximum peak-flow and (b) maximum volume for a specific year and for different ranges of the return period.
2.4.2. Seasonality
2.4.3. Dependence
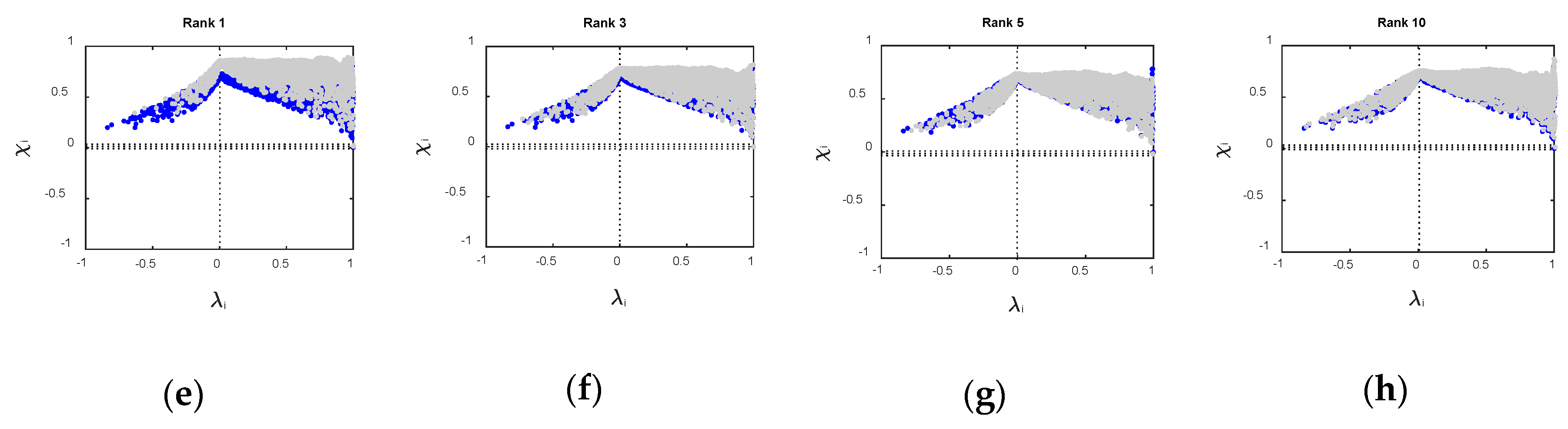
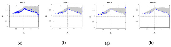
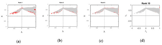
- We graphed the Chi-Plot, which is a technique that displays a measure of location of an observation regarding the whole of the observations (λi) against a measure of the Chi-square test statistic for independence (Χi). Therefore, the bigger the distance between the points and the horizontal axis is, the larger the dependence is. The dependence is positive if the points are above the upper control limit, and negative if they are located below the lower control limit [43,44], which we established with a probability of 90% as shown in Genest et al. [45].
- Spearman’s rho and Kendall’s tau. Moreover, dependence measures are needed to procure a quantitative value of the dependence relation between variables. For this purpose, we adopted the Spearman’s rho and Kendall’s tau as rank-based non-parametric measures of dependence.
2.4.4. Magnitude and Recurrence. Copula-based Frequency Analysis.
2.5. Case Study
2.5.1. Study Basin
2.5.2. Setup of Modeling Experiments
- Stochastic weather generation: We generated 5000 years of punctual hourly weather with AWE-GEN [28], calibrated with the climate data recorded from 1997 to 2016 (both years included) at the Westville weather station: Rainfall, temperature, wind speed, radiation, cloudiness, relative humidity, and atmospheric pressure. Raw data had a resolution of 5 min. We processed the data into hourly values, in order to force AWE-GEN and perform the stochastic weather generation.
- Hydrological simulations: Numerical simulations in PC were carried out using the tRIBS model with a TIN of 6680 nodes (Figure 3b) derived from a US Geological Survey (USGS) 30-m DEM using the procedure described in Vivoni et al. [36]. We based our simulations on a model calibration conducted by Ivanov et al. [29,49] as part of the distributed model intercomparison project. Ivanov et al. [49] obtained a correlation coefficient of 0.763 and a Nash-Sutcliffe coefficient of 0.565 (which can be considered as satisfactory following the guidelines exposed in Sirisena et al. [50]) for the hourly simulated streamflow at the outlet of Baron Fork basin (in which PC is located), compared to the hourly observed streamflow from April of 1994 to July of 2000. To make the experiment approachable, the computational load was balanced by using parallel computing techniques. The basin was partitioned into eight different parts using a surface-flow partitioning script [5] with the graph-partitioning software METIS [51], which balances the number of TIN nodes across processors minimizing the dissections that occur in the channel network. Each processor calculates tRIBS variables within each part of the basin and, every time step each processor sends messages to the others to sum up all the calculations done within the basin. Thus, the computational load is balanced between the different processors (Figure 3c) and the experiment is approachable.
2.6. Limitations of the Methodology
- Rainfall was considered uniform within the whole basin, as a result of using a punctual stochastic weather generator. As pointed out by Liuzzo et al. [8], due to the small size of PC, there is not a big difference between considering the spatial and punctual rainfall. However, within the same study, accounting or not for the rainfall spatially had an appreciable difference for a basin with a bigger drainage area (Baron Fork, 808 km2).
- The study is focused on return periods up to 500 years. For higher return periods, the length of the generated weather forcing series should be analyzed to ensure that it is representative enough of the return period studied.
- The procedure did not account for climate-change effects or land-use changes, but considered stationary climate conditions. However, interannual variations of the mean annual rainfall were accounted for due to the nature of AWE-GEN.
- The methodology is applied to one basin, which limits the extrapolation of the results obtained.
3. Results and Discussion
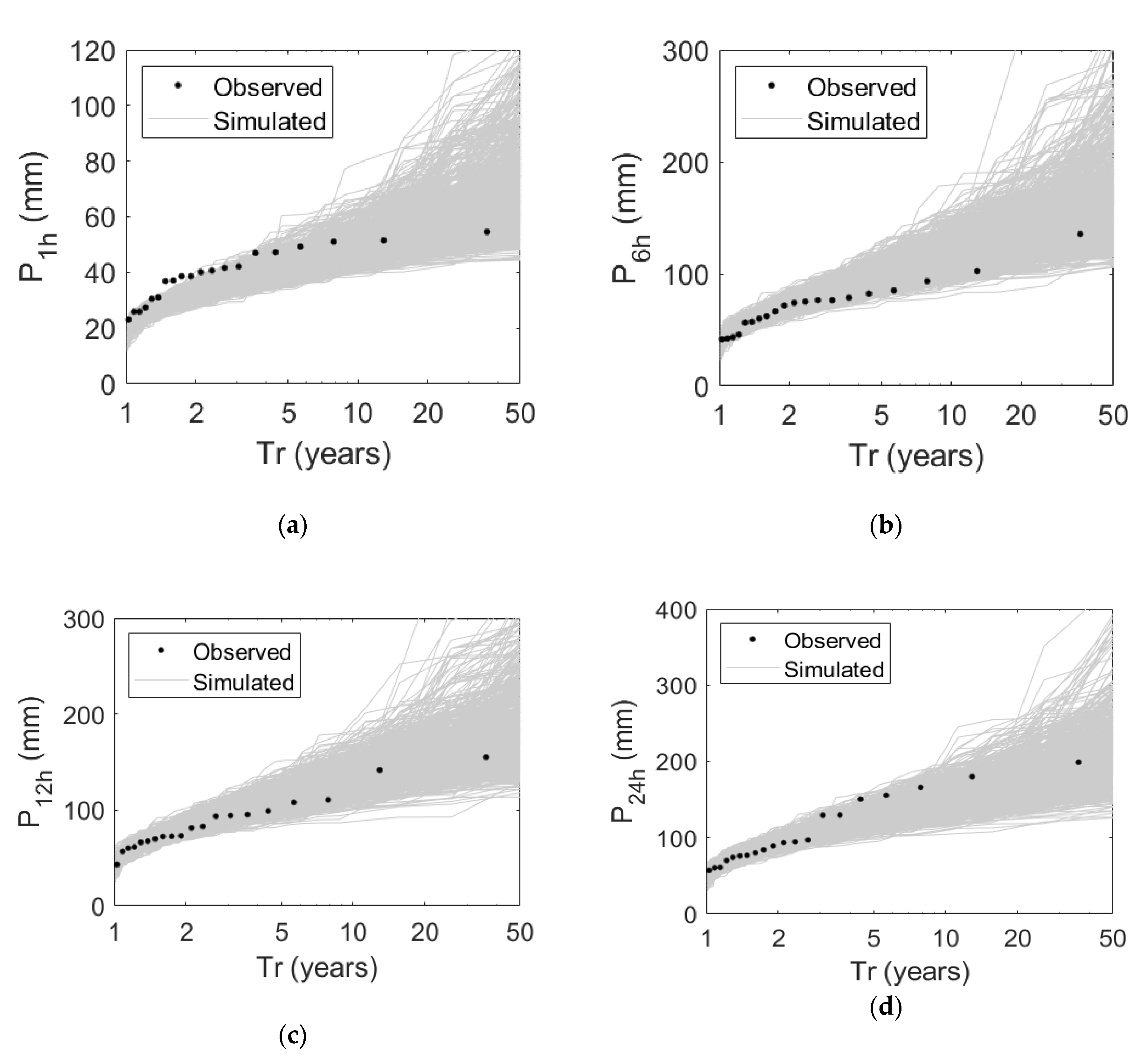
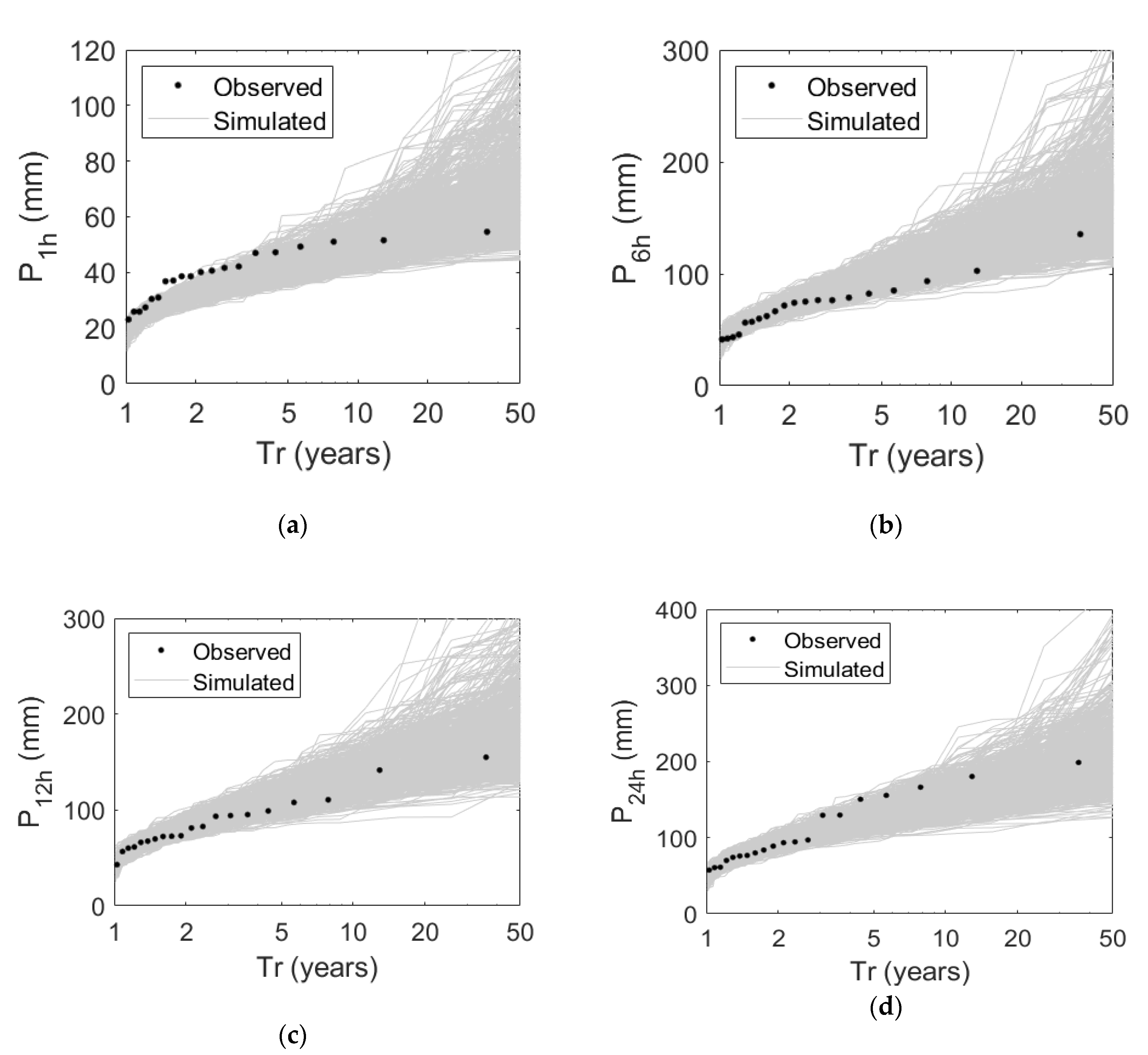
3.1. Stochastic Weather Generation. Rainfall Extremes Validation.
3.2. Rainfall versus Flood Comparison.
3.2.1. Magnitude and Recurrence. Univariate Frequency Analysis
- VEvent. Considering the biggest storm (rank one) results in a probability of generating the maximum annual peak-flow (Table 1) of more than 53%, whereas considering the storms of rank one and two this probability increases to more than 75%. If the storms considered are up to rank 3, this probability exceeds 86%. When analyzing the maximum annual volume (Table 1), the same probabilities are greater than 68%, 86%, and 93%, respectively.
- DEvent. The probability of achieving the maximum annual peak-flow and volume with these criteria is the lowest. Considering storms up to rank ten, the probability of achieving the maximum peak-flow is less than 40% (Table 1), and less than a 60% (Table 1) probability of resulting in the maximum annual volume.
- VEvent. The higher the Tr of the peak-flow (Figure 5a) and volume (Figure 5b) are, the lower the storm rank needed. Therefore, there is a strong correlation between the Tr and the storm rank. For the Tr of the peak-flow over 10 years, all the storm events have a rank lower than or equal to four, whereas for the Tr over 100 years all the storms are of rank one or two. For the Tr of volume over 10 years, all the storm events have a rank lower than or equal to three, whereas for the return periods over 100 years all the storms are also of rank one or two.
- Imax. There is more dispersion than in the VEvent criteria. For the Tr of the peak-flow over 10 years, storms have a rank of ten or lower, whereas for the Tr over 100 years all the storms up to rank three should be considered. In the case of volume, the Tr higher than 10 years corresponds to storms with ranks up to 23 (not shown in Figure 5), whereas for the Tr over 100 years, storms up to rank ten can generate the maximum annual volume.
3.2.2. Seasonality
- VEvent. The seasonality is preserved almost equally if storms are at least considered up to rank three for both the maximum peak-flow and maximum volume.
- IMax. Within this case, to preserve the seasonality obtained from the continuous simulation, storms up to rank ten should be considered in both cases, the maximum peak-flow and maximum volume.
- VEvent. With storms up to rank five, there is less than 1% absolute RE in the estimation of the mean direction of seasonality for both the peak-flow (Table 3) and volume (Table 4). Regarding the radius, which measures the dispersion of the seasonality, considering storms up to rank five have an absolute RE lower than 4%.
- IMax. With this criterion, the smaller absolute values of RE are in the estimation of the mean direction of the maximum peak-flow seasonality (2% if storms up to rank five are considered). When analyzing the mean direction of volume seasonality, RE is over 6% for storms up to rank ten. When it comes to the radio, all RE values are over 10%.
3.2.3. Dependence
- VEvent. The dependence is well preserved, and both scatterplots are visually almost identical when the storm ranks up to three or more are considered. If the biggest storm of the year is considered, the dispersion is bigger.
- Imax. Dependence is also preserved for this criterion, but a higher dispersion is shown in rank periods up to one and three. In the case of considering only the biggest storm (rank one), a big dispersion is found in the upper tail.
3.2.4. Magnitude and Recurrence. Copula-based Frequency Analysis
- Imax. There is not a good agreement between the TK estimated with this criterion compared to the continuous simulation for ranks up to three. If the biggest storm is considered, the TKs are underestimated. In the case of considering storm ranks up to three, the return periods of 50 and 100 years are highly overestimated. TKs are closer with storms up to rank five (still overestimated for 50 and 100 years TKs), and almost a perfect agreement is achieved if rank periods up to 10 are considered.
3.2.5. Discussion
- In all the case studies, among the three criteria of storm event ranking, the best was total depth. This suggests that the choice between one criterion or another has a low dependence on the hydrological model used or how the initial moisture is accounted. Accounting or not for the spatial variability of rainfall does not seem to influence either, but this might be due to the small size of Peacheater Creek.
- Regarding the probability of achieving the maximum annual peak-flow, the lowest values (55% and 53%) correspond to the Manzanares and Peacheater Creek, respectively. The first is the biggest basin (1294 km2), and the reduction of probability can be due to the importance of propagation processes and the temporal patterns of the storm events. However, Peacheater Creek is the second smallest basin in Table 9. The reduction of the coincidence with the maximum annual peak-flow might be due to how antecedent basin conditions prior to the storm event are considered. As the model is continuous, some lower rank events may concur with wetness states of the basin, incurring higher peak-flows. This phenomenon cannot occur in the Sordo-Ward et al. [27,55] study basins, as the initial soil moisture was considered constant and equal for all the storm events.
- When the coincidence of the first rank total depth storm with the maximum annual volume is analyzed (Peacheater Creek and Flores-Montoya et al. [23]), we can see that there is a higher probability of coincidence than that of the peak-flow. This suggests that total depth has a better correlation with the maximum annual volume than with the maximum annual peak-flow. This can also be seen when the minimum rank of storm required is analyzed. Smaller ranks are required to achieve a 95% probability of obtaining the maximum annual volume than for obtaining the maximum annual peak-flow with the same probability.
- In all the case studies shown, the maximum peak-flow can be obtained with a 95% probability considering all the storms up to rank four, five or six. In the case of total volume, the maximum rank required is reduced to two or four.
- Within this manuscript, we have shown that seasonality and bivariate properties of extreme floods can be well-preserved if storms up to rank three and one are considered, respectively.
4. Summary and Conclusions
- When analyzing the correspondence between storms and maximum annual peak-flow and volume, the best ranking criterion is total depth, followed by maximum intensity. Considering storms up to rank five sorted by the total depth criterion, resulted in a probability of generating the maximum annual peak-flow of 94% and the maximum annual volume of 99%.
- In the case of the total depth criterion, the higher the return period of peak-flow or volume is, the lower the storm rank needed. For return periods of peak-flow or volume over ten years, all the storms have a rank equal or lower than four. For return periods higher than 50 years, there is a probability of achieving the maximum annual peak-flow and the maximum annual volume of 99% if the three highest events are considered.
- For preserving the seasonality of maximum annual peak-flows and volumes, total depth was also the best criterion. With storms up to rank five, there is less than 1% absolute relative error in the estimation of the mean direction of seasonality for both the peak-flow and volume. Regarding the dispersion of the seasonality, considering storms up to rank five resulted in an absolute relative value lower than 4%.
- Total depth was also the best criterion for preserving the dependence and bivariate properties of the floods derived from the continuous simulation. Even by considering only the biggest storm of each year, the absolute relative errors when estimating Spearman’s rho and Kendall’s tau are less than 1%. When estimating the parameter of the copula family selected (Gumbel), the relative error was less than 2% if storms up to any rank were considered, and was less than 0.5% if storms up to rank ten were considered. Regarding Kendall’s return period, considering the same number of storms produces Kendall’s return periods of 10 and 50 years very similar to those obtained by continuous simulation, and the 100 years return period is slightly underestimated. If the ten biggest storms are considered, all the studied Kendall’s return periods are almost equal.
Author Contributions
Funding
Acknowledgments
Conflicts of Interest
Abbreviations commonly used in the text
| the variability of the date of occurrence about the mean date ( | |
| mean date of occurrence of the annual maximum peak-flow/volume | |
| AWE-GEN | Advanced WEather GENerator |
| DEvent | duration of a storm event |
| DFF | derived flood frequency simulation methods |
| DHM | distributed hydrological model |
| Imax | maximum intensity of a storm event |
| MIT | minimum inter-event time |
| NSE | Nash-Sutcliffe efficiency coefficient |
| PC | Peacheater Creek |
| PF | maximum annual hydrograph peak-flow |
| RE | relative error as defined in Equation (2). |
| RIBS | real-time integrated basin simulator |
| RMSE | root mean square error |
| TIN | triangulated irregular networks |
| TK | Kendall’s return period. |
| Tr | return period. |
| tRIBS | TIN-based real-time integrated basin simulator |
| V | maximum annual hydrograph volume |
| VEvent | total depth of a storm event |
References
- Fatichi, S.; Vivoni, E.R.; Ogden, F.L.; Ivanov, V.Y.; Mirus, B.; Gochis, D.; Downer, C.W.; Camporese, M.; Davison, J.H.; Ebel, B.; et al. An overview of current applications, challenges, and future trends in distributed process-based models in hydrology. J. Hydrol. 2016, 537, 45–60. [Google Scholar] [CrossRef]
- Blazkova, S.; Beven, K. Flood frequency estimation by continuous simulation of subcatchment rainfalls and discharges with the aim of improving dam safety assessment in a large basin in the Czech Republic. J. Hydrol. 2004, 292, 153–172. [Google Scholar] [CrossRef]
- Cui, Z.; Vieux, B.E.; Neeman, H.; Moreda, F. Parallelisation of a distributed hydrologic model. Int. J. Comput. Appl. Technol. 2005, 22, 42–52. [Google Scholar] [CrossRef]
- Kollet, S.J.; Maxwell, R.M.; Woodward, C.S.; Smith, S.; Vanderborght, J.; Vereecken, H.; Simmer, C. Proof of concept of regional scale hydrologic simulations at hydrologic resolutions utilizing massively parallel computing resources. Water Resour. Res. 2010, 46, W0421. [Google Scholar] [CrossRef]
- Vivoni, E.R.; Mascaro, G.; Mniszewski, S.; Fasel, P.; Springer, E.P.; Ivanov, V.Y.; Bras, R.L. Real-world hydrologic assessment of a fully-distributed hydrological model in a parallel computing environment. J. Hydrol. 2011, 409, 483–496. [Google Scholar] [CrossRef]
- Pumo, D.; Arnone, E.; Francipane, A.; Caracciolo, D.; Noto, L.V. Potential implications of climate change and urbanization on watershed hydrology. J. Hydrol. 2017, 554, 80–99. [Google Scholar] [CrossRef]
- Arnone, E.; Pumo, D.; Francipane, A.; La Loggia, G.; Noto, L.V. The role of urban growth, climate change, and their interplay in altering runoff extremes. Hydrol. Process. 2018, 32, 1755–1770. [Google Scholar] [CrossRef]
- Liuzzo, L.; Noto, L.V.; Vivoni, E.R.; La Loggia, G. Basin-scale water resources assessment in Oklahoma under synthetic climate change scenarios using a fully distributed hydrological model. J. Hydrol. Eng. 2010, 15, 107–122. [Google Scholar] [CrossRef]
- Piras, M.; Mascaro, G.; Deidda, R.; Vivoni, E.R. Quantification of hydrologic impacts of climate change in a Mediterranean basin in Sardinia, Italy, through highresolution simulations. Hydrol. Earth Syst. Sci. 2014, 18, 5201–5217. [Google Scholar] [CrossRef]
- Ren, M.; He, X.; Kan, G.; Wang, F.; Zhang, H.; Li, H.; Cao, D.; Wang, H.; Sun, D.; Jiang, X.; et al. A Comparison of Flood Control Standards for Reservoir Engineering for Different Countries. Water 2017, 9, 152. [Google Scholar] [CrossRef]
- Zhang, L.; Singh, V.P. Trivariate flood frequency analysis using the Gumbel–Hougaard copula. J. Hydrol. Eng. 2017, 12, 431–439. [Google Scholar] [CrossRef]
- Klein, B.; Pahlow, M.; Hundecha, Y.; Schumann, A. Probability analysis of hydrological loads for the design of flood control systems using copulas. J. Hydrol. Eng. 2010, 15, 360–369. [Google Scholar] [CrossRef]
- Katz, R.W.; Parlange, M.B.; Naveau, P. Statistics of extremes in hydrology. Adv. Water Resour. 2002, 25, 1287–1304. [Google Scholar] [CrossRef]
- Salinas, J.L.; Laaha, G.; Rogger, M.; Parajka, J.; Viglione, A.; Sivapalan, M.; Blöschl, G. Comparative assessment of predictions in ungauged basins – Part 2: Flood and low flow studies. Hydrol. Earth Syst. Sci. 2013, 17, 2637–2652. [Google Scholar] [CrossRef]
- Li, J.; Thyer, M.; Lambert, M.; Kuczera, G.; Metcalfe, A. An efficient causative event-based approach for deriving the annual flood frequency distribution. J. Hydrol. 2014, 510, 412–423. [Google Scholar] [CrossRef]
- Adams, B.; Howard, C.D. Design storm pathology. Can. Water Resour. J. 1986, 11, 49–55. [Google Scholar] [CrossRef]
- Alfieri, L.; Laio, F.; Claps, P. A simulation experiment for optimal design hyetograph selection. Hydrol. Process. 2008, 22, 813–820. [Google Scholar] [CrossRef]
- Viglione, A.; Blöschl, G. On the role of storm duration in the mapping of rainfall to flood return periods. Hydrol. Earth Syst. Sci. 2009, 13, 205–216. [Google Scholar] [CrossRef]
- Sordo-Ward, A.; Garrote, L.; Martin-Carrasco, F.; Bejarano, M.D. Extreme flood abatement in large dams with fixed-crest spillways. J. Hydrol. 2012, 466, 60–72. [Google Scholar] [CrossRef]
- Sordo-Ward, A.; Garrote, L.; Bejarano, M.D.; Castillo, L.G. Extreme flood abatement in large dams with gate-controlled spillways. J. Hydrol. 2013, 498, 113–123. [Google Scholar] [CrossRef]
- Foufoula-Georgiou, E. A probabilistic storm transposition approach for estimating exceedance probabilities of extreme precipitation depths. Water Resour. Res. 1989, 25, 799–815. [Google Scholar] [CrossRef]
- Franchini, M.; Helmlinger, K.R.; Foufoula-Georgiou, E.; Todini, E. Stochastic storm transposition coupled with rainfall-runoff modeling for estimation of exceedance probabilities of design floods. J. Hydrol. 1996, 175, 511–532. [Google Scholar] [CrossRef]
- Flores-Montoya, I.; Sordo-Ward, Á.; Mediero, L.; Garrote, L. Fully Stochastic Distributed Methodology for Multivariate Flood Frequency Analysis. Water 2016, 8, 225. [Google Scholar] [CrossRef]
- Haberlandt, U.; Ebner von Eschenbach, A.D.; Buchwald, I. A space-time hybrid hourly rainfall model for derived flood frequency analysis. Hydrol. Earth Syst. Sci. 2008, 12, 1353–1367. [Google Scholar] [CrossRef]
- Brocca, L.; Liersch, S.; Melone, F.; Moramarco, T.; Volk, M. Application of a model-based rainfall-runoff database as efficient tool for flood risk management. Hydrol. Earth Syst. Sci. 2013, 17, 3159–3169. [Google Scholar] [CrossRef]
- Paquet, E.; Garavaglia, F.; Garçon, R.; Gailhard, J. The SCHADEX method: A semi-continuous rainfall–runoff simulation for extreme flood estimation. J. Hydrol. 2013, 495, 23–37. [Google Scholar] [CrossRef]
- Sordo-Ward, A.; Bianucci, P.; Garrote, L.; Granados, A. The Influence of the Annual Number of Storms on the Derivation of the Flood Frequency Curve through Event-Based Simulation. Water 2016, 8, 335. [Google Scholar] [CrossRef]
- Fatichi, S.; Ivanov, V.Y.; Caporali, E. Simulation of future climate scenarios with a weather generator. Adv. Water Resour. 2011, 34, 448–467. [Google Scholar] [CrossRef]
- Ivanov, V.Y.; Vivoni, E.R.; Bras, R.L.; Entekhabi, D. Catchment hydrologic response with a fully distributed triangulated irregular network model. Water Resour. Res. 2004, 40, W11102. [Google Scholar] [CrossRef]
- Vivoni, E.R.; Entekhabi, D.; Bras, R.L.; Ivanov, V.Y. Controls on runoff generation and scale-dependence in a distributed hydrologic model. Hydrol. Earth Syst. Sci. 2007, 11, 1683–1701. [Google Scholar] [CrossRef]
- Restrepo-Posada, P.J.; Eagleson, P.S. Identification of independent rainstorms. J. Hydrol. 1982, 55, 303–319. [Google Scholar] [CrossRef]
- Ivanov, V.Y.; Bras, R.L.; Curtis, D.C. A weather generator for hydrological, ecological, and agricultural applications. Water Resour. Res. 2007, 43, 40. [Google Scholar] [CrossRef]
- Cowpertwait, P.S.P. Mixed rectangular pulses models of rainfall. Hydrol. Earth Syst. Sci. 2004, 8, 993–1000. [Google Scholar] [CrossRef]
- Nelder, J.; Mead, R. A simplex method for function minimization. Comput. J. 1965, 7, 308–313. [Google Scholar] [CrossRef]
- Garrote, L.; Brass, R.L. An integrated software environment for real-time use of a distributed hydrologic model. J. Hydrol. 1995, 167, 307–326. [Google Scholar] [CrossRef]
- Vivoni, E.R.; Ivanov, V.Y.; Bras, R.L.; Entekhabi, D. Generation of triangulated irregular networks based on hydrologic similarity. J. Hydrol. Eng. 2004, 9, 288–302. [Google Scholar] [CrossRef]
- Sifalda, V. Entwicklung eines Berechnungsregens für die Bemessung von Kanalnetzen. Wasser Abwasser 1963, 114, 435–440. [Google Scholar]
- Yen, B.C.; Chow, V.T. Design hyetographs for small drainage structures. J. Hydraul. Div. 1980, 106, 1055–1076. [Google Scholar]
- Bonta, J.V.; Rao, A.R. Factors affecting the identification of independent storm events. J. Hydrol. 1988, 98, 275–293. [Google Scholar] [CrossRef]
- Gringorten, I.I. A plotting rule for extreme probability paper. J. Geophys. Res. 1963, 68, 813–814. [Google Scholar] [CrossRef]
- Berens, P. CircStat: A MATLAB Toolbox for Circular Statistics. J. Stat. Softw. 2009, 31, 1–21. [Google Scholar] [CrossRef]
- Parajka, J.; Kohnová, S.; Bálint, G.; Barbuc, M.; Borga, M.; Claps, P.; Cheval, S.; Dumitrescu, A.; Gaume, E.; Hlavcová, K.; et al. Seasonal characteristics of flood regimes across the Alpine–Carpathian range. J. Hydrol. 2010, 394, 78–89. [Google Scholar] [CrossRef] [PubMed]
- Fisher, N.I.; Switzer, P. Chi-Plots for Assessing Dependence. Biometrika 1985, 72, 253–265. [Google Scholar] [CrossRef]
- Fisher, N.I.; Switzer, P. Graphical assessment of dependence: Is a picture worth 100 tests? Am. Stat. 2001, 55, 233–239. [Google Scholar] [CrossRef]
- Genest, C.; Favre, A.C. Everything you always wanted to know about copula modeling but were afraid to ask. J. Hydrol. Eng. 2007, 12, 347–368. [Google Scholar] [CrossRef]
- Sadegh, M.; Moftakhari, H.M.; Gupta, H.V.; Ragno, E.; Mazdiyasni, O.; Sanders, B.F.; Matthew, R.A.; AghaKouchak, A. Multi-Hazard Scenarios for Analysis of Compound Extreme Events. Geophys. Res. Lett. 2018, 45, 5470–5480. [Google Scholar] [CrossRef]
- Salvadori, G.; De Michele, C. Multivariate multiparameter extreme value models and return periods: A copula approach. Water Resour. Res. 2010, 46, W10501. [Google Scholar] [CrossRef]
- Brunner, M.I.; Seibert, J.; Favre, A.C. Bivariate return periods and their importance for flood peak and volume estimation. Wiley Interdiscip. Rev. Water 2016, 3, 819–833. [Google Scholar] [CrossRef]
- Ivanov, V.Y.; Vivoni, E.R.; Bras, R.L.; Entekhabi, D. Preserving high-resolution surface and rainfall data in operational-scale basin hydrology: A fully-distributed physically-based approach. J. Hydrol. 2004, 298, 80–111. [Google Scholar] [CrossRef]
- Sirisena, T.A.J.G.; Maskey, S.; Ranasinghe, R.; Babel, M.S. Effects of different precipitation inputs on streamflow simulation inthe Irrawaddy River Basin, Myanmar. J. Hydrol. Reg. Stud. 2018, 19, 265–278. [Google Scholar] [CrossRef]
- Karypis, G.; Kumar, V. A fast and high quality multilevel scheme for partitioning irregular graphs. SIAM J. Sci. Comput. 1999, 20, 359–392. [Google Scholar] [CrossRef]
- Poulin, A.; Huard, D.; Favre, A.C.; Pugin, S. Importance of Tail Dependence in Bivariate Frequency Analisys. J. Hydrol. Eng. 2007, 12, 394–403. [Google Scholar] [CrossRef]
- Flores-Montoya, I. Generación de Hidrogramas de Crecida Mediante Simulación Estocástica Multivariada de Lluvia y Modelación Hidrológica Distribuida: Aplicación a Seguridad de Presas. Ph.D. Thesis, Technical University of Madrid, Madrid, Spain, 2018. (In Spanish). [Google Scholar] [CrossRef]
- Burton, A.; Kilsby, C.G.; Fowler, H.J.; Cowpertwait, P.S.P.; O’Connell, P.E. RainSim: A spatial–temporal stochastic rainfall modelling system. Environ. Model. Softw. 2008, 23, 1356–1369. [Google Scholar] [CrossRef]
- Sordo-Ward, A.; Bianucci, P.; Garrote, L. Influencia del número de tormentas consideradas por año para la generación de la ley de frecuencia de caudales. In Proceedings of the 4th Jornadas de Ingeniería del Agua: La Precipitación y Los Procesos Erosivos, Cordoba, Spain, 21–22 October 2015. (In Spanish). [Google Scholar]











| Storm Rank | Relative/Cumulated Frequency of Coincidence with Maximum Annual Peak-Flow (%) | Relative/Cumulated Frequency of Coincidence with Maximum Annual Volume (%) | ||||
|---|---|---|---|---|---|---|
| Total Depth | Maximum Intensity | Total Duration | Total Depth | Maximum Intensity | Total Duration | |
| 1 | 53.5/53.5 | 45.2/45.2 | 9/9 | 68.8/68.8 | 35.6/35.6 | 17.2/17.2 |
| 2 | 21.7/75.2 | 18.6/63.8 | 5.8/14.8 | 17.9/86.7 | 17.3/52.9 | 8.6/25.9 |
| 3 | 11.4/86.6 | 11.5/75.3 | 4.8/19.6 | 6.9/93.6 | 11.3/64.2 | 7/32.9 |
| 4 | 5.3/91.9 | 6.9/82.2 | 3.3/22.9 | 2.7/96.3 | 8/72.2 | 4.7/37.5 |
| 5 | 3.4/95.3 | 4.2/86.4 | 3.6/26.5 | 1.8/98.1 | 5.5/77.7 | 4.5/42 |
| 6 | 1.7/97 | 3.1/89.4 | 2.9/29.5 | 0.7/98.8 | 4.2/81.9 | 3.4/45.4 |
| 7 | 1.3/98.2 | 2.2/91.7 | 2.9/32.3 | 0.5/99.3 | 3.1/85 | 3/48.4 |
| 8 | 0.8/99 | 2.1/93.7 | 2.5/34.8 | 0.3/99.6 | 2.8/87.9 | 3/51.4 |
| 9 | 0.3/99.3 | 1.5/95.2 | 2.3/37.1 | 0.1/99.7 | 2.5/90.4 | 2.4/53.8 |
| ≥10 | 0.7/100 | 4.8/100 | 62.9/100 | 0.3/100 | 9.6/100 | 46.2/100 |
| Probability (%) | Tr (Years) | Maximum Storm Rank to be Considered Peak-Flow | Maximum Storm Rank to be Considered Volume | ||
|---|---|---|---|---|---|
| Total Depth | Maximum Intensity | Total Depth | Maximum Intensity | ||
| 95/99 | All range | 5/8 | 9/16 | 4/7 | 13/22 |
| 95/99 | 1 ≤ Tr < 10 | 6/9 | 10/16 | 4/7 | 13/22 |
| 95/99 | 10 ≤ Tr < 50 | 3/3 | 4/7 | 1/2 | 8/14 |
| 95/99 | 50 ≤ Tr < 100 | 2/3 | 2/3 | 1/2 | 6/10 |
| 95/99 | Tr ≥ 100 | 2/2 | 2/3 | 1/2 | 6/6 |
| Maximum Storm Rank Considered | Total Depth | Maximum Intensity | Total Depth | Maximum Intensity | ||||
|---|---|---|---|---|---|---|---|---|
| Continuous Simulation | 169.7 | 0.29 | 169.7 | 0.29 | − | − | − | − |
| Rank 1 | 146.7 | 0.20 | 187.2 | 0.59 | 13.5 | 29.8 | −10.3 | −101 |
| Rank 3 | 168.1 | 0.26 | 176.5 | 0.47 | 0.9 | 10.1 | −4.0 | −61.5 |
| Rank 5 | 169.7 | 0.28 | 173.0 | 0.41 | 0.0 | 3.8 | −2.0 | −40.4 |
| Rank 10 | 169.9 | 0.29 | 170.9 | 0.33 | −0.1 | 0.0 | −0.7 | 413.1 |
| Maximum Storm Rank Considered | Total Depth | Maximum Intensity | Total Depth | Maximum Intensity | ||||
|---|---|---|---|---|---|---|---|---|
| Continuous Simulation | 142.9 | 0.25 | 142.9 | 0.25 | − | − | − | − |
| Rank 1 | 146.7 | 0.20 | 187.2 | 0.59 | −2.7 | 18.9 | −31.0 | −133 |
| Rank 3 | 145.4 | 0.25 | 172.7 | 0.44 | −1.7 | −0.3 | −20.8 | −76.1 |
| Rank 5 | 143.7 | 0.25 | 162.7 | 0.38 | −0.6 | −0.6 | −13.8 | −51.6 |
| Rank 10 | 143.2 | 0.25 | 151.8 | 0.30 | −0.2 | −0.6 | −6.2 | −20.0 |
| Maximum Storm Rank Considered | Total Depth | Maximum Intensity | Total Depth | Maximum Intensity | ||||
|---|---|---|---|---|---|---|---|---|
| ρ | τ | ρ | Τ | REρ | REτ | REρ | REτ | |
| Continuous Simulation | 0.884 | 0.709 | 0.884 | 0.709 | − | - | − | − |
| Rank 1 | 0.883 | 0.708 | 0.955 | 0.826 | 0.07 | 0.01 | −8.05 | −16.56 |
| Rank 3 | 0.882 | 0.706 | 0.922 | 0.767 | 0.17 | 0.31 | −4.26 | −8.18 |
| Rank 5 | 0.883 | 0.708 | 0.903 | 0.739 | 0.05 | 0.05 | −2.16 | −4.27 |
| Rank 10 | 0.884 | 0.709 | 0.888 | 0.716 | 0.00 | −0.01 | −0.41 | −1.01 |
| Copula | Parameter | RMSE | NSE |
|---|---|---|---|
| Clayton | 3.10 | 1.68 | 0.992 |
| Frank | 11.5 | 0.58 | 0.999 |
| Gumbel | 2.98 | 0.70 | 0.998 |
| Maximum Storm Rank Considered | Total Depth | Maximum Intensity | ||
|---|---|---|---|---|
| Gumbel Parameter | RE | Gumbel Parameter | RE | |
| Continuous Simulation | 2.98 | − | 2.98 | − |
| Rank 1 | 2.94 | 1.37 | 4.84 | −62.34 |
| Rank 3 | 3.00 | −0.79 | 3.82 | −28.32 |
| Rank 5 | 3.02 | −1.18 | 3.40 | −13.91 |
| Rank 10 | 2.99 | −0.25 | 3.08 | −3.26 |
| Case Study | Area (km2) | Weather/Rainfall Generator | Spatial Resolution | Hydrological Model | Type | Initial Soil Moisture |
|---|---|---|---|---|---|---|
| Peacheater Creek | 64 | AWE-GEN [28] | Punctual | TRIBS [6] | Fully distributed-Continuous | Continuous assessment |
| Générargues [23,53] | 245 | RainSim V3 [54] | Spatial-Punctual | RIBS [35] | Fully distributed-Event based | Probabilistic |
| Corbès [23,53] | 262.3 | RainSim V3 [54] | Spatial-Punctual | RIBS [35] | Semidistributed-Event based | Probabilistic |
| Navacerrada [55] | 20 | RainSim V3 [54] | Spatial-Punctual | Stochastic HEC-HMS [19,20] | Semidistributed-Event based | Deterministic |
| Santillana [27] | 211 | RainSim V3 [54] | Spatial-Punctual | Stochastic HEC-HMS [19,20] | Semidistributed-Event based | Deterministic |
| El Pardo [27] | 495 | RainSim V3 [54] | Spatial-Punctual | Stochastic HEC-HMS [19,20] | Semidistributed-Event based | Deterministic |
| Manzanares [27] | 1294 | RainSim V3 [54] | Spatial-Punctual | Stochastic HEC-HMS [19,20] | Semidistributed-Event based | Deterministic |
| Case Study | Best Criteria | 1st Rank PF Coincidence (%) | 1st rank V Coincidence (%) | Rank 95% PF | Rank 95% V | Rank Seasonality PF and V (<5% RE) | Rank Copula Parameter (<5% RE) |
|---|---|---|---|---|---|---|---|
| Peacheater Creek | Total depth | 53 | 69 | 5 | 4 | 3 | 1 |
| Générargues [23,53] | Total depth | 70 | 88 | 4 | 2 | − | − |
| Corbès [23,53] | Total depth | 70 | 88 | 4 | 2 | − | − |
| Santillana [27] | Total depth | 66 | − | 4 | − | − | − |
| El Pardo [27] | Total depth | 67 | − | 4 | − | − | − |
| Manzanares [27] | Total depth | 55 | − | 6 | − | − | − |
| Navacerrada [55] | Total depth | 63 | − | 6 | − | − | − |
© 2019 by the authors. Licensee MDPI, Basel, Switzerland. This article is an open access article distributed under the terms and conditions of the Creative Commons Attribution (CC BY) license (http://creativecommons.org/licenses/by/4.0/).
Share and Cite
Gabriel-Martin, I.; Sordo-Ward, A.; Garrote, L.; T. García, J. Dependence Between Extreme Rainfall Events and the Seasonality and Bivariate Properties of Floods. A Continuous Distributed Physically-Based Approach. Water 2019, 11, 1896. https://doi.org/10.3390/w11091896
Gabriel-Martin I, Sordo-Ward A, Garrote L, T. García J. Dependence Between Extreme Rainfall Events and the Seasonality and Bivariate Properties of Floods. A Continuous Distributed Physically-Based Approach. Water. 2019; 11(9):1896. https://doi.org/10.3390/w11091896
Chicago/Turabian StyleGabriel-Martin, Ivan, Alvaro Sordo-Ward, Luis Garrote, and Juan T. García. 2019. "Dependence Between Extreme Rainfall Events and the Seasonality and Bivariate Properties of Floods. A Continuous Distributed Physically-Based Approach" Water 11, no. 9: 1896. https://doi.org/10.3390/w11091896
APA StyleGabriel-Martin, I., Sordo-Ward, A., Garrote, L., & T. García, J. (2019). Dependence Between Extreme Rainfall Events and the Seasonality and Bivariate Properties of Floods. A Continuous Distributed Physically-Based Approach. Water, 11(9), 1896. https://doi.org/10.3390/w11091896

