Controlling Factors of Surface Water Ionic Composition Characteristics in the Lake Genggahai Catchment, NE Qinghai–Tibetan Plateau, China
Abstract
1. Introduction
2. Study Area
3. Materials and Methods
3.1. Data and Sample Collection
3.2. Experimental Analysis
4. Results
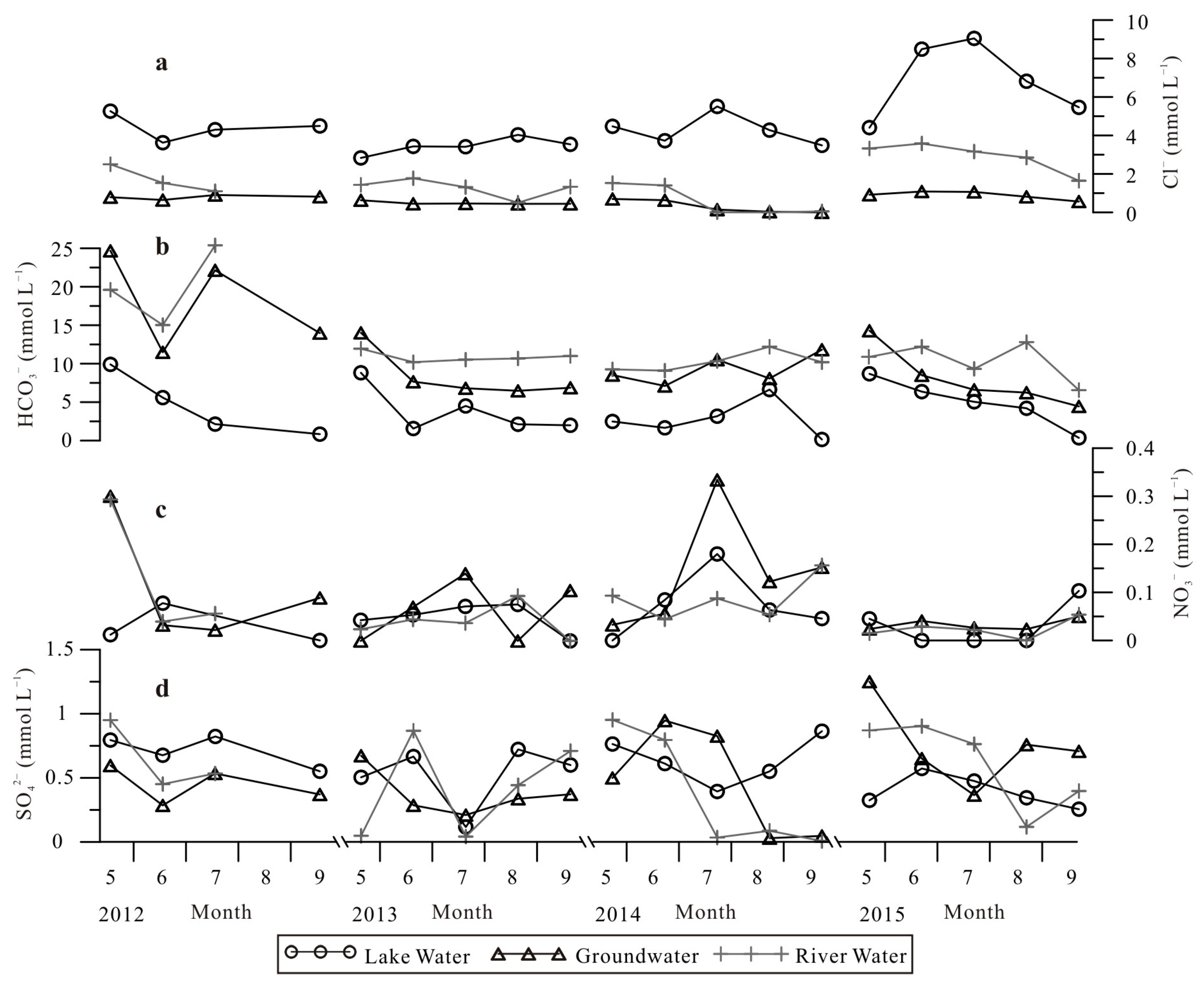
4.1. Changes in the Ionic Concentration of Water in the Genggahai Lake Basin
4.2. Differences in Ionic Concentrations and Compositions of Various Water Bodies
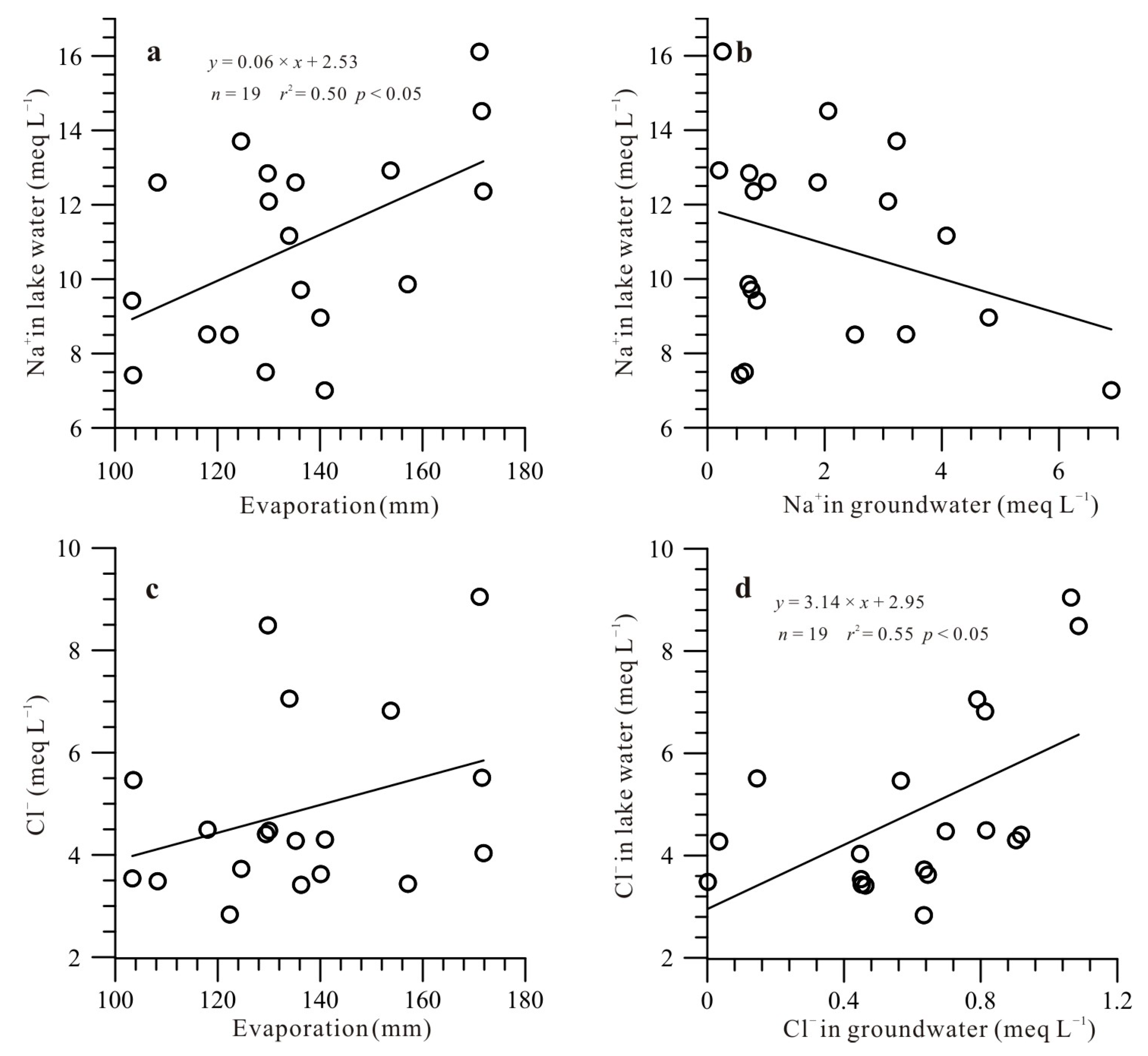
5. Discussion of Factors Controlling the Changes in Ionic Concentrations of the Genggahai Basin Water Bodies
6. Ion Sources
7. Conclusions
- (1)
- The chemical composition of the water samples in the Genggahai basin falls in the middle–upper wing of the boomerang envelope model proposed by Gibbs, indicating that the chemical composition of the water sample in the study area is affected by rock weathering and evaporation–crystallization.
- (2)
- The groundwater and river anions in the Genggahai basin are dominated by HCO3−, which is from the rock weathering and dissolution in the basin. The cation is mainly Ca2+ + Na+. Evaporite, carbonate, and silicate in the basin all have an impact on the hydrochemical composition of river water and groundwater. Among them, the largest contribution of carbonate weathering mainly comes from rock weathering and dissolution. The grazing activities of herdsmen in the basin have had a certain degree of impact on the water quality of river basins and groundwater.
- (3)
- The anion of lake water is mainly Cl−, and the cation is mainly Na+. The content change is mainly affected by the change of corresponding ion content in groundwater coming into the lake and the evaporation of lake water. Among them, Cl− in lake water is more affected by the change of Cl− content in the groundwater coming into the lake, while Na+ in lake water is more affected by evaporation. The low content of Ca2+ and HCO3− in the lake water is related to the photosynthesis of aquatic plants in the lake.
Author Contributions
Funding
Acknowledgments
Conflicts of Interest
References
- Wang, S.M.; Dou, H.S. Lake Cadaster of China; Science Press: Beijing, China, 1998. [Google Scholar]
- Gibbs, R.J. Mechanisms controlling world water chemistry. Science 1970, 170, 1088–1090. [Google Scholar] [CrossRef] [PubMed]
- Meybeck, M. Global Chemical Weathering of Surficial Rocks Estimated from River Dissolved Loads. Am. J. Sci. 1987, 287, 401–428. [Google Scholar] [CrossRef]
- Négrel, P.; Allègre, C.J.; Duprè, B.; Lewin, E. Erosion sources determined by inversion of major and trace element ratios and strontium isotopic ratios in river water: The Congo Basin case. Earth Planet. Sci. Lett. 1993, 120, 59–76. [Google Scholar] [CrossRef]
- Liu, Z.H. New progress and prospects in the study of rock-weathering-related carbon sinks. Chin. Sci. Bull. 2012, 57, 95–102. [Google Scholar] [CrossRef]
- Zhu, H.Y.; Chen, Y.J.; Liu, J.Z.; Gao, S. Variation and evolution of groundwater chemistry in the middle and lower reaches of the Tarim River. Arid Land Geogr. 2013, 36, 8–18. [Google Scholar]
- Hao, Y.L.; Chen, J.F.; Zhang, C.C.; Yan, Y.X. Hydrochemical characteristics of the irrigation area in the middle reaches of the Heihe River Basin. Arid Land Geogr. 2011, 34, 575–583. [Google Scholar]
- Nian, F.H.; Li, X. A comprehensive review of the research on hydrography in arid lands in China. Arid Land Geogr. 2000, 23, 91–95. [Google Scholar]
- Gibbs, R.J. Water chemistry of the Amazon River. Geochim. Cosmochim. Acta 1972, 36, 1061–1066. [Google Scholar] [CrossRef]
- Sarin, M.M.; Krishnaswami, S.; Dilli, K.; Somayajulu, B.L.K.; Moore, W.S. Major ion chemistry of the Ganga-Brahmaputra river system: Weathering processes and fluxes to the Bay of Bengal. Geochim. Cosmochim. Acta 1989, 53, 997–1009. [Google Scholar] [CrossRef]
- Weijden, C.H.V.D.; Middelburg, J.J. Hydrogeochemistry of the River Rhine: Long term and seasonal variability, elemental budgets, base levels and pollution. Water Res. 1989, 23, 1247–1266. [Google Scholar] [CrossRef]
- Singh, A.K.; Hasnain, S.I. Major ion chemistry and weathering control in a high altitude basin: Alaknanda River, Garhwal Himalaya, India. Hydrol. Sci. J. 1998, 43, 825–843. [Google Scholar] [CrossRef]
- Roy, S.; Gaillardet, J.; Allègre, C.J. Geochemistry of dissolved and suspended loads of the Seine River, France: Anthropogenic impact, carbonate and silicate weathering. Geochim. Cosmochim. Acta 1999, 63, 1277–1292. [Google Scholar] [CrossRef]
- Hu, M.H.; Stallard, R.F.; Edmond, J.M. Major ion chemistry of some large Chinese rivers. Nature 1982, 298, 550–553. [Google Scholar]
- Zhang, J.; Takahashi, K.; Wushiki, H.; Yabuki, S.; Xiong, J.-M.; Masuda, A. Water geochemistry of the rivers around the Taklimakan Desert (NW China): Crustal weathering and evaporation processes in arid land. Chem. Geol. 1995, 119, 225–237. [Google Scholar] [CrossRef]
- Zhu, B.Q.; Yang, X.P. Natural water chemistry and its origin in Taklimakan Desert. Chin. Sci. Bull. 2007, 52, 1561–1566. [Google Scholar]
- Han, G.; Liu, C.Q. Water geochemistry controlled by carbonate dissolution: A study of the river waters draining karst-dominated terrain, Guizhou Province, China. Chem. Geol. 2004, 204, 1–21. [Google Scholar] [CrossRef]
- Chen, J.S.; Wang, F.Y.; Xia, X.H. Geochemistry of water quality of the Yangtze River Basin. Earth Sci. Front. 2006, 13, 74–85. [Google Scholar]
- Zhang, L.T.; Chen, J.S. The relationship between the composition of the major ion of China and regional natural factors. Sci. Geogr. Sin. 2000, 3, 236–240. [Google Scholar]
- Royden, L.H.; Burchfiel, B.C.; Van der Hilst, R. The Geological Evolution of the Tibetan Plateau. Science 2008, 321, 1054–1058. [Google Scholar] [CrossRef]
- Tang, M.C.; Liu, Y.X.; Feng, S. A new millenary warm period maybe emerged. Plateau Meteorol. 2002, 21, 128–131. [Google Scholar]
- An, Z.; Kutzbach, J.E.; Prell, W.L.; Porter, S.C. Evolution of Asian monsoons and phased uplift of the Himalaya–Tibetan plateau since Late Miocene times. Nature 2001, 411, 62–66. [Google Scholar]
- Weynell, M.; Wiechert, U.; Zhang, C.J. Chemical and isotopic (O, H, C) composition of surface waters in the catchment of Lake Donggi Cona (NW China) and implications for paleoenvironmental reconstructions. Chem. Geol. 2016, 435, 92–107. [Google Scholar] [CrossRef]
- Ma, R.H.; Yang, G.S.; Duan, H.T.; Jiang, J.H.; Wang, S.M.; Feng, X.Z.; Li, A.N.; Kong, F.X.; Xue, B.; Wu, J.L.; et al. China’s lake at present: Number, area and spatial distribution. Sci. China Earth Sci. 2011, 41, 394–401. [Google Scholar] [CrossRef]
- Li, C.D.; Kang, S.C.; Liu, Y.Q.; Hou, J.Z.; Guo, J.M.; Liu, X.B.; Cong, Z.Y.; Zhang, Q.G. Distribution of major ions in waters and their response to regional climatic change in Tibetan lakes. J. Lake Sci. 2016, 28, 743–754. [Google Scholar]
- Gao, T.G.; Kang, S.C.; Zhang, Q.G.; Zhou, S.Q.; Xu, Y.W. Major ionic features and their sources in the Nam Co Basin over the Tibetan Plateau. Environ. Sci. 2008, 29, 3009–3016. [Google Scholar]
- Wang, J.B.; Zhu, L.P.; Ju, J.T.; Wang, Y. Water chemistry of Eastern Nam Lake area and inflowing rivers in Tibet. Sci. Geogr. Sin. 2009, 29, 288–293. [Google Scholar]
- Sun, R.; Zhang, X.Q.; Zheng, D. Spatial variations and its causes of water chemical property in Yamzhog Yumco Basin, South Tibet. Acta Geogr. Sin. 2013, 68, 36–44. [Google Scholar]
- Wang, L.J.; Zen, C.; Wang, G.X.; Shi, X.N.; Zhang, F. Chemical characteristics and impact factors of the Drem-tso Lake and supplying runoff in the Southern Tibet. Arid Land Geogr. 2017, 40, 737–745. [Google Scholar]
- Wang, P.; Shang, Y.N.; Shen, L.C.; Wu, K.Y.; Xiao, Q. Characteristics and Evolution of Hydrochemical composition of freshwater lake in Tibetan Plateau. Environ. Sci. 2013, 34, 874–881. [Google Scholar]
- Li, H.; Li, J.; Liu, X.L.; Yang, X.; Zhang, W.; Wang, J.; Niu, Y.Q. Composition characteristics and source analysis of major ions in four small Lake-watersheds on the Tibetan Plateau, China. Environ. Sci. 2015, 36, 430–437. [Google Scholar]
- Guo, Y.W.; Li, Y.Z.; Wang, X.M.; Li, S.T.; Geng, X.; Cao, F.X. Hydrochemical characteristics of Qingshui River Basin in the Tibetan Plateau. Saf. Environ. Eng. 2012, 19, 70–73. [Google Scholar]
- Zhang, J.Y.; Lei, G.L.; Song, R.Q.; Zheng, Y.P. Water Chemistry of Lake and River in the Central Tibetan Plateau. Available online: http://www.paper.edu.cn/releasepaper/content/201605-186 (accessed on 11 April 2016).
- Li, J.; Li, M.H.; Fang, X.M.; Wu, F.L.; Meng, Q.Q.; Zhang, Z.G.; Liu, X.M. Hydrochemical characteristics of the Hurleg Lake. Arid Land Geogr. 2015, 38, 43–51. [Google Scholar]
- Hou, Z.H.; Xu, H.; An, Z.S. Major ion chemistry of waters in Lake Qinghai catchment and the possible controls. Earth Environ. 2009, 11–19. [Google Scholar] [CrossRef]
- Dong, G.R.; Gao, S.Y.; Jin, J. Desertification and Controls in the Gonghe Basin, Qinghai Province; Science Press: Beijing, China, 1993; pp. 1–166. [Google Scholar]
- Zhang, D.S.; Gao, S.Y.; Shi, M.Y.; Ha, S.; Yan, P. Land Desertification in Qinghai Plateau and Its Control Technique; Science Press: Beijing, China, 2009. [Google Scholar]
- Zhang, H.F.; Chen, Y.L.; Xu, W.C.; Liu, R.; Yuan, H.L.; Liu, X.M. Granitoids around Gonghe basin in Qinghai province: Petrogenesis and tectonic implications. Acta Petrol. Sin. 2006, 22, 2910–2922. [Google Scholar]
- Qiang, M.R.; Song, L.; Jin, Y.X.; Li, Y.; Liu, L.; Zhang, J.W.; Zhao, Y.; Chen, F.H. A 16-ka oxygen-isotope record from Genggahai Lake on the northeastern Qinghai-Tibetan Plateau: Hydroclimatic evolution and changes in atmospheric circulation. Quat. Sci. Rev. 2017, 162, 72–87. [Google Scholar] [CrossRef]
- Qiang, M.R.; Liu, Y.Y.; Jin, Y.X.; Song, L.; Huang, X.T.; Chen, F.H. Holocene record of eolian activity from Genggahai Lake, northeastern Qinghai-Tibetan Plateau, China. Geophys. Res. Lett. 2014, 41, 589–595. [Google Scholar] [CrossRef]
- Yang, S.Q.; Gao, W.S.; Sui, P.; Chen, Y.D. Quantitative research on factors of soil desertification in Gonghe Basin. Acta Ecol. Sin. 2005, 25, 3181–3187. [Google Scholar]
- Qiang, M.R.; Song, L.; Chen, F.H.; Li, M.Z.; Liu, X.X.; Wang, Q. A 16-ka lake-level record inferred from macrofossils in a sediment core from Genggahai Lake, northeastern Qinghai-Tibetan Plateau (China). J. Paleolimnol. 2013, 49, 575–590. [Google Scholar] [CrossRef]
- Yang, X.P.; Ma, N.N.; Dong, J.F.; Zhu, B.Q.; Xu, B.; Ma, Z.B.; Liu, J.Q. Recharge to the inter-dune lakes and Holocene climatic changes in the Badain Jaran Desert, western China. Quat. Res. 2010, 73, 10–19. [Google Scholar] [CrossRef]
- Dataset of Daily Climate Data from Chinese Surface Stations. Available online: http://data.cma.cn/dataService/cdcindex/datacode/SURF_CLI_CHN_MUL_DAY_V3.0/show_value/normal.html (accessed on 17 May 2016).
- State Environmental Protection Administration. Water and Waste Water Detection Analysis Met; Science Press: Beijing, China, 2002. [Google Scholar]
- Kilham, P. Mechanisms Controlling the Chemical Composition of Lakes and Rivers: Data from Africa. Limnol. Oceanogr. 1990, 35, 80–83. [Google Scholar] [CrossRef]
- Andrews, M.; Davison, I.R.; Andrews, M.E.; Raven, J.A. Growth of Chara Hispida: I. Apical Growth and Basal Decay. J. Ecol. 1984, 72, 873–884. [Google Scholar] [CrossRef]
- Andrews, J.E.; Coletta, P.; Pentecost, A.; Riding, R.; Dennis, S.; Dennis, P.F.; Spiro, B. Equilibrium and disequilibrium stable isotope effects in modern charophyte calcites: Implications for palaeoenvironmental studies. Palaeogeogr. Palaeoclimatol. Palaeoecol. 2004, 204, 101–114. [Google Scholar] [CrossRef]
- Jin, Y.X.; Qiang, M.R.; Liu, Y.Y.; Li, Y.; Li, H.; Li, F.S. Variations in carbon and oxygen isotopes of carbonate and water environments: A case study from Genggahai Lake, northeastern Qinghai-Tibetan Plateau. Chin. Sci. Bull. 2015, 60, 847–856. [Google Scholar] [CrossRef][Green Version]
- Jin, Y.X. Stable Isotopes of Modern Carbonate from Genggahai Lake, Northeastern Qinghai-Tibetan Plateau: Implications for Environmental Changes; Lanzhou University: Lanzhou, China, 2017. [Google Scholar]
- Hutchinson, G.E.A. Treatise on Limnology Volum I: Geopraphy; John Wiley: Newyork, NY, USA, 1975. [Google Scholar]
- Urbaniak, J. Estimation of Carbonate and Element Content in Charophytes-Methods of Determination. Pol. J. Environ. Stud. 2010, 19, 413–417. [Google Scholar]
- Ahmad, T.; Khanna, P.P.; Chakrapani, G.J.; Balakrishnan, S. Geochemical characteristics of water and sediment of the Indus river, Trans-Himalaya, India: Constraints on weathering and erosion. J. Asian Earth Sci. 1998, 16, 333–346. [Google Scholar] [CrossRef]
- Wang, D.C.; Zhang, R.Q.; Shi, Y.H. Basic of Hydrogeology; Geology Press: Beijing, China, 2005. [Google Scholar]
- Yang, X. Chemistry and late Quaternary evolution of ground and surface waters in the area of Yabulai Mountains, western Inner Mongolia, China. Catena 2006, 66, 135–144. [Google Scholar] [CrossRef]
- Liu, Y.J.; Cao, L.M.; Li, Z.L.; Wang, H.N.; Chu, T.Q. Elemental Geochemistry; Science Press: Beijing, China, 1984. [Google Scholar]








| Water Bodies | n | Variation Range/Mean Value | Anion Content (mmol L−1) | Cation Content (mmol L−1) | ||||||
|---|---|---|---|---|---|---|---|---|---|---|
| Cl− | HCO3− | NO3− | SO42− | Na+ | Ca2+ | Mg2+ | K+ | |||
| Lake water | 19 | Variation range | 2.83–9.05 | 0.14–9.90 | 0–0.18 | 0.12–1.01 | 7.01–15.00 | 0.03–0.70 | 0.51–1.20 | 0.01–0.37 |
| Mean | 4.89 | 4.04 | 0.05 | 0.58 | 10.84 | 0.38 | 0.79 | 0.17 | ||
| Groundwater | 19 | Variation range | 0.001–1.09 | 4.44–24.67 | 0–0.33 | 0.03–1.25 | 0.20–6.89 | 0.40–2.50 | 0.20–1.00 | 0.02–0.26 |
| Mean | 0.62 | 10.76 | 0.09 | 0.51 | 2.16 | 1.13 | 0.47 | 0.11 | ||
| River water | 18 | Variation range | 0.001–3.93 | 6.56–25.39 | 0–0.06 | 0.01–0.95 | 0.10–9.13 | 1.05–2.47 | 0.03–1.28 | 0.01–0.39 |
| Mean | 1.74 | 12.78 | 0.07 | 0.51 | 4.63 | 1.77 | 0.48 | 0.16 | ||
© 2019 by the authors. Licensee MDPI, Basel, Switzerland. This article is an open access article distributed under the terms and conditions of the Creative Commons Attribution (CC BY) license (http://creativecommons.org/licenses/by/4.0/).
Share and Cite
Jin, Y.; Jin, X.; Yang, D.; Mao, X. Controlling Factors of Surface Water Ionic Composition Characteristics in the Lake Genggahai Catchment, NE Qinghai–Tibetan Plateau, China. Water 2019, 11, 1329. https://doi.org/10.3390/w11071329
Jin Y, Jin X, Yang D, Mao X. Controlling Factors of Surface Water Ionic Composition Characteristics in the Lake Genggahai Catchment, NE Qinghai–Tibetan Plateau, China. Water. 2019; 11(7):1329. https://doi.org/10.3390/w11071329
Chicago/Turabian StyleJin, Yanxiang, Xin Jin, Dengxing Yang, and Xufeng Mao. 2019. "Controlling Factors of Surface Water Ionic Composition Characteristics in the Lake Genggahai Catchment, NE Qinghai–Tibetan Plateau, China" Water 11, no. 7: 1329. https://doi.org/10.3390/w11071329
APA StyleJin, Y., Jin, X., Yang, D., & Mao, X. (2019). Controlling Factors of Surface Water Ionic Composition Characteristics in the Lake Genggahai Catchment, NE Qinghai–Tibetan Plateau, China. Water, 11(7), 1329. https://doi.org/10.3390/w11071329
