Spatial and Temporal Investigation of Dew Potential based on Long-Term Model Simulations in Iran
Abstract
1. Introduction
2. Materials and Methods
3. Results
3.1. Examples of a Detailed Model Simulation Output
3.2. Yearly Variation of the Cumulative Dew Yield
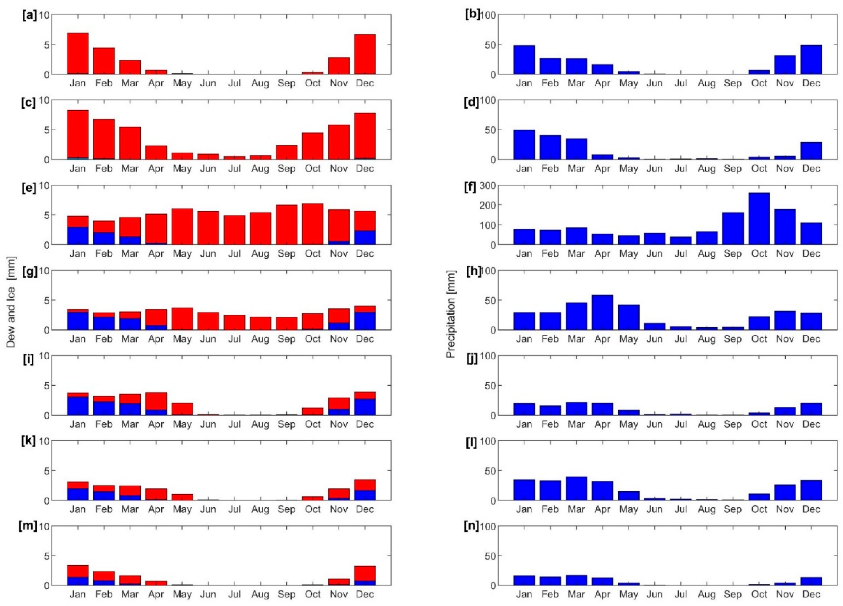
3.3. Seasonal Variation of the Cumulative Dew Yield
4. Discussion
5. Conclusions
Supplementary Materials
Author Contributions
Funding
Acknowledgments
Conflicts of Interest
References
- Rajvanshi, A.K. Large scale dew collection as a source of fresh water supply. Desalination 1981, 36, 299–306. [Google Scholar] [CrossRef]
- Lindblom, J.; Nordell, B. Water production by underground condensation of humid air. Desalination 2006, 189, 248–260. [Google Scholar] [CrossRef]
- Hamed, A.M.; Kabeel, A.E.; Zeidan, E.S.B.; Aly, A.A. A technical review on the extraction of water from atmospheric air in arid zones. Heat. Mass. Trans. 2010, 4, 213–228. [Google Scholar]
- Lekouch, I.; Muselli, M.; Kabbachi, B.; Ouazzani, J.; MelnytchoukMilimouk, I.; Beysens, D. Dew, fog, and rain as supplementary sources of water in southwestern Morocco. Energy 2011, 36, 2257–2265. [Google Scholar] [CrossRef]
- Mileta, M.; Beysens, D.; Nikolayev, V.; Milimouk, I.; Clus, O.; Muselli, M. Fog and Dew Collection Projects in Croatia. Available online: https://arxiv.org/ftp/arxiv/papers/0707/0707.2931.pdf (accessed on 22 November 2019).
- Raman, C.R.V.; Venkatraman, S.; Krishnamurthy, V. Dew ver India and Its Contribution to Winter-Crop Water Balance. Agric. For. Meteorol. 1973, 11, 17–35. [Google Scholar] [CrossRef]
- Kidron, G.J.; Herrnstadt, I.; Barzilay, E. The role of dew as a moisture source for sand microbiotic crusts in the Negev Desert, Israel. J. Arid Environ. 2002, 52, 517–533. [Google Scholar] [CrossRef]
- MaestreValero, J.F.; MartinezAlvarez, V.; Baille, A.; MartínGórriz, B.; GallegoElvira, B. Comparative analysis of two polyethylene foil materials for dew harvesting in a semiarid climate. J. Hydrol. 2011, 410, 84–91. [Google Scholar] [CrossRef]
- Sharan, G. Dew Yield from Passive Condensers in a Coastal Arid Area: Kutch. Available online: http://vslir.iima.ac.in:8080/jspui/bitstream/11718/6362/1/2005-01-05gsharan.pdf (accessed on 22 November 2019).
- Nilsson, T.M.J.; Vargas, W.E.; Niklasson, G.A.; Granqvist, C.G. Condensation of water by radiative cooling. Ren. Energy 1994, 5, 310–317. [Google Scholar] [CrossRef]
- Jumikis, A.R. Aerial wells: Secondary source of water. Soil Sci. 1965, 100, 83–95. [Google Scholar] [CrossRef]
- Nikolayev, V.S.; Beysens, D.; Gioda, A.; Milimouka, I.; Katiushin, E.; Morel, J.P. Water recovery from dew. J. Hydrol. 1996, 182, 19–35. [Google Scholar] [CrossRef]
- Khalil, B.; Adamowski, J.; Shabbir, A.; Jang, C.; Rojas, M.; Reilly, K.; OzgaZielinski, B. A review: Dew water collection from radiative passive collectors to recent developments of active collectors, Sustain. Water Resourc. Manag. 2016, 2, 71–86. [Google Scholar] [CrossRef]
- Muselli, M.; Beysens, D.; Marcillat, J.; Milimouk, I.; Nilsson, T.; Louche, A. Dew water collector for potable water in Ajaccio (Corsica Island, France). Atmos. Res. 2002, 64, 297–312. [Google Scholar] [CrossRef]
- Beysens, D.; Milimouk, I.; Nikolayev, V.; Muselli, M.; Marcillat, J. Using radiative cooling to condense atmospheric vapor: A study to improve water yield. J. Hydrol. 2003, 276, 111. [Google Scholar] [CrossRef]
- Beysens, D.; Muselli, M.; Nikolayev, V.; Narhe, R.; Milimouk, I. Measurement and modelling of dew in island, coastal and alpine areas. Atmos. Res. 2005, 73, 122. [Google Scholar] [CrossRef]
- Clus, O.; Ortega, P.; Muselli, M.; Milimouk, I.; Beysens, D. Study of dew water collection in humid tropical islands. J. Hydrol. 2008, 361, 159–171. [Google Scholar] [CrossRef]
- Muselli, M.; Beysens, D.; Mileta, M.; Milimouk, I. Dew and rain water collection in the Dalmatian Coast, Croatia. Atmos. Res. 2009, 92, 455–463. [Google Scholar] [CrossRef]
- Leopold, L.B. Dew as a source of plant moisture. Pac. Sci. 1952, 6, 259–261. [Google Scholar]
- Kidron, G.J. Altitude dependent dew and fog in the Negev Desert, Israel. Agric. For. Meteorol. 1999, 96, 1–8. [Google Scholar] [CrossRef]
- Alnaser, W.E.; Barakat, A. Use of condensed water vapour from the atmosphere for irrigation in Bahrain. Appl. Energy 2000, 65, 318. [Google Scholar] [CrossRef]
- Agam, N.; Berliner, P.R. Dew formation and water vapor adsorption in semiarid environments—A review. J. Arid Environ. 2006, 65, 572–590. [Google Scholar] [CrossRef]
- Sharan, G.; Shah, R.; Millimouk-Melnythouk, I.; Beysens, D. Roofs as Dew Collectors: Corrugated Galvanized Iron Roofs in Kothara and Suthari (NW India). In Proceedings of the Fourth International Conference on Fog, Fog Collection and Dew, La Serena, Chile, 22–27 July 2007. [Google Scholar]
- Richards, K. Observation and simulation of dew in rural and urban environments. Prog. Phys. Geogr. 2004, 28, 76–94. [Google Scholar] [CrossRef]
- Beysens, D.; Ohayon, C.; Muselli, M.; Clus, O. Chemical and biological characteristics of dew and rain water in an urban coastal area (Bordeaux, France). Atmos. Environ. 2006, 40, 3710–3723. [Google Scholar] [CrossRef]
- Ye, Y.; Zhou, K.; Song, L.; Jin, J.; Peng, S. Dew amount and its correlation with meteorological factors in urban landscapes of Guangzhou, China. Atmos. Res. 2007, 86, 21–29. [Google Scholar] [CrossRef]
- Hussein, T.; Sogacheva, L.; Petaja, T. Accumulation and coarse modes particle concentration during dew formation and precipitation. Aerosol Air Qual. Res. 2018, 18, 2929–2938. [Google Scholar] [CrossRef]
- Odeh, I.; Arar, S.; Al-Hunaiti, A.; Sa’aydeh, H.; Hammad, G.; Duplissy, J.; Vuollekoski, H.; Korpela, A.; Petäjä, T.; Kulmala, M.; et al. Chemical investigation and quality of urban dew collection with dust precipitation. Environ. Sci. Pollut. Res. 2017, 24, 12312–12318. [Google Scholar] [CrossRef]
- Vuollekoski, H.; Vogt, M.; Sinclair, V.A.; Duplissy, J.; Järvinen, H.; Kyrö, E.; Makkonen, R.; Petäjä, T.; Prisle, N.L.; Räisänen, P.; et al. Estimates of global dew collection potential on artificial surfaces. Hydrol. Earth Syst. Sci. 2015, 19, 601–613. [Google Scholar] [CrossRef]
- Alizadeh, A. Principles of Applied Hydrology; Iman Reza University: Mashhad, Iran, 2011. [Google Scholar]
- Esfandiarnejad, A.; Ahangar, R.; Kamalian, U.R.; Sangchouli, T. Feasibility studies for water harvesting from fog and atmospheric moisture. In Proceedings of the Hormozgan Coastal Zone (South of Iran). 5th International Conference on Fog, Fog Collection and Dew, Munster, Germany, 25–30 July 2010. [Google Scholar]
- Davtalab, R.; Salamat, A.; Oji, R. Water harvesting from fog and air humidity in the warm and coastal regions in the south of Iran. Irrig. Drain. 2013, 6, 281–288. [Google Scholar] [CrossRef]
- Notaro, M.; Yu, Y.; Kalashnikova, O.V. Regime shift in Arabian dust activity, triggered by persistent Fertile Crescent drought. J. Geophys. Res. Atmos. 2015, 10, 229. [Google Scholar] [CrossRef]
- Rezazadeh, M.; Irannejad, P.; Shao, Y. Climatology of the Middle East dust events. Aeol. Res. 2013, 10, 103–109. [Google Scholar] [CrossRef]
- Satheesh, S.K.; Deepshikha, S.; Srinivasan, J. Impact of dust aerosols on Earth–atmosphere clear-sky albedo and its short wave radiative forcing over African and Arabian regions. Int. J. Remote Sens. 2006, 27, 1691–1706. [Google Scholar] [CrossRef]
- Givati, A.; Rosenfeld, D. Possible impacts of anthropogenic aerosols on water resources of the Jordan River and the Sea of Galilee. Water Ressour. Res. 2007, 43, W10419. [Google Scholar] [CrossRef]
- Berrisford, P.; Dee, D.; Poli, P.; Brugge, R.; Fielding, K.; Fuentes, M.; Kallberg, P.; Kobayashi, S.; Uppala, S.; Simmons, A. ERA report series. In The ERA-Interim Archive; ECMWF: Reading, UK, 2011; Volume 2. [Google Scholar]
- Dee, D.P.; Uppala, S.M.; Simmons, A.J.; Berrisford, P.; Poli, P.; Kobayashi, S.; Andrae, U.; Balmaseda, M.A.; Balsamo, G.; Bauer, P.; et al. The ERA-Interim reanalysis: Configuration and performance of the data assimilation system. Q. J. R. Meteorol. Soc. 2011, 137, 553–597. [Google Scholar] [CrossRef]
- Tampkins, A. A Brief Introduction1 to Retrieving ERA Interim via the Web and Webapi; ECMWF: Reading, UK, 2017. [Google Scholar]
- Evenari, M. The Negev: The Challenge of a Desert; Harvard University Press: Cambridge, MA, USA, 1982. [Google Scholar]
- Jacobs, A.F.; Heusinkveld, B.G.; Berkowicz, S.M. Dew measurements along a longitudinal sand dune transect, Negev Desert, Israel. Int. J. Biometeorol. 2000, 43, 184–190. [Google Scholar] [CrossRef] [PubMed]
- Zangvil, A. Six years of dew observations in the Negev Desert, Israel. J. Arid Environ. 1996, 32, 361–371. [Google Scholar] [CrossRef]
- Tomaszkiewicz, M.; Abou Najm, M.; Zurayk, R.; El-Fadel, M. Dew as an adaptation measure to meet water demand in agriculture and reforestation. Agric. For. Meteorol. 2017, 232, 411–421. [Google Scholar] [CrossRef]
- Hanisch, S.; Lohrey, C.; Buerkert, A. Dewfall and its ecological significance in semi-arid coastal south-western Madagascar. J. Arid Environ. 2015, 121, 24–31. [Google Scholar] [CrossRef]
- Meunier, D.; Beysens, D. Dew, fog, drizzle and rain water in Baku (Azerbaijan). Atmos. Res. 2016, 178–179, 65–72. [Google Scholar] [CrossRef][Green Version]
- Hao, X.-M.; Li, C.; Guo, B.; Ma, J.-X.; Ayup, M.; Chen, Z.-S. Dew formation and its long-term trend in a desert riparian forest ecosystem on the eastern edge of the Taklimakan Desert in China. J. Hydrol. 2012, 472–473, 90–98. [Google Scholar] [CrossRef]
- Gaiek, G.; Sobik, M.; Blas, M.; Polkowska, Z.; Cichala-Kamrowska, K. Dew Formation and Chemistry Near a Motorway in Poland. Pure Appl. Geophys. 2012, 169, 1053–1066. [Google Scholar] [CrossRef]
- Nilsson, T. Initial experiments on dew collection in Sweden and Tanzania. Solar Energy Mater. Solar Cells 1996, 40, 23–32. [Google Scholar] [CrossRef]
- Beysens, D.; Muselli, M.; Milimouk, I.; Ohayone, C.; Berkowicz, S.M.; Soyeuxg, E.; Mileta, M.; Ortega, P. Application of passive radiative cooling for dew condensation. Energy 2006, 31, 1967–1979. [Google Scholar] [CrossRef]
- Muselli, M.; Beysens, D.; Milimouk, I. A comparative study of two large radiative dew water condensers. J. Arid Environ. 2006, 64, 54–76. [Google Scholar] [CrossRef]
- Takenaka, N.; Soda, H.; Sato, K.; Terada, H.; Suzue, T.; Bandow, H.; Maeda, Y. Difference in amounts and composition of dew from different types of dew collectors. Water Air Soil Poll. 2003, 147, 51–60. [Google Scholar] [CrossRef]
- Berkowicz, S.M.; Beysens, D.; Milimouk, I.; Heusinkveld, B.G.; Muselli, M.; Wakshal, E.; Jacobs, A.F.G. Urban dew collection under semi-arid conditions: Jerusalem. In Proceedings of the 3rd International Conference on Fog, Fog Collection and Dew 2004, Cape Town, South Africa, 11–15 October 2014; p. 4. [Google Scholar]
- Berkowicz, S.M.; Beysens, D.; Milimouk-Melnytchouk, I.; Heusinkveld, B.G.; Muselli, M.; Jacobs, A.F.G.; Clus, O. Urban dew collection in Jerusalem: A three-year analysis. In Proceedings of the 4th International Conference on Fog, Fog Collection and Dew 2007, La Serena, Chile, 23–27 July 2007; pp. 297–300. [Google Scholar]
- Mileta, M.; Muselli, M.; Beysens, D.; Milimouk, I.; Berkowicz, S.; Heusinkveld, B.G.; Jacobs, A.F.G. Comparison of dew yields in four Mediterranean sites: Similarities and differences. In Proceedings of the 3rd International Conference on Fog, Fog Collection and Dew 2004, Cape Town, South Africa, 11–15 October 2004; p. E2. [Google Scholar]
- Jacobs, A.F.G.; Heusinkveld, B.G.; Berkowicz, S.M. Passive dew collection in a grassland area, The Netherlands. Atmos. Res. 2008, 87, 377–385. [Google Scholar] [CrossRef]
- Lekouch, I.; Kabbachi, B.; Milimouk-Melnytchouk, I.; Muselli, M.; Beysens, D. Influence of temporal variations and climatic conditions on the physical and chemical characteristics of dew and rain in South-West Morocco. In Proceedings of the 5th International Conference on Fog, Fog Collection and Dew 2010, Münster, Germany, 25–30 July 2010; pp. 43–46. [Google Scholar]
- Sobik, M.; Błas´, M.; Polkowska, Z. Climatology of dew in Poland. In Proceedings of the 5th International Conference on Fog, Fog Collection and Dew 2010, Münster, Germany, 25–30 July 2010. not reviewed abstract, 78. [Google Scholar]
- Sharan, G.; Clus, O.; Singh, S.; Muselli, M.; Beysens, D. A very large dew and rain ridge collector in the Kutch area (Gujarat, India). J. Hydrol. 2011, 405, 171–181. [Google Scholar] [CrossRef]





| Location | Elevation [m] | Ta [°C] Mean (Min–Max) | DP [°C] | RH [%] | Precipitation [mm/year] |
|---|---|---|---|---|---|
| Ahvaz | 23 | 26 (19–33) | 9 | 41 | 234 |
| Bandarabas | 9 | 27 (22–32) | 19 | 66 | 182 |
| Isfahan | 1550 | 17 (10–24) | −1 | 36 | 130 |
| Ramsar | −20 | 16 (13–19) | 13 | 84 | 1188 |
| Tabas | 711 | 23 (16–29) | 2 | 31 | 60 |
| Tehran | 1191 | 18 (13–23) | 2 | 41 | 242 |
| Zanjan | 1663 | 11 (4–18) | 0 | 54 | 298 |
| Location | Water | Ice | Water + Ice |
|---|---|---|---|
| Ahvaz | 24.0 ± 4.2 [12.8–31.3] | 0.2 ± 0.3 [0.0–1.2] | 24.2 ± 4.2 [12.9–31.5] |
| Bandarabas | 45.5 ± 5.3 [36.4–59.1] | 0.6 ± 0.3 [0.1–1.5] | 46.2 ± 5.3 [36.9–59.5] |
| Isfahan | 12.5 ± 3.3 [6.2–22.4] | 12.0 ± 2.2 [5.6–16.1] | 24.4 ± 4.5 [13.3–33.7] |
| Ramsar | 55.8 ± 3.7 [48.4–63.2] | 9.6 ± 2.0 [3.8–14.4] | 65.3 ± 3.5 [55.1–71.4] |
| Tabas | 9.2 ± 3.0 [3.4–15.7] | 3.3 ± 1.4 [0.7–7.1] | 12.6 ± 3.8 [4.4–20.4] |
| Tehran | 10.8 ± 3.5 [3.5–18.0] | 6.5 ± 1.8 [1.7–11.2] | 17.3 ± 4.6 [7.9–25.7] |
| Zanjan | 24.4 ± 3.3 [17.2–30.6] | 12.1 ± 1.7 [7.9–14.8] | 36.5 ± 3.9 [28.4–44.7] |
© 2019 by the authors. Licensee MDPI, Basel, Switzerland. This article is an open access article distributed under the terms and conditions of the Creative Commons Attribution (CC BY) license (http://creativecommons.org/licenses/by/4.0/).
Share and Cite
Atashi, N.; Rahimi, D.; Goortani, B.M.; Duplissy, J.; Vuollekoski, H.; Kulmala, M.; Vesala, T.; Hussein, T. Spatial and Temporal Investigation of Dew Potential based on Long-Term Model Simulations in Iran. Water 2019, 11, 2463. https://doi.org/10.3390/w11122463
Atashi N, Rahimi D, Goortani BM, Duplissy J, Vuollekoski H, Kulmala M, Vesala T, Hussein T. Spatial and Temporal Investigation of Dew Potential based on Long-Term Model Simulations in Iran. Water. 2019; 11(12):2463. https://doi.org/10.3390/w11122463
Chicago/Turabian StyleAtashi, Nahid, Dariush Rahimi, Behnam M. Goortani, Jonathan Duplissy, Henri Vuollekoski, Markku Kulmala, Timo Vesala, and Tareq Hussein. 2019. "Spatial and Temporal Investigation of Dew Potential based on Long-Term Model Simulations in Iran" Water 11, no. 12: 2463. https://doi.org/10.3390/w11122463
APA StyleAtashi, N., Rahimi, D., Goortani, B. M., Duplissy, J., Vuollekoski, H., Kulmala, M., Vesala, T., & Hussein, T. (2019). Spatial and Temporal Investigation of Dew Potential based on Long-Term Model Simulations in Iran. Water, 11(12), 2463. https://doi.org/10.3390/w11122463

